TOP
|
特許
|
意匠
|
商標
特許ウォッチ
Twitter
他の特許を見る
10個以上の画像は省略されています。
公開番号
2025163577
公報種別
公開特許公報(A)
公開日
2025-10-29
出願番号
2024066988
出願日
2024-04-17
発明の名称
打撃試験装置、打撃試験方法、異常検知装置、および耐火物の厚み計測方法
出願人
JFEスチール株式会社
代理人
個人
主分類
G01B
17/02 20060101AFI20251022BHJP(測定;試験)
要約
【課題】打撃装置の異常を検知することができる打撃試験装置および打撃試験方法、ならびに、打撃装置の異常検知装置および耐火物の厚み計測方法を提供する。
【解決手段】 打撃試験対象の打撃試験を行う打撃試験装置は、打撃試験対象を加振し、加振信号を出力する打撃装置と、加振信号のデータを収集し、収集したデータを演算する演算装置とを有し、演算装置は、打撃装置が出力する加振信号の波形から抽出した特徴量から取得した正常な状態の指標により、打撃装置の異常を検知する。
【選択図】図1
特許請求の範囲
【請求項1】
打撃試験対象の打撃試験を行う打撃試験装置であって、
前記打撃試験対象を加振し、加振信号を出力する打撃装置と、
前記加振信号のデータを収集し、収集したデータを演算する演算装置と、
を有し、
前記演算装置は、前記打撃装置が出力する加振信号の波形から抽出した特徴量から取得した正常な状態の指標により、前記打撃装置の異常を検知する、打撃試験装置。
続きを表示(約 1,400 文字)
【請求項2】
前記打撃装置は前記打撃対象に対して少なくとも1回の打撃を行い、前記演算装置は、前記正常状態の指標として、1回の打撃で得た特徴量そのもの、または複数回の打撃で得た特徴量の統計量を用いる、請求項1に記載の打撃試験装置。
【請求項3】
前記特徴量の統計量は、前記複数回の打撃で得た複数の特徴量の平均値、中央値、最大値、最小値の少なくとも一種である、請求項2に記載の打撃試験装置。
【請求項4】
前記演算装置は、
前記特徴量として、前記加振信号から算出した前記打撃装置と前記打撃試験対象との接触時間、および前記加振信号の最大値のいずれか一方または両方を用いる、請求項1に記載の打撃試験装置。
【請求項5】
前記演算装置は、
正常状態の前記打撃装置による前記打撃試験対象への打撃により、前記接触時間の正常値、および、前記加振信号の最大値の正常値のいずれか一方または両方を取得する正常状態指標取得部と、
前記接触時間の正常値、および、前記加振信号の最大値の正常値のいずれか一方または両方を、設定された、前記打撃装置と前記打撃試験対象との衝突速度と紐づけて記憶する記憶部と、
状態が未知である前記打撃装置を前記打撃試験対象へ前記衝突速度で打撃させて得られた接触時間と、正常な状態の前記接触時間の統計量との差分、および、状態が未知である前記打撃装置を前記打撃試験対象へ前記衝突速度で打撃させて得られた加振信号の最大値と、正常な状態の前記加振信号の最大値の統計量との差分、のいずれか一方または両方に基づいて、前記打撃装置の異常を検知する異常検知部と、
を有する、請求項4に記載の打撃試験装置。
【請求項6】
