TOP
|
特許
|
意匠
|
商標
特許ウォッチ
Twitter
他の特許を見る
10個以上の画像は省略されています。
公開番号
2025163392
公報種別
公開特許公報(A)
公開日
2025-10-29
出願番号
2024066574
出願日
2024-04-17
発明の名称
光学設計方法、光学素子、及び光学素子の評価方法
出願人
興和株式会社
代理人
個人
主分類
G02B
13/00 20060101AFI20251022BHJP(光学)
要約
【課題】色収差補正に適した光学設計方法、光学素子、及び評価方法を提供する。
【解決手段】第1発明に係る光学設計方法は、従来レンズ、及び微細パターンが形成されたメタレンズを含む光学系を設定する色収差設定ステップを備え、前記色収差設定ステップは、下式(1)に示す前記従来レンズの第1パワーに基づく値と、予め設定された参照値とを比較する比較ステップを含むことを特徴とする。φc
2
=-V
123
×hm
a
×φm
2
/EV
123
・・・(1)ここで、式(1)内の文字は下記の通りである。φc
2
:前記従来レンズの前記第1パワー。V
123
:前記従来レンズのアッベ数。hm
a
:前記メタレンズに入射させた平行光の高さに対する、近軸光線追跡における前記メタレンズでの光線の高さ。φm
2
:前記メタレンズの第2パワー。EV
123
:前記メタレンズの等価アッベ数。(1,2,3は、波長λ
1
、λ
2
、λ
3
に対応する)
【選択図】図1
特許請求の範囲
【請求項1】
従来レンズ、及び微細パターンが形成されたメタレンズを含む光学系を設定する色収差設定ステップを備え、
前記色収差設定ステップは、下式(1)に示す前記従来レンズの第1パワーに基づく値と、予め設定された参照値とを比較する比較ステップを含むこと
を特徴とする光学設計方法。
φc
2
=-V
123
×hm
a
×φm
2
/EV
123
・・・(1)
φc
2
:前記従来レンズの前記第1パワー
V
123
:前記従来レンズのアッベ数
hm
a
:前記メタレンズに入射させた平行光の高さに対する、近軸光線追跡における前記メタレンズでの光線の高さ
φm
2
:前記メタレンズの第2パワー
EV
123
:前記メタレンズの等価アッベ数
(1,2,3は、波長λ
1
、λ
2
、λ
3
に対応する)
続きを表示(約 2,100 文字)
【請求項2】
前記参照値は3.5を示し、
前記比較ステップは、前記第1パワーに基づく下式(2)を満たすように、前記従来レンズの形状を設定することを含むこと
を特徴とする請求項1記載の光学設計方法。
(Nc
2
-1)/φc
2
≧Th ・・・(2)
Nc
2
:前記従来レンズの第二波長の屈折率
Th:前記参照値(=3.5)
【請求項3】
波長λ
1
、λ
2
、λ
3
がd線、C線、F線の何れかである場合、前記メタレンズのd線の等価アッベ数は、-10以上-3以下を示すこと
を特徴とする請求項2記載の光学設計方法。
【請求項4】
前記色収差設定ステップのあとに、前記メタレンズの有する接合面に、前記従来レンズを接合する接合ステップをさらに備え、
前記接合面は、前記微細パターンとは異なる主面を示し、平面状に形成されること
を特徴とする請求項1~3のうち何れか1項記載の光学設計方法。
【請求項5】
前記接合ステップのまえに、下式(3)を満たす回折光学素子及び前記従来レンズの条件を特定する第1制限条件ステップをさらに備えること
を特徴とする請求項4記載の光学設計方法。
B1∝λ0(N11-N12)/(R×(λ11-λ12)) ・・・(3)
B1:光学設計ソフトウェアを用いて前記回折光学素子を等価屈折率法でモデル化する際の位相係数
λ0:前記回折光学素子の規格化波長
λ1:軸上色収差補正の対象とする第1補正対象波長
λ2:軸上色収差補正の対象とする第2補正対象波長
N11:前記第1補正対象波長に対し、前記従来レンズの有する第1屈折率
N12:前記第2補正対象波長に対し、前記従来レンズの有する第2屈折率
R:前記従来レンズの有する凸面の曲率半径
【請求項6】
前記メタレンズの特徴を代替する前記回折光学素子の一つに含まれるバイナリーオプティクスを含む構成の光学設計に基づき、前記バイナリーオプティクスの有する第1段差パターンを設定する設定ステップと、
