TOP
|
特許
|
意匠
|
商標
特許ウォッチ
Twitter
他の特許を見る
10個以上の画像は省略されています。
公開番号
2025173412
公報種別
公開特許公報(A)
公開日
2025-11-27
出願番号
2024078991
出願日
2024-05-14
発明の名称
振動検出方法
出願人
京セラ株式会社
代理人
個人
,
個人
,
個人
主分類
G01S
13/88 20060101AFI20251119BHJP(測定;試験)
要約
【課題】波動の送受信によって対象物の振動を良好な精度で検出する方法を提供する。
【解決手段】電磁波を照射する電子機器によって、所定の周波数で振動する対象物の振動を検出する方法は、電子機器と対象物との間の距離が、対象物の等位相面の直径、及び電子機器のアンテナのゲインの半値幅に基づく所定値未満になるように設定するステップと、設定された距離だけ対象物から離間された電子機器によって、対象物の振動を検出するステップと、を含む。
【選択図】図22
特許請求の範囲
【請求項1】
電磁波を照射する電子機器によって、所定の周波数で振動する対象物の振動を検出する方法であって、
前記電子機器と前記対象物との間の距離が、前記対象物の等位相面の直径、及び前記電子機器のアンテナのゲインの半値幅に基づく所定値未満になるように設定するステップと、
前記設定された距離だけ前記対象物から離間された前記電子機器によって、前記対象物の振動を検出するステップと、
を含む、振動検出方法。
続きを表示(約 400 文字)
【請求項2】
前記所定値は、当該所定値をDとし、前記対象物の振動の等位相面の直径をLとし、前記電子機器のアンテナゲインの半値幅をαとして、D<L/2tan(α/2)を満たす、請求項1に記載の振動検出方法。
【請求項3】
前記対象物の等位相面の直径は、当該対象物の等位相面のうち最小の等位相面の直径とする、請求項1に記載の振動検出方法。
【請求項4】
前記対象物は、加振源によって加振され、
前記加振源は、前記対象物を時間的に一定の振動数で連続して加振する、請求項1に記載の振動検出方法。
【請求項5】
前記加振源は、前記対象物を音響振動によって加振する、請求項4に記載の振動検出方法。
【請求項6】
前記検出された振動に基づいて、前記対象物についての状態を出力するステップを含む、請求項1に記載の振動検出方法。
発明の詳細な説明
【技術分野】
【0001】
本開示は、振動検出方法に関する。
続きを表示(約 3,300 文字)
【背景技術】
【0002】
例えば自動車に関連する産業などの分野において、自車両と所定の物体との間の距離などを測定する技術が重要視されている。特に、近年、例えばミリ波レーダのように、電波を送信し、障害物などの物体に反射した反射波を受信することで、物体との間の距離などを測定するレーダ(RADAR(Radio Detecting and Ranging))の技術が、種々研究されている。このような距離などを測定する技術は、運転者の運転をアシストする技術、及び、運転の一部又は全部を自動化する自動運転に関連する技術の発展に伴い、今後ますます重要性が高まると予想される。
【0003】
また、例えばミリ波のような波動の送受信により、対象物の振動を検出して、当該対象物の異常を検知するなどの技術も提案されている。非特許文献1は、土木又は建築などの分野において、所定の対象物の振動を検出することにより、その対象物の振動モードを解析する技術を開示している。非特許文献1の図8(Fig.8)は、損傷を加えた橋梁の振動モードが正常な状態から変化することを開示しており、振動モードの検出によって橋梁の異常を検知することを提案している。非特許文献2の第2章は、レーザドップラー振動計(Laser Doppler Vibrometer:LDV)を用いた振動測定、及び、構造物の加振方法を提案している。非特許文献2の3章は、図9に示す異なる大きさの円形の欠陥部が存在するコンクリート壁に対し、非接触で音響的な加振を行い、その振動をLDVによって取得することで、欠落部の存在を検出することを提案している。また、非特許文献3は、レーダセンサを用いて、構造物の表面振動を取得する技術を開示している。
【先行技術文献】
【非特許文献】
【0004】
金 哲祐,他2名,“損傷前後の鋼単純トラス橋の振動特性同定と統計的分析による異常検知”,[online],2014年,土木学会論文集 A2(応用力学),Vol.70,No.2(応用力学論文集Vol.17),