TOP
|
特許
|
意匠
|
商標
特許ウォッチ
Twitter
他の特許を見る
10個以上の画像は省略されています。
公開番号
2025179519
公報種別
公開特許公報(A)
公開日
2025-12-10
出願番号
2024086335
出願日
2024-05-28
発明の名称
CFT柱とRC柱との接合構造
出願人
清水建設株式会社
代理人
個人
,
個人
,
個人
主分類
E04B
1/30 20060101AFI20251203BHJP(建築物)
要約
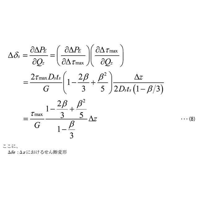
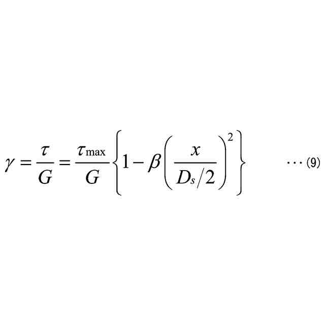
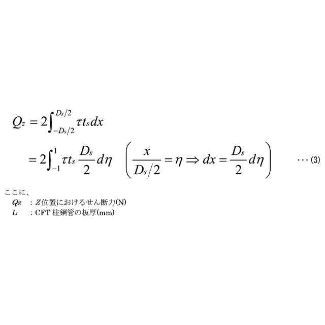
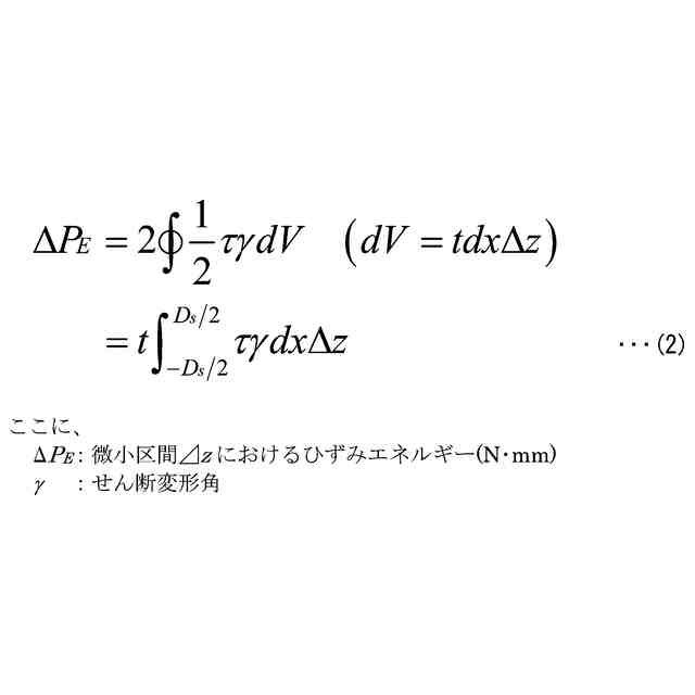
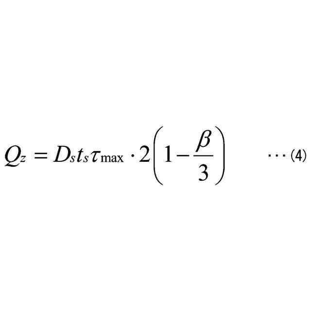
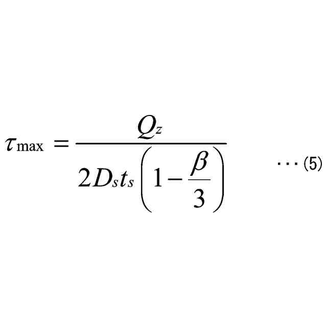
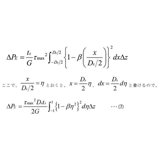
【課題】接合鋼管部分におけるせん断変形を、実験時に計測したCFT柱の接合鋼管部のせん断ひずみから算出するCFT柱とRC柱との接合構造を提案する。
【解決手段】CFT柱の上端部に、鋼管を上方に延出させるように形成された接合鋼管が設けられ、RC柱の主筋が接合鋼管の内部に挿入されるとともに、接合鋼管の内部にコンクリートが充填され、接合鋼管の上端部には、内面から内側に突出する補剛部が設けられ、主筋の下端部には、定着板が設けられ、接合鋼管部のせん断変形を、実験時に計測したx=-x
0
,0,x
0
におけるせん断ひずみをε
γ1
,ε
γ0
,ε
γ2
として、式(1)のように表し、せん断変形角γを式(2)で表し、式(1)よりβを求め、これを式(2)に代入してγを算出した後、ΔzにおけるγをCFT柱鋼管高さH
S
方向に積分することにより、式(3)に示す通り、せん断変形δ
s
を算出する。
【選択図】なし
特許請求の範囲
【請求項1】
CFT柱と該CFT柱の上方に配置されたRC柱とを接合するCFT柱とRC柱との接合構造であって、
前記CFT柱の上端部に、鋼管を上方に延出させるように形成された接合鋼管が設けられ、
前記RC柱の主筋が前記接合鋼管の内部に挿入されるとともに、前記接合鋼管の内部にコンクリートが充填され、
前記接合鋼管の上端部には、内面から内側に突出する補剛部が設けられ、
前記主筋の下端部には、定着板が設けられ、
前記接合鋼管のせん断変形を、実験時に計測したx=-x
0
,0,x
0
におけるせん断ひずみをε
γ1
,ε
γ0
,ε
γ2
として、式(1)のように表し、
せん断変形角γを式(2)で表し、