予め設定された第1波長に基づき、メタ原子の形状に対する位相の関係を示す第1位相データを算出する第1算出ステップと、
前記第1段差パターンから第1位相パターンを算出し、前記第1位相パターンに対応する前記微細パターンを、前記第1位相データを参照して特定する第1特定ステップと、
を備えること
を特徴とする請求項5記載の光学設計方法。
【請求項7】
前記設定ステップは、前記バイナリーオプティクスと、初期設定用の従来レンズとを併用した構成の光学設計に基づき、前記第1段差パターンを設定すること
を特徴とする請求項6記載の光学設計方法。
【請求項8】
予め設定された前記第1波長とは異なる第2波長に基づき、前記第1位相データとは異なる第2位相データを算出する第2算出ステップと、
前記第2位相データを参照し、前記微細パターンに対応する第2位相パターンを特定する第2特定ステップと、
前記第1位相パターン及び前記第2位相パターンに基づき、前記従来レンズを設計する設計ステップと、
をさらに備えること
を特徴とする請求項7記載の光学設計方法。
【請求項9】
従来レンズ、及び微細パターンが形成されたメタレンズを備え、
前記従来レンズは、下式(1)を満たすこと
を特徴とする光学素子。
φc
2
=-V
123
×hm
a
×φm
2
/EV
123
・・・(1)
φc
2
:前記従来レンズの第1パワー
V
123
:前記従来レンズのアッベ数
hm
a
:前記メタレンズに入射させた平行光の高さに対する、近軸光線追跡における前記メタレンズでの光線の高さ
φm
2
:前記メタレンズの第2パワー
EV
123
:前記メタレンズの等価アッベ数
(1,2,3は、波長λ
1
、λ
2
、λ
3
に対応する)
【請求項10】
波長λ
1
、λ
2
、λ
3
がd線、C線、F線の何れかである場合、前記第1パワーに基づく下式(2)の参照値Thは、3.5を示すこと
を特徴とする請求項9記載の光学素子。
(Nc
2
-1)/φc
2
≧Th ・・・(2)
Nc
2
:前記従来レンズの屈折率
Th:前記参照値(=3.5)
(【請求項11】以降は省略されています)
発明の詳細な説明
【技術分野】
【0001】
この発明は、光学設計方法、光学素子、及び光学素子の評価方法に関する。
続きを表示(約 1,800 文字)
【背景技術】
【0002】
メタレンズは、薄くて軽いレンズとして注目され、研究開発が進められている。メタレンズの結像性能は、回折作用に基づいており、従来のレンズの屈折作用とは異なる。このため、メタレンズでは色収差が逆に発生するという現象が起こる。この現象を利用して、メタレンズと従来のレンズとを併用する場合、色収差補正を高性能に、かつ薄くて軽い構成で実現できる可能性がある。しかし、このような設計手法は、これまで提案されていなかった。
【0003】
そこで、本発明者らは、非特許文献1に記載されているように、メタレンズの「等価アッベ数」を提案した。この「等価アッベ数」は、メタレンズの色収差補正の能力を定量的に評価する基準として用いることができる。この「等価アッベ数」を、従来のレンズの色収差補正の式に適用した場合、メタレンズと従来のレンズとを併用した結像系の設計手法における初期設定が可能になり得る。
【先行技術文献】
【非特許文献】
【0004】
稲秀樹他、メタレンズの等価アッベ数、日本光学会年次学術講演会 Optics & Photonics Japan 2023 Sapporo[講演予稿集]、一般社団法人日本光学会、106頁、2023年11月20日発行(公開)
【発明の概要】
【発明が解決しようとする課題】
【0005】
発明者らは、上述した「等価アッベ数」を提案し、色収差補正の式に適用することを検討したが、その過程で問題に直面した。その問題を説明する前に、従来レンズの色収差補正の式について説明する。
【0006】
図20は、従来例における2つの従来レンズLa、Lbを用いた結像系の模式図を示す。ここで、各従来レンズLa、Lbのレンズ厚さ及び間隔e´をゼロ(0)とした場合、色収差補正の式は、下式(501)として知られている。
fa/vb+fb/va=0 ・・・(501)
ここで、式(501)内の文字は下記の通りである。
