TOP
|
特許
|
意匠
|
商標
特許ウォッチ
Twitter
他の特許を見る
10個以上の画像は省略されています。
公開番号
2025171950
公報種別
公開特許公報(A)
公開日
2025-11-20
出願番号
2025022383
出願日
2025-02-14
発明の名称
光学系および撮像装置
出願人
キヤノン株式会社
代理人
個人
,
個人
,
個人
主分類
G02B
13/00 20060101AFI20251113BHJP(光学)
要約
【課題】高い光学性能を有する光学系を提供する。
【解決手段】光学系は、光学素子Cを含む。該光学素子Cは、互いに光学特性が異なる第1光学素子Aと第2光学素子Bとが有機材料を介して接合されて構成されている。有機材料は、吸収端波長が390nm以上の光重合開始剤を含んでいる。
【選択図】図1
特許請求の範囲
【請求項1】
光学素子を含む光学系であって、
前記光学素子は、互いに光学特性が異なる第1光学素子と第2光学素子とが有機材料を介して接合されて構成され、
前記有機材料は、吸収端波長が390nm以上の光重合開始剤を含んでいることを特徴とする光学系。
続きを表示(約 1,200 文字)
【請求項2】
前記第1光学素子と前記第2光学素子とが、それらの光学有効範囲内で前記有機材料を介して接合されていることを特徴とする請求項1に記載の光学系。
【請求項3】
前記第1光学素子と前記第2光学素子は、それらの光学有効範囲内で空気を挟んで配置され、それらの光学有効範囲外で接合されていることを特徴とする請求項1に記載の光学系。
【請求項4】
前記第1光学素子の物体側または像側の光学面は、薄膜を介して空気に接していることを特徴とする請求項1に記載の光学系。
【請求項5】
前記第1光学素子のd線における屈折率をndA、d線を基準とするアッベ数をνdA、g線とF線における部分分散比をθgFAとするとき、
1.5≦ndA≦3.9827-0.1408×νdA+0.0021×νdA
2
10≦νdA≦35
-0.000003056×νdA
3
+0.0003653×νdA
2
-0.01647×νdA+0.8503≦θgFA
なる3つの条件のうち少なくとも1つを満足することを特徴とする請求項1に記載の光学系。
【請求項6】
前記第2光学素子のd線における屈折率をndB、d線を基準とするアッベ数をνdBとするとき、
1.85≦ndB
νdB≦36
なる2つの条件のうち少なくとも1つを満足することを特徴とする請求項1に記載の光学系。
【請求項7】
前記第1光学素子の焦点距離をfA、前記第2光学素子の焦点距離をfBとするとき、
0.25≦|fA/fB|≦4.00
なる条件を満足することを特徴とする請求項1に記載の光学系。
【請求項8】
前記第1光学素子のd線における屈折率をndA、前記第2光学素子のd線における屈折率をndBとするとき、
0.60≦ndA/ndB≦1.40
なる条件を満足することを特徴とする請求項1に記載の光学系。
【請求項9】
前記第1光学素子のd線を基準とするアッベ数をνdA、前記第2光学素子のd線を基準とするアッベ数をνdBとするとき、
0.40≦νdA/νdB≦1.50
なる条件を満足することを特徴とする請求項1に記載の光学系。
【請求項10】
前記第1光学素子のシェープファクタをSFA、sgn(fL)を前記第1光学素子の焦点距離fLが正の場合は+1、負の値の場合は-1、前記第1光学素子の物体側の光学面の曲率半径をR1、前記第1光学素子の像側の光学面の曲率半径をR2とし、
SFA=sgn(fL)×(R2+R1)/(R2-R1)
とするとき、
-2.0≦SFA≦10.0
なる条件を満足することを特徴とする請求項1に記載の光学系。
(【請求項11】以降は省略されています)
発明の詳細な説明
【技術分野】
【0001】
本発明は、撮像に好適な光学系に関する。
続きを表示(約 1,700 文字)
【背景技術】
【0002】
撮像に用いられる光学系には、特許文献1~3に開示されたものがある。特許文献1、2には、広帯域の波長範囲における軸上色収差を補正するために、高分散で異常部分分散を持つ樹脂光学材料を使用することで残存色収差を補正する光学系が開示されている。特許文献3には、アッベ数が25~35程度で異常部分分散を有するガラスを採用して色収差を補正した光学系が開示されている。
【0003】
また特許文献4には、屈折率1.80以上の透明基材同士を接着剤で接合する光学素子の製造方法が開示されている。
【先行技術文献】
【特許文献】
【0004】
特開2007-25653号公報
特開2012-247451号公報
国際公開WO2019/116563号公報
