TOP
|
特許
|
意匠
|
商標
特許ウォッチ
Twitter
他の特許を見る
10個以上の画像は省略されています。
公開番号
2025035505
公報種別
公開特許公報(A)
公開日
2025-03-13
出願番号
2023142589
出願日
2023-09-01
発明の名称
積層体、カード、及びパスポート
出願人
三菱ケミカル株式会社
代理人
個人
,
個人
主分類
B32B
27/36 20060101AFI20250306BHJP(積層体)
要約
【課題】フィルムの廃棄をする必要がなく、ホログラム層に対するダメージを低減可能な積層体を提供すること。
【解決手段】ホログラム層の一方の面に樹脂シートAが積層された積層体であって、樹脂シートAが、構造の一部に下記式(1)で表される部位を有するジヒドロキシ化合物に由来する構造単位(A1)を有するポリカーボネート樹脂(A)を含む樹脂組成物Aからなる、積層体である。
<com:Image com:imageContentCategory="Drawing"> <com:ImageFormatCategory>JPEG</com:ImageFormatCategory> <com:FileName>2025035505000010.jpg</com:FileName> <com:HeightMeasure com:measureUnitCode="Mm">15</com:HeightMeasure> <com:WidthMeasure com:measureUnitCode="Mm">47</com:WidthMeasure> </com:Image>
但し、前記式(1)で表される部位が-CH
2
-O-Hの一部である場合を除く。
【選択図】なし
特許請求の範囲
【請求項1】
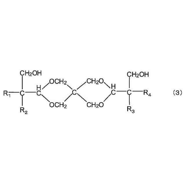
ホログラム層の一方の面に樹脂シートAが積層された積層体であって、樹脂シートAが、構造の一部に下記式(1)で表される部位を有するジヒドロキシ化合物に由来する構造単位(A1)を有するポリカーボネート樹脂(A)を含む樹脂組成物Aからなる、積層体。
JPEG
2025035505000008.jpg
15
47
但し、前記式(1)で表される部位が-CH
2
-O-Hの一部である場合を除く。
続きを表示(約 760 文字)
【請求項2】
前記ホログラム層の他方の面に樹脂シートBが積層され、該樹脂シートBがポリカーボネート樹脂を含む樹脂組成物Bからなる、請求項1に記載の積層体。
【請求項3】
前記樹脂組成物Bが、構造の一部に下記式(1)で表される部位を有するジヒドロキシ化合物に由来する構造単位(A1)を有するポリカーボネート樹脂(A)を含む樹脂組成物Aである、請求項2に記載の積層体。
JPEG
2025035505000009.jpg
15
47
但し、前記式(1)で表される部位が-CH
2
-O-Hの一部である場合を除く。
【請求項4】
前記樹脂シートAを構成する樹脂組成物Aが無機充填剤を含有する、請求項1に記載の積層体。
【請求項5】
前記樹脂シートBを構成する樹脂組成物Bが無機充填剤を含有する、請求項2に記載の積層体。
【請求項6】
前記無機充填剤が金属酸化物である、請求項4又は5に記載の積層体。
【請求項7】
前記無機充填剤が酸化チタンである、請求項4又は5に記載の積層体。
【請求項8】
前記無機充填剤の含有量が、前記樹脂組成物A又は樹脂組成物B中のそれぞれの樹脂成分100質量部に対して5質量部以上90質量部以下である、請求項4又は5に記載の積層体。
【請求項9】
前記樹脂シートBを構成する樹脂組成物Bが発色剤を含む、請求項2に記載の積層体。
【請求項10】
前記発色剤の含有量が、前記樹脂組成物B中の樹脂成分100質量部に対して0.01質量部以上である、請求項9に記載の積層体。
(【請求項11】以降は省略されています)
発明の詳細な説明
【技術分野】
【0001】
本発明は、積層体、カード、及びパスポートに関する。
続きを表示(約 3,200 文字)
【背景技術】
【0002】
