TOP
|
特許
|
意匠
|
商標
特許ウォッチ
Twitter
他の特許を見る
公開番号
2025171026
公報種別
公開特許公報(A)
公開日
2025-11-20
出願番号
2024075980
出願日
2024-05-08
発明の名称
免震構造物
出願人
清水建設株式会社
代理人
弁理士法人酒井国際特許事務所
主分類
E04H
9/02 20060101AFI20251113BHJP(建築物)
要約
【課題】過大地震入力時における上部構造の耐震性を向上することができる免震構造物を提供する。
【解決手段】免震層20と、前記免震層20の上方に配置された上部構造22とを備える免震構造物100であって、前記免震層20に設けられ、前記免震層20の変位を低減可能とするハードニング性を有する積層ゴム24と、前記免震層20に設けられた弾塑性ダンパー26およびオイルダンパー28と、前記上部構造22の最下層に設けられ、前記上部構造22の振動を抑えるオイルダンパー30とを備えるようにする。
【選択図】図1
特許請求の範囲
【請求項1】
免震層と、前記免震層の上方に配置された上部構造とを備える免震構造物であって、
前記免震層に設けられ、前記免震層の変位を低減可能とするハードニング性を有する積層ゴムと、前記免震層に設けられた弾塑性ダンパーおよびオイルダンパーと、前記上部構造の最下層に設けられ、前記上部構造の振動を抑えるオイルダンパーとを備えることを特徴とする免震構造物。
続きを表示(約 290 文字)
【請求項2】
免震層と、前記免震層の上方に配置された上部構造とを備える免震構造物であって、
前記免震層に設けられ、前記免震層の変位を低減可能とするハードニング性を有する積層ゴムと、前記免震層に設けられた弾塑性ダンパーおよびオイルダンパーとを備え、前記上部構造は、最下層から最上層までの各層が耐震壁からなる壁フレーム構造で構成されることを特徴とする免震構造物。
【請求項3】
前記積層ゴムは、前記免震層の水平方向の変位を規制するように、初期剛性に対する二次剛性の比が2~3.5に設定されていることを特徴とする請求項1または2に記載の免震構造物。
発明の詳細な説明
【技術分野】
【0001】
本発明は、免震層を備えた免震構造物に関するものである。
続きを表示(約 1,900 文字)
【背景技術】
【0002】
従来、免震層を備えた免震構造物が知られている。一般的な免震構造物は、想定された入力地震動の範囲では免震層より上の上部構造の応答加速度および層間変形を低減でき、非常に耐震性の高い構造である。これにより地震時における構造部材の損傷を防ぎ、設備・什器の損傷や転倒を防ぐ。一般的な免震建築物の設計では、極稀に生じる地震動として告示波レベル2、観測波、サイト波等を設計用地震動に用いる。
【0003】
図5(1)に、免震構造で一般的に用いられる積層ゴムの水平方向の荷重変形関係を示す(出典:非特許文献1)。積層ゴムを用いた免震構造では、設計用入力地震動に対して免震層の水平応答変形を積層ゴムの水平方向の荷重が急激に上昇する変形領域(図5(1)内の水平変形δ1以上の領域。以下、ハードニング領域と呼ぶ。)以下に抑えるように設計する。その際、免震層にダンパーと呼ばれるエネルギー吸収装置を積層ゴムと併設することで、上部構造への力の伝達を最小限に抑えつつ、免震層の応答変位を抑制する。上部構造は一般的に免震層に生じる最大応答せん断力以上の力を上部構造の最下層の設計用せん断力とし、それぞれの構造物に応じて合理的に上部構造の設計を実施している。
【0004】
昨今発生した大地震では上記の告示波レベル2を上回る地震動が観測されている。また、南海トラフ沿いで生じる地震、相模トラフ沿いの地震の発生が危惧されており、これまでの設計用入力地震動よりも大きな地震動が生じる可能性を否定できない。設計用地震動よりも大きな地震動における安全性の検証例として、地震動を上述の告示波レベル2の1.5倍入力時とした検証が要求される場合がある。
【0005】
積層ゴムを用いる一般的な免震建物では、設計用地震動よりも大きな入力地震動が生じた場合、積層ゴムの変形がハードニング領域に及び、免震層のせん断力が上昇して免震効果が低減し、上部構造に地震動によるせん断力が伝達してしまうことが考えられる。この場合、上部構造には免震層のハードニング領域の剛性に応じて、設計用地震動検討時よりも大きなせん断力が生じることとなり、告示波レベル2の1.5倍入力時においても上部構造の損傷を抑えるには、設計用地震動のみで検討していたケースよりも建物の剛性・耐力を割り増す必要が生じる。