前記演算装置は、前記状態が未知である前記打撃装置を前記打撃試験対象へ前記衝突速度で打撃させて得られた接触時間と、正常な状態の前記接触時間の統計量との差分の時間推移、および、前記状態が未知である前記打撃装置を前記打撃試験対象へ前記衝突速度で打撃させて得られた加振信号の最大値と、正常な状態の前記加振信号の最大値の統計量との差分の時間推移、のいずれか一方または両方に基づいて、前記打撃装置の異常が発生する時期を算出する異常予知部をさらに有する、請求項5に記載の打撃試験装置。
【請求項7】
前記演算装置は、前記正常状態指標取得部による処理を実行するか、前記異常検知部による処理を実行するかを選択する機能設定部をさらに有する、請求項5に記載の打撃試験装置。
【請求項8】
前記打撃試験対象は耐火物を有し、前記打撃試験対象を加振することにより前記耐火物の厚み計測を行う、請求項1から請求項7のいずれか一項に記載の打撃試験装置。
【請求項9】
前記耐火物の厚み計測は、衝撃弾性波共振法により行う、請求項8に記載の打撃試験装置。
【請求項10】
打撃試験対象に打撃試験を行う打撃試験方法であって、
前記打撃試験対象を打撃装置で加振することと、
前記打撃装置が出力する加振信号の波形から抽出した特徴量から取得した正常な状態の指標を取得し、記憶することと、
前記指標により、前記打撃装置の異常を検知することと、
を有する、打撃試験方法。
(【請求項11】以降は省略されています)
発明の詳細な説明
【技術分野】
【0001】
本発明は、例えば、炉耐火物の厚みの計測に用いられる、打撃試験装置および打撃試験方法、ならびに、打撃装置の異常検知装置および耐火物の厚み計測方法に関する。
続きを表示(約 1,400 文字)
【背景技術】
【0002】
高炉などの工業用炉の炉壁は、一般的に外側から鉄皮、不定形耐火物、主要な耐火物である耐火レンガの順に構成された多層構造である。一番内側にある耐火レンガは炉心側から損耗していくほか、耐火レンガ内部に発生した亀裂により炉体寿命を短命化させるため、耐火レンガの厚さ測定と内部状態の明瞭化は炉の保守管理上、きわめて重要である。特に高炉の炉底部は、休風時であっても常に溶銑にさらされているため損耗が激しく、しかも高炉が操業される数十年間、直接的な修復ができない部位である。操業中に耐火物の厚さを精度良く測定し、耐火レンガの内部状態を明瞭化することで、高炉の操業中に高炉の異常の判断をすることや、高炉の操業を最適化して高炉の寿命を延命すること、高炉の寿命や改修時期を適切に予測することが可能となる。
【0003】
耐火物の厚さの測定方法として、特許文献1に、衝撃弾性波共振法により耐火物の厚さを計測する方法が記載されている。特許文献1に記載の方法は、計測した信号を周波数解析し、ピークとなる周波数をレンガの残厚として換算する方法である。
【先行技術文献】
【特許文献】
【0004】
特開平8-219751号公報
【発明の概要】
【発明が解決しようとする課題】
【0005】
衝撃弾性波共振法において、入力する信号の周波数特性は、受信信号の想定周波数帯域に応じたものにする必要があるが、衝撃弾性波共振法の入力装置として用いられるハンマーは、測定を続けるにしたがって変形や破損が生じ、周波数特性や加振力に変化が生じる。しかし、特許文献1に記載の方法は、打撃装置の周波数特性や加振力の変化は考慮しておらず、測定を繰り返すに従って、入力する信号の上限周波数が低下していき、残厚に相当するピークが出現せず、残厚を測定できないことも生じる。
【0006】