従来から、カードまたはパスポートにはホログラム画像(レリーフタイプの回折格子パターン,OVD(Optical Variable Device)パターンを含めた総称として、以後「ホログラム」と称する。)をホットスタンプにより転写形成して、装飾効果、偽造防止効果を付与することを目的としたホログラム転写箔が多用されている(例えば、特許文献1参照)。
ホログラム転写箔は、一般的には、基材、剥離層、ホログラム形成層、反射層(保護層)、接着層からなる層から構成され、基材と剥離層の界面で剥離して剥離層以降の層が転写層として被転写体(例えば、コアシート)に転移して転写形成が行なわれ、剥離層は転写層の保護層として機能する場合が多い。基材にPETフィルムを用いた場合、剥離層から剥がされた後、PETフィルムは廃棄され、別の透明樹脂シートをホログラム形成層の保護用として、貼合される場合があった。
【0003】
ところで、カード、パスポート等は、樹脂フィルムを複数枚積層して熱プレスで一体化して製造されるのが一般的である。層構成としては、例えば、一対のオーバーシートの間に複数層のコアシートが積層された構造や、この構造にさらにオーバーシートとコアシートの間にレーザーマーキングシートなどが設けられた構造を有しており、製品全体に占めるコアシートの厚み比率が高いことが一般的である。そして、このコアシートには隠蔽性が求められ、酸化チタン等の充填材を配合することが一般的に行われている。
また、装飾効果、偽造防止効果を付与するために、層構成中にホログラム層を有する積層体が要望されている。
【先行技術文献】
【特許文献】
【0004】
特開2019-214172号公報
【発明の概要】
【発明が解決しようとする課題】
【0005】
上述のような層構成中にホログラム層を有する積層体を製造するに際しては、前記ホログラム転写箔を使用することが行われるが、基材にPETフィルム用いた場合には、PETフィルムを必ず廃棄しなければならないという問題があった。さらに、ホログラム層とコアシートとの接着に関して、コアシートとして、従来からカード、パスポート等に使用されるポリカーボネート樹脂シートを使用する場合、170℃以上の高温プレスが必要となり、ホログラム層が黄変する課題があった。また、PETフィルムを使用せずに、ホログラム層とポリカーボネート樹脂シートを直接接着させる場合は、PETフィルムを廃棄しなくて良くなるが、高温プレスによるホログラム層の黄変は、解決することができなかった。
【0006】
そこで、本発明は、特定構成の樹脂シートを用いた積層体を構成単位とすることで、フィルムの廃棄をする必要がなく、ホログラム層に対するダメージを低減可能な積層体を提供することを課題とする。
【課題を解決するための手段】
【0007】
本発明者は、鋭意検討の結果、イソソルバイドなどの特定のジヒドロキシ化合物に由来する構造単位を有するポリカーボネート樹脂を含有する樹脂組成物からなる樹脂シートとホログラム層とを組み合わせることで、上記課題を解決できることを見出し、以下の本発明を完成させた。すなわち、本発明は、以下の[1]~[16]を提供する。
【0008】
[1]ホログラム層の一方の面に樹脂シートAが積層された積層体であって、樹脂シートAが、構造の一部に下記式(1)で表される部位を有するジヒドロキシ化合物に由来する構造単位(A1)を有するポリカーボネート樹脂(A)を含む樹脂組成物Aからなる、積層体。
JPEG
2025035505000001.jpg
15
47
但し、前記式(1)で表される部位が-CH
2
-O-Hの一部である場合を除く。
[2]前記ホログラム層の他方の面に樹脂シートBが積層され、該樹脂シートBがポリカーボネート樹脂を含む樹脂組成物Bからなる、上記[1]に記載の積層体。
[3]前記樹脂組成物Bが、構造の一部に下記式(1)で表される部位を有するジヒドロキシ化合物に由来する構造単位(A1)を有するポリカーボネート樹脂(A)を含む樹脂組成物Aである、上記[2]に記載の積層体。
JPEG
2025035505000002.jpg
15
47
但し、前記式(1)で表される部位が-CH
2
-O-Hの一部である場合を除く。
[4]前記樹脂シートAを構成する樹脂組成物Aが無機充填剤を含有する、上記[1]~[3]のいずれかに記載の積層体。
[5]前記樹脂シートBを構成する樹脂組成物Bが無機充填剤を含有する、上記[2]~[4]のいずれかに記載の積層体。