特開2022-12297号公報
【発明の概要】
【発明が解決しようとする課題】
【0005】
撮像に用いられる撮像素子の高画素化等に伴って、光学系にはより高い光学性能が望まれている。
【課題を解決するための手段】
【0006】
本発明の一側面としての光学系は、光学素子を含む。該光学素子は、互いに光学特性が異なる第1光学素子と第2光学素子とが有機材料を介して接合されて構成されているおり、有機材料は、吸収端波長が390nm以上の光重合開始剤を含んでいることを特徴とする。なお、上記光学系を備えた撮像装置も、本発明の他の一側面を構成する。
【発明の効果】
【0007】
本発明によれば、高い光学性能を有する光学系を提供することができる。
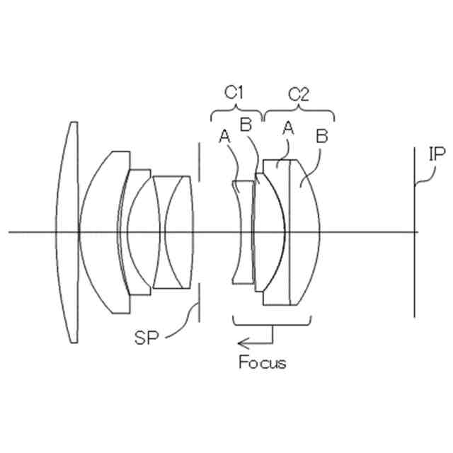
【図面の簡単な説明】
【0008】
実施例1の光学系の断面図。
実施例1の光学系の収差図。
実施例2の光学系の広角端、中間ズーム位置および望遠端での断面図。
実施例2の光学系の広角端、中間ズーム位置および望遠端での収差図。
実施例3の光学系の断面図。
実施例3の光学系の収差図。
実施例4の光学系の広角端、中間ズーム位置および望遠端での断面図。
実施例4の光学系の広角端、中間ズーム位置および望遠端での収差図。
実施例5の光学系の広角端、中間ズーム位置および望遠端での断面図。
実施例5の光学系の広角端、中間ズーム位置および望遠端での収差図。
実施例6の光学系の広角端、中間ズーム位置および望遠端での断面図。
実施例6の光学系の広角端、中間ズーム位置および望遠端での収差図。
実施例7の光学系の断面図。
実施例7の光学系の収差図。
実施例1~7の光学系を備えた撮像装置の概略図。
光学素子の接合例を示す図。
【発明を実施するための形態】
【0009】
以下、本発明の実施例について図面を参照しながら説明する。図1、図3、図5、図7、図9、図11および図13はそれぞれ、実施例1~7の光学系の断面を示している。なお、図3、図7、図11および図13はそれぞれ、実施例2、4、5、6のズームレンズとしての光学系の(A)広角端、(B)中間ズーム位置および(C)望遠端での断面を示している。各図中のフォーカシングにおいて移動するレンズ群の下のFOCUS(およびFloating)が付された矢印は、無限遠から近距離へのフォーカシングに際しての該レンズ群の移動方向を示している。
【0010】
まず具体的な実施例1~7の説明に先立って、各実施例に共通する事項について説明する。各実施例の光学系は、デジタルスチルカメラ、ビデオカメラ、銀塩フィルムカメラ、放送用カメラおよび監視カメラ等の各種撮像装置における撮像光学系として用いられる。各図において、左側が物体側(前側)、右側が像側(後側)である。なお、各実施例の光学系を画像投射装置(プロジェクタ)用の投射光学系として用いることもできる。
(【0011】以降は省略されています)
この特許をJ-PlatPat(特許庁公式サイト)で参照する
関連特許
キヤノン株式会社
撮像装置
14日前
キヤノン株式会社
電子機器
5日前
キヤノン株式会社
撮像装置
20日前
キヤノン株式会社
記録装置
6日前
キヤノン株式会社
撮像装置
5日前
キヤノン株式会社
二次電池
7日前
キヤノン株式会社
電子機器
1日前
キヤノン株式会社
撮像装置
5日前
キヤノン株式会社
撮像装置
5日前
キヤノン株式会社
定着装置
20日前
キヤノン株式会社
定着装置
20日前
キヤノン株式会社
発光装置
12日前
キヤノン株式会社
撮像装置
20日前
キヤノン株式会社
記録装置
6日前
キヤノン株式会社
撮像装置
5日前
キヤノン株式会社
撮像装置
12日前
キヤノン株式会社
撮像装置
5日前
キヤノン株式会社
表示装置
12日前
キヤノン株式会社
電気機器
今日
キヤノン株式会社
表示装置
12日前
キヤノン株式会社
表示装置
12日前
キヤノン株式会社
撮像装置
12日前
キヤノン株式会社
記録装置
今日
キヤノン株式会社
表示装置
5日前
キヤノン株式会社
インク容器
6日前
キヤノン株式会社
情報処理装置
20日前
キヤノン株式会社
画像形成装置
1日前
キヤノン株式会社
情報処理装置
5日前
キヤノン株式会社
インク収納体
14日前
キヤノン株式会社
画像形成装置
15日前
キヤノン株式会社
画像形成装置
15日前
キヤノン株式会社
印刷システム
20日前
キヤノン株式会社
情報処理装置
20日前
キヤノン株式会社
情報処理装置
20日前
キヤノン株式会社
画像形成装置
20日前
キヤノン株式会社
画像形成装置
20日前
続きを見る
他の特許を見る