TOP
|
特許
|
意匠
|
商標
特許ウォッチ
Twitter
他の特許を見る
10個以上の画像は省略されています。
公開番号
2025170473
公報種別
公開特許公報(A)
公開日
2025-11-19
出願番号
2024075058
出願日
2024-05-07
発明の名称
照明装置
出願人
国立研究開発法人物質・材料研究機構
代理人
主分類
F21V
8/00 20060101AFI20251112BHJP(照明)
要約
【課題】照明光の強度を高めること。
【解決手段】第1の光を発する光源と、前記第1の光によって励起されて第2の光を発する1個以上40個以下の蛍光体粒子と、を有する照明装置による。
【選択図】図4
特許請求の範囲
【請求項1】
第1の光を発する光源と、
前記第1の光によって励起されて第2の光を発する1個以上40個以下の蛍光体粒子と、
を有する照明装置。
続きを表示(約 720 文字)
【請求項2】
前記蛍光体粒子の個数は1個以上20個以下である、
請求項1に記載の照明装置。
【請求項3】
前記蛍光体粒子の個数は1個以上10個以下である、
請求項2に記載の照明装置。
【請求項4】
前記蛍光体粒子の個数は複数個であり、
前記蛍光体粒子の各々は、自分以外の前記蛍光体粒子を介して、全ての前記蛍光体粒子と接している、
請求項1乃至請求項3のいずれか1項に記載の照明装置。
【請求項5】
前記蛍光体粒子の各々と接する面を更に有する、
請求項1乃至請求項4のいずれか1項に記載の照明装置。
【請求項6】
前記面は、前記第1の光を導く光ファイバの端面である、
請求項5に記載の照明装置。
【請求項7】
各々の前記蛍光体粒子は、気体中又は減圧雰囲気中に置かれている、
請求項1乃至請求項6のいずれか1項に記載の照明装置。
【請求項8】
各々の前記蛍光体粒子よりも小さい領域に前記第1の光を集光する集光レンズを更に有し、
前記蛍光体粒子の少なくとも一つが前記領域に設けられた、
請求項1乃至請求項7のいずれか1項に記載の照明装置。
【請求項9】
各々の前記蛍光体粒子は同一の材料からなる、
請求項1乃至請求項8のいずれか1項に記載の照明装置。
【請求項10】
前記材料はCaAlSiN
3
:Eu
2+
である、
請求項9に記載の照明装置。
(【請求項11】以降は省略されています)
発明の詳細な説明
【技術分野】
【0001】
本発明は、照明装置に関する。
続きを表示(約 1,300 文字)
【背景技術】
【0002】
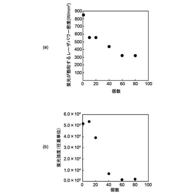
生体内部等の狭くて暗い空間を照明で照らしながら観察する場合には、病変等を見落とさないようにするために高い輝度の照明装置が必要となる。そのような照明装置として、レーザ等の光源と、その光源から発せられた光によって蛍光を発する蛍光体とを含む装置が提案されている(特許文献1~3)。その照明装置では、蛍光体を照射するレーザ光の強度を高めるほど蛍光体から発せられる蛍光の強度も高くなり、観察対象の空間を蛍光で明るく照らし出すことができる。
【0003】
しかしながら、蛍光体には輝度飽和と呼ばれる現象が生じることが知られている(非特許文献1)。輝度飽和は、蛍光体に照射するレーザ光の強度が閾値以上となると蛍光の強度が低下する現象である。輝度飽和の原因としては、温度クエンチング(非特許文献2)と光励起クエンチング(非特許文献3)がある。そのため、蛍光体の蛍光を利用した照明装置においては、輝度飽和が原因で照明の強度を高めるのが難しいという問題がある。
【先行技術文献】
【特許文献】
【0004】
特開2006-173324号公報
特開2018-138992号公報
特開2020-10891号公報
【非特許文献】
【0005】
Shuxing Li、他2名“Laser phosphors for next-generation lighting applications”、Accounts of Materials Research、第12巻、第1299頁、2022年
Philippe F. Smet、他1名“Stabilizing colour and intensity”、Nature materials、第16巻、第500頁、2017年
Peng Zheng、他10名、“Unraveling the luminescence quenching of phosphors under high-power-density excitation”、Acta Materialia、第209巻、第116813頁、2021年
【発明の概要】
【発明が解決しようとする課題】
【0006】
一つの側面では、本発明は、照明光の強度を高めることを目的とする。
【課題を解決するための手段】
【0007】
一つの側面によれば、照明装置は、第1の光を発する光源と、前記第1の光によって励起されて第2の光を発する1個以上40個以下の蛍光体粒子と、を有する。
【0008】
上記照明装置において、前記蛍光体粒子の個数は1個以上20個以下でもよい。
【0009】
上記照明装置において、前記蛍光体粒子の個数は1個以上10個以下でもよい。
【0010】
上記照明装置において、前記蛍光体粒子の個数は複数個であり、前記蛍光体粒子の各々は、自分以外の前記蛍光体粒子を介して、全ての前記蛍光体粒子と接してもよい。
(【0011】以降は省略されています)
この特許をJ-PlatPat(特許庁公式サイト)で参照する
関連特許
個人
室外機器
5か月前
個人
照明装置
14日前
個人
照明システム
4か月前
個人
消火器設置表示装置
25日前
個人
車載機器の通気構造
2か月前
株式会社遠藤照明
照明器具
6か月前
株式会社遠藤照明
照明装置
2か月前
能美防災株式会社
表示灯
2か月前
株式会社小糸製作所
車両用灯具
1か月前
個人
LEDライト
4か月前
株式会社小糸製作所
車両用灯具
1か月前
デンカ株式会社
照明装置
5か月前
デンカ株式会社
道路用照明
5か月前
株式会社小糸製作所
誘導装置
1か月前
株式会社小糸製作所
投光装置
2か月前
アクア株式会社
冷蔵庫
3か月前
スタンレー電気株式会社
照射用光源
1か月前
フルトラム株式会社
光学機器
1か月前
株式会社小糸製作所
投光装置
2か月前
株式会社小糸製作所
表示用灯具
1か月前
株式会社小糸製作所
車両用灯具
4か月前
株式会社小糸製作所
表示用灯具
1か月前
株式会社小糸製作所
車両用灯具
4か月前
株式会社小糸製作所
車両用灯具
5か月前
株式会社小糸製作所
車両用灯具
5か月前
株式会社小糸製作所
車両用灯具
17日前
株式会社小糸製作所
車両用灯具
4か月前
株式会社小糸製作所
車両用灯具
28日前
株式会社小糸製作所
車両用灯具
5か月前
株式会社小糸製作所
車両用灯具
6か月前
株式会社小糸製作所
車両用灯具
29日前
株式会社小糸製作所
車両用灯具
5か月前
株式会社小糸製作所
車両用灯具
28日前
株式会社小糸製作所
車両用灯具
1か月前
三協立山株式会社
照明付きポール
3か月前
株式会社小糸製作所
車両用前照灯
1か月前
続きを見る
他の特許を見る