[6]前記無機充填剤が金属酸化物である、上記[4]又は[5]に記載の積層体。
[7]前記無機充填剤が酸化チタンである、上記[4]又は[5]に記載の積層体。
[8]前記無機充填剤の含有量が、前記樹脂組成物A又は樹脂組成物B中のそれぞれの樹脂成分100質量部に対して5質量部以上90質量部以下である、上記[4]~[7]のいずれかに記載の積層体。
[9]前記樹脂シートBを構成する樹脂組成物Bが発色剤を含む、上記[2]~[8]のいずれかに記載の積層体。
[10]前記発色剤の含有量が、前記樹脂組成物B中の樹脂成分100質量部に対して0.01質量部以上である、上記[9]に記載の積層体。
[11]前記ポリカーボネート樹脂(A)が、ジヒドロキシ化合物に由来する構造単位中、前記構造単位(A1)を30モル%以上含有する、上記[1]~[10]のいずれかに記載の積層体。
[12]前記ポリカーボネート樹脂(A)が、ジヒドロキシ化合物に由来する構造単位中、前記構造単位(A1)を80モル%以下含有する、上記[1]~[11]のいずれかに記載の積層体。
[13]前記ポリカーボネート樹脂(A)が、脂肪族ジヒドロキシ化合物及び脂環式ジヒドロキシ化合物からなる群から選択される少なくとも1種のジヒドロキシ化合物に由来し、かつ構造単位(A1)以外の構造単位である構造単位(A2)をさらに含む、上記[1]~[12]のいずれかに記載の積層体。
[14]前記ホログラム層がレリーフ型である、上記[1]~[13]のいずれかに記載の積層体。
[15]上記[1]~[14]のいずれかに記載の積層体を有する、カードまたはパスポート。
[16]前記ホログラム層と、前記樹脂シートA及び樹脂シートBの少なくともいずれかとを160℃以下でプレスする、上記[1]~[14]のいずれかに記載の積層体の製造方法。
【発明の効果】
【0009】
本発明によれば、フィルムの廃棄をする必要がなく、ホログラム層に対するダメージを低減可能な積層体を提供することができる。
【図面の簡単な説明】
【0010】
本発明の積層体を示す概念図である。
カードにおける層構成を示す模式図である。
カードにおける層構成を示す模式図である。
カードにおける層構成を示す模式図である。
パスポートにおける層構成を示す模式図である。
パスポートにおける層構成を示す模式図である。
パスポートにおける層構成を示す模式図である。
【発明を実施するための形態】
(【0011】以降は省略されています)
この特許をJ-PlatPat(特許庁公式サイト)で参照する
関連特許
三菱ケミカル株式会社
画像表示用導光板
今日
三菱ケミカル株式会社
包装材用フィルム、包装材、積層体及び包装材用フィルムの製造方法
今日
三菱ケミカル株式会社
金属積層用フィルム、フィルム箔、電池集電体用フィルム箔、及び電池集電体
今日
東レ株式会社
積層体
5か月前
東レ株式会社
積層体
10か月前
東レ株式会社
積層構造体
10か月前
個人
箔転写シート
6か月前
ユニチカ株式会社
積層体
3か月前
ユニチカ株式会社
積層体
9か月前
東レ株式会社
積層フィルム
4か月前
東レ株式会社
強化繊維基材
5か月前
東レ株式会社
積層フィルム
9か月前
個人
鋼材の塗膜構造
3か月前
東レ株式会社
積層フィルム
2か月前
東レ株式会社
積層フィルム
8か月前
東レ株式会社
強化繊維基材
5か月前
東レ株式会社
加飾用フィルム
1か月前
東レ株式会社
光透過性表皮材
1か月前
東レ株式会社
無配向フィルム
1か月前
積水樹脂株式会社
磁性シート
8か月前
東ソー株式会社
多層フィルム
8か月前
ユニチカ株式会社
透明シート
3か月前
東ソー株式会社
多層フィルム
6か月前
エスケー化研株式会社
積層体
9か月前
東洋紡株式会社
積層包装材料
3か月前
アイカ工業株式会社
光学積層体
7か月前
日本発條株式会社
積層体
2か月前
出光興産株式会社
構造体
21日前
日本バイリーン株式会社
表皮材
4か月前
三菱製紙株式会社
不織布積層体
8か月前
大倉工業株式会社
多層フィルム
9か月前
東レ株式会社
多層積層フィルム
2か月前
artience株式会社
積層体
5か月前
artience株式会社
積層体
6か月前
個人
加熱調理に利用可能な鉄製品
11か月前
東洋アルミニウム株式会社
積層体
5か月前
続きを見る
他の特許を見る