式(1)よりβを求め、これを式(2)に代入してγを算出した後、Δzにおけるγを接合鋼管高さH
S
方向に積分することにより、式(3)に示す通り、せん断変形δ
s
を算出するCFT柱とRC柱との接合構造。
TIFF
2025179519000015.tif
132
170
発明の詳細な説明
【技術分野】
【0001】
本発明は、CFT柱とRC柱との接合構造に関するものである。
続きを表示(約 1,400 文字)
【背景技術】
【0002】
部材実験においては、部材に荷重が作用して部材全体が変形した際の各部位の変形成分(曲げ変形、せん断変形)を評価する必要がある。せん断変形は、一般に、部材(実験に供する試験体)に高感度変位計(以下、変位計)を設置し、当該計測値を用いて算出される。
【0003】
一方、本願発明の発明者らは、下記の特許文献1に示すように、CFT柱とRC柱の接合構造(以下、CFT-RC柱と称することがある)を提案している。
【先行技術文献】
【特許文献】
【0004】
特許第7228398号公報
【発明の概要】
【発明が解決しようとする課題】
【0005】
しかしながら、せん断変形を計測しようとする際に、試験体の大きさや別の目的で設置される変位計や変位計の取付けスペースによって、変位計の設置個所が物理的に制約され、せん断変形を計測できない場合もあり得る。これは、特許文献1に示すCFT柱とRC柱の接合構造において、せん断変形を計測する際にも生じる問題点である。
【0006】
本発明は、上記事情に鑑み、接合鋼管部分におけるせん断変形を、実験時に計測したCFT柱の接合鋼管部のせん断ひずみから算出するCFT柱とRC柱との接合構造を提案する。
【課題を解決するための手段】
【0007】
上記目的を達成するために、本発明は以下の手段を採用している。
すなわち、本発明に係るCFT柱とRC柱との接合構造は、CFT柱と該CFT柱の上方に配置されたRC柱とを接合するCFT柱とRC柱との接合構造であって、前記CFT柱の上端部に、鋼管を上方に延出させるように形成された接合鋼管が設けられ、前記RC柱の主筋が前記接合鋼管の内部に挿入されるとともに、前記接合鋼管の内部にコンクリートが充填され、前記接合鋼管の上端部には、内面から内側に突出する補剛部が設けられ、前記主筋の下端部には、定着板が設けられ、前記接合鋼管のせん断変形を、実験時に計測したx=-x
0
,0,x
0
におけるせん断ひずみをε
γ1
,ε
γ0
,ε
γ2
として、式(A)のように表し、せん断変形角γを式(B)で表し、式(A)よりβを求め、これを式(B)に代入してγを算出した後、Δzにおけるγを接合鋼管高さH
S
方向に積分することにより、式(C)に示す通り、せん断変形δ
s
を算出する。
【0008】
TIFF
2025179519000001.tif
132
170
【0009】