【0006】
免震層の過大変形時における上部構造の特性に対する従来の構造としては、例えば、特許文献1に記載のものが知られている。この特許文献1に記載の構造は、免震層の過大変形を抑制するために免震層に摩擦ストッパーを組み込んだ建物において、免震層の直上階である上部構造の最下層に減衰装置を設けたものである。
【先行技術文献】
【非特許文献】
【0007】
「次世代軽水炉の免震技術の開発(その14)実規模免震装置のハードニング試験(その1)」、廣谷他、構造II、日本建築学会大会学術講演梗概集(東海)、pp.1251-1252、2012年9月
【特許文献】
【0008】
特開2014-237962号公報
【発明の概要】
【発明が解決しようとする課題】
【0009】
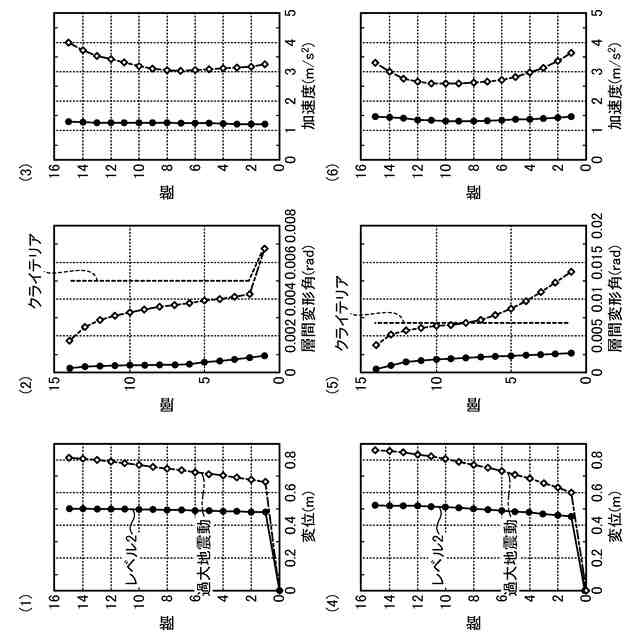
上記の特許文献1には、上部構造として鉄筋コンクリート構造を想定した5質点モデルについての地震応答解析結果より告示波レベル2を超える過大地震入力時の応答評価が示されている。この解析モデルを図5(2)に、解析結果を図5(3)~(5)に示す。ただし、免震層に設ける免震装置として積層ゴム、鋼材ダンパーと摩擦ストッパーを想定し、積層ゴムの復元力特性として初期剛性Kr1に対する2次剛性の比(Kr2/Kr1)を2~4(ハードニングを2倍~4倍)と設定し、上部構造の最下層に設けるオイルダンパー(減衰装置)の減衰力Cを0,100,200,300,400tf/(cm/s)と設定している。
【0010】
図5(3)~(5)には、上部構造の最下層に設定された減衰係数の値、つまりオイルダンパー(減衰装置)の容量の違いによる過大地震入力時の各層の層間変形角が示されている。これらの図から分かるように、オイルダンパーの設置階である最下階は層間変形が低減されているが、その他の階ではオイルダンパーの影響が見られず、上部構造のクライテリアが層間変形角0.02(1/50)以下の場合、最下層の安全性はオイルダンパーの設置により高まるものの、本条件では最下層のオイルダンパーが必要であると考えられない。これには図5(2)に示される剛性比が影響していると考えられる。
(【0011】以降は省略されています)
この特許をJ-PlatPat(特許庁公式サイト)で参照する
関連特許
清水建設株式会社
パネル枠
21日前
清水建設株式会社
防振構造
8日前
清水建設株式会社
建築構造
1か月前
清水建設株式会社
仮設トイレ
21日前
清水建設株式会社
化粧カバー
2か月前
清水建設株式会社
免震構造物
21日前
清水建設株式会社
鉄筋把持装置
2か月前
清水建設株式会社
枠体および壁体
1か月前
清水建設株式会社
水制御システム
2か月前
清水建設株式会社
遮水層の構築方法
2か月前
清水建設株式会社
製炭炉、製炭方法
2か月前
清水建設株式会社
防災支援システム
7日前
清水建設株式会社
ガラスパネル構造
8日前
清水建設株式会社
走行体の支持構造
21日前
清水建設株式会社
積層造形システム
15日前
清水建設株式会社
構造物の施工方法
15日前
清水建設株式会社
免震装置の基礎構造
2か月前
清水建設株式会社
床吹き出し空調装置
2か月前
清水建設株式会社
二酸化炭素固定化方法
14日前
清水建設株式会社
ボルトによる接合構造
2か月前
清水建設株式会社
接合構造および接合方法
6日前
清水建設株式会社
遮水層構築の降雨対策方法
1か月前
清水建設株式会社
建築部材および空調システム
2か月前
清水建設株式会社
防火積層体及びその製造方法
1か月前
清水建設株式会社
来場者グループ把握システム
1日前
清水建設株式会社
CFT柱とRC柱との接合構造
1日前
清水建設株式会社
制振装置およびこれを備えた建物
1か月前
清水建設株式会社
接合構造及び接合構造の改修方法
1か月前
清水建設株式会社
変位計測装置および変位計測方法
1か月前
清水建設株式会社
床版架設装置および床版架設方法
21日前
清水建設株式会社
情報処理装置および情報処理方法
7日前
清水建設株式会社
免震構造および免震構造の施工方法
13日前
清水建設株式会社
中間階免震建物の免震層の構築方法
2か月前
清水建設株式会社
地中連続壁の終局せん断耐力算定方法
1か月前
清水建設株式会社
ケーソンの施工方法および施工補助装置
2か月前
清水建設株式会社
施工方法および二酸化炭素排出量の削減方法
6日前
続きを見る
他の特許を見る