したがって、本発明は、打撃装置の異常を検知することができる打撃試験装置および打撃試験方法、ならびに、打撃装置の異常検知装置および耐火物の厚み計測方法を提供する。
【課題を解決するための手段】
【0007】
上記課題を解決するため、本発明は、以下の[1]~[19]を提供する。
【0008】
[1]打撃試験対象の打撃試験を行う打撃試験装置であって、
前記打撃試験対象を加振し、加振信号を出力する打撃装置と、
前記加振信号のデータを収集し、収集したデータを演算する演算装置と、
を有し、
前記演算装置は、前記打撃装置が出力する加振信号の波形から抽出した特徴量から取得した正常な状態の指標により、前記打撃装置の異常を検知する、打撃試験装置。
【0009】
[2]前記打撃装置は前記打撃対象に対して少なくとも1回の打撃を行い、前記演算装置は、前記正常状態の指標として、1回の打撃で得た特徴量そのもの、または複数回の打撃で得た特徴量の統計量を用いる、[1]に記載の打撃試験装置。
【0010】
[3]前記特徴量の統計量は、前記複数回の打撃で得た複数の特徴量の平均値、中央値、最大値、最小値の少なくとも一種である、[2]に記載の打撃試験装置。
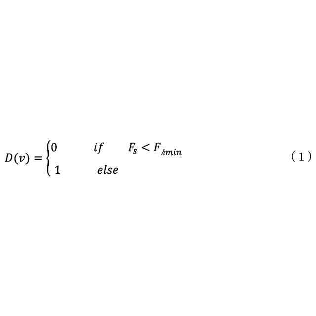
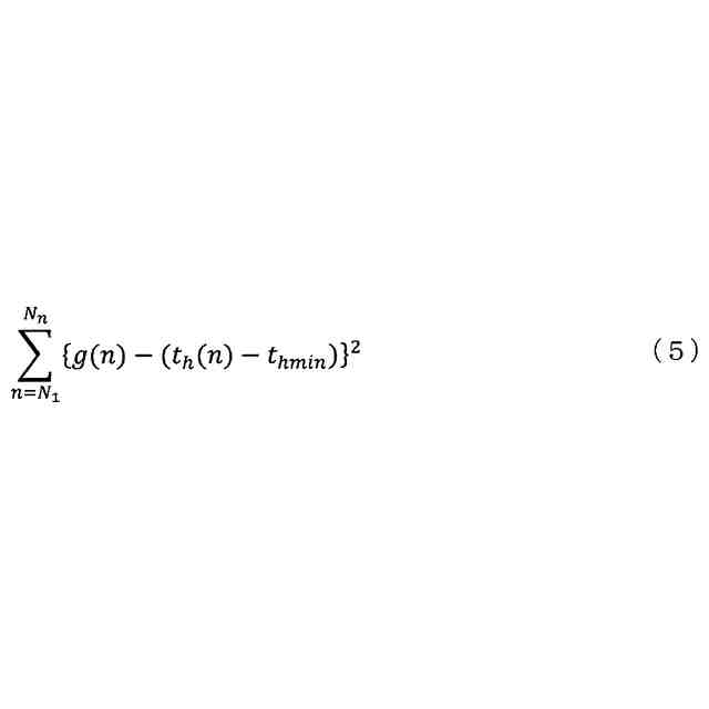
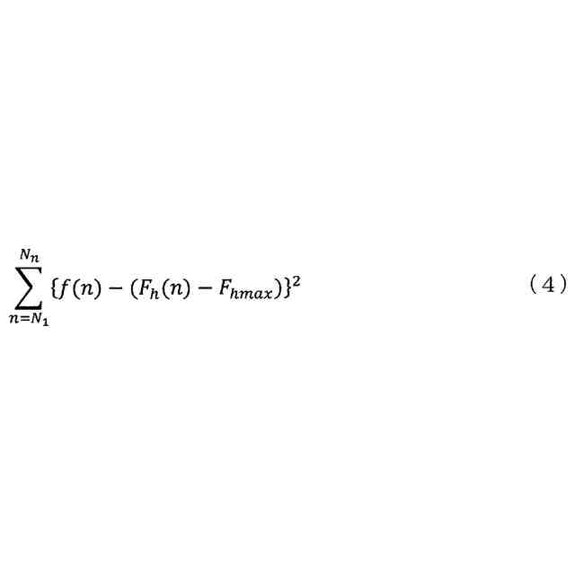
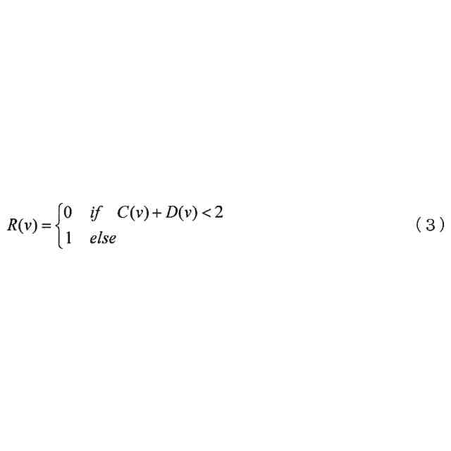
(【0011】以降は省略されています)
この特許をJ-PlatPat(特許庁公式サイト)で参照する
関連特許
個人
採尿及び採便具
24日前
日本精機株式会社
検出装置
18日前
個人
高精度同時多点測定装置
1か月前
個人
計量機能付き容器
13日前
個人
アクセサリー型テスター
1か月前
甲神電機株式会社
電流検出装置
18日前
株式会社ミツトヨ
測定器
1か月前
株式会社カクマル
境界杭
3日前
アズビル株式会社
電磁流量計
1か月前
大成建設株式会社
風洞実験装置
13日前
大和製衡株式会社
組合せ計量装置
27日前
愛知時計電機株式会社
ガスメータ
1か月前
個人
計量具及び計量機能付き容器
13日前
愛知電機株式会社
軸部材の外観検査装置
27日前
大和製衡株式会社
組合せ計量装置
27日前
日本特殊陶業株式会社
ガスセンサ
11日前
日本信号株式会社
距離画像センサ
16日前
長崎県
形状計測方法
1か月前
ローム株式会社
半導体装置
1か月前
ローム株式会社
半導体装置
1か月前
個人
システム、装置及び実験方法
1か月前
双庸電子株式会社
誤配線検査装置
19日前
個人
非接触による電磁パルスの測定方法
16日前
日東精工株式会社
振動波形検査装置
19日前
キーコム株式会社
画像作成システム
3日前
日本特殊陶業株式会社
センサ
1か月前
株式会社デンソー
電流センサ
1か月前
個人
液位検視及び品質監視システム
11日前
トヨタ自動車株式会社
測定システム
1か月前
株式会社不二越
X線測定装置
16日前
株式会社電巧社
試験装置及び試験方法
19日前
アンリツ株式会社
X線検査装置
1か月前
理研計器株式会社
ガス検知装置
3日前
株式会社マグネア
磁界検出素子
16日前
株式会社エルメックス
希釈液収容容器
13日前
日本特殊陶業株式会社
化学センサ
18日前
続きを見る
他の特許を見る