このように構成されたCFT柱とRC柱との接合構造では、接合鋼管部分におけるせん断変形を、実験時に計測したCFT柱の鋼管部のせん断ひずみから算出することができる。
【発明の効果】
【0010】
本発明に係るCFT柱とRC柱との接合構造によれば、接合鋼管部分におけるせん断変形を、実験時に計測したCFT柱の接合鋼管部のせん断ひずみから算出することができる。
【図面の簡単な説明】
(【0011】以降は省略されています)
この特許をJ-PlatPat(特許庁公式サイト)で参照する
関連特許
清水建設株式会社
防振構造
7日前
清水建設株式会社
建築構造
1か月前
清水建設株式会社
パネル枠
20日前
清水建設株式会社
免震構造物
20日前
清水建設株式会社
仮設トイレ
20日前
清水建設株式会社
枠体および壁体
1か月前
清水建設株式会社
ガラスパネル構造
7日前
清水建設株式会社
構造物の施工方法
14日前
清水建設株式会社
積層造形システム
14日前
清水建設株式会社
遮水層の構築方法
2か月前
清水建設株式会社
走行体の支持構造
20日前
清水建設株式会社
防災支援システム
6日前
清水建設株式会社
床吹き出し空調装置
2か月前
清水建設株式会社
二酸化炭素固定化方法
13日前
清水建設株式会社
接合構造および接合方法
5日前
清水建設株式会社
遮水層構築の降雨対策方法
1か月前
清水建設株式会社
防火積層体及びその製造方法
1か月前
清水建設株式会社
来場者グループ把握システム
今日
清水建設株式会社
CFT柱とRC柱との接合構造
今日
清水建設株式会社
床版架設装置および床版架設方法
20日前
清水建設株式会社
変位計測装置および変位計測方法
1か月前
清水建設株式会社
接合構造及び接合構造の改修方法
1か月前
清水建設株式会社
制振装置およびこれを備えた建物
1か月前
清水建設株式会社
情報処理装置および情報処理方法
6日前
清水建設株式会社
免震構造および免震構造の施工方法
12日前
清水建設株式会社
地中連続壁の終局せん断耐力算定方法
1か月前
清水建設株式会社
施工方法および二酸化炭素排出量の削減方法
5日前
清水建設株式会社
自律移動体制御システムおよび自律移動体制御方法
20日前
清水建設株式会社
桁と床版との接合構造、及び桁と床版との接合方法
1か月前
清水建設株式会社
自律移動体制御システムおよび自律移動体制御方法
1か月前
清水建設株式会社
打設監視システム、ガイド装置、および打設監視方法
1か月前
清水建設株式会社
陰イオン吸着材、その製造方法及び陰イオン吸着方法
1日前
清水建設株式会社
作業架台の支持構造及びコンクリート構造物の施工方法
1か月前
岡部株式会社
スタッド溶接用治具及びスタッド溶接方法
1か月前
清水建設株式会社
掘削状況判定装置、掘削状況判定方法、およびプログラム
12日前
戸田建設株式会社
距離計測器を備えた吹付けノズル装置
20日前
続きを見る
他の特許を見る