fa:従来レンズLaの焦点距離
fb:従来レンズLbの焦点距離
va:従来レンズLaに使用する硝材のアッベ数
vb:従来レンズLbに使用する硝材のアッベ数
【0007】
なお、上述したアッベ数は、下式(502)として知られている。
V=(N2-1)/(N1-N3) ・・・(502)
ここで、式(502)内の文字は下記の通りである。
V:硝材のアッベ数
N1:任意の波長λ1における硝材の屈折率
N2:波長λ1よりも長い任意の波長λ2における硝材の屈折率
N3:波長λ2よりも長い任意の波長λ3における硝材の屈折率
【0008】
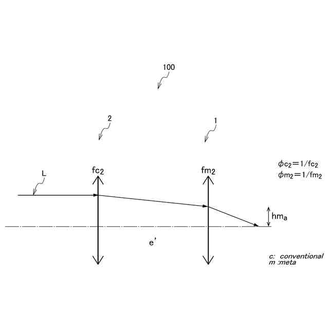
以下、色収差補正の式を「等価アッベ数」に適用した場合の問題点について説明する。図21は、従来例における従来レンズLc、及び微細パターンが形成されたメタレンズLmを用いた結像系の模式図を示す。
【0009】
下式(503)は、式(501)に対してメタレンズLmの等価アッベ数を適用した式を示し、下式(504)は、式(503)を変形した式を示す。
fc/Ev+fm/vc=0 ・・・(503)
-Ev/vc=fc/fm ・・・(504)
ここで、式(503)及び式(504)内の文字は下記の通りである。
fc:従来レンズLcの焦点距離
fm:メタレンズLmの焦点距離
vc:従来レンズLcに使用する硝材のアッベ数
Ev:メタレンズLmの等価アッベ数
【0010】
ここで、等価アッベ数Evの値は、従来レンズLcに使用する硝材のアッベ数vcに比べて絶対値が小さい。即ち、式(504)より、従来レンズLcの焦点距離fcは、メタレンズLmの焦点距離fmよりも小さくなる傾向を示す。また、メタレンズLmは、焦点距離fmを小さくするほど、特徴を活かし易くなる。このため、メタレンズLmの本来の役割を追求した場合、焦点距離fmを極力小さくすることが重要となる。そして、メタレンズLmの焦点距離fmの縮小化に伴い、従来レンズLcの焦点距離fcを縮小させる必要があり、結果として従来レンズLcの有する曲率半径の縮小化が求められる。
(【0011】以降は省略されています)
この特許をJ-PlatPat(特許庁公式サイト)で参照する
関連特許
興和株式会社
組成物
2か月前
興和株式会社
組成物
2か月前
興和株式会社
固定装置及び磁場発生ユニット
1か月前
興和株式会社
光学設計方法、光学素子、及び光学素子の評価方法
25日前
三彩化工株式会社
防錆用組成物および防錆方法
1か月前
興和株式会社
水性の組成物-伍-
1か月前
カンタツ株式会社
光学系
1か月前
株式会社シグマ
結像光学系
16日前
株式会社シグマ
結像光学系
26日前
日本精機株式会社
ミラーユニット
25日前
古河電気工業株式会社
融着機
1か月前
日本電気株式会社
光モジュール
26日前
豊田合成株式会社
調光装置
3日前
株式会社コシナ
投射ズームレンズ
9日前
個人
多方向視差効果のための微細穴加工
27日前
日東電工株式会社
導光部材
16日前
京セラ株式会社
光学系
24日前
日東電工株式会社
光学積層体
18日前
日本精機株式会社
ヘッドアップディスプレイ
16日前
日本精機株式会社
ヘッドアップディスプレイ
19日前
日本精機株式会社
ヘッドアップディスプレイ装置
16日前
日本精機株式会社
ヘッドアップディスプレイ装置
17日前
マクセル株式会社
映像表示装置
9日前
株式会社タムロン
ズームレンズ及び撮像装置
24日前
株式会社リコー
光走査装置及び画像形成装置
16日前
レーザーテック株式会社
光学装置及び調整方法
16日前
スタンレー電気株式会社
透光性樹脂部材
24日前
富士通株式会社
波長変換装置および波長変換方法
1か月前
株式会社小糸製作所
画像表示装置
24日前
株式会社小糸製作所
画像投影装置
3日前
マクセル株式会社
空中浮遊映像表示装置
18日前
マクセル株式会社
空中浮遊映像表示装置
3日前
株式会社小糸製作所
画像表示装置
11日前
株式会社小糸製作所
画像生成装置
11日前
キヤノン株式会社
光学系および撮像装置
3日前
AGC株式会社
位相差素子、円偏光板、及び光学部品
26日前
続きを見る
他の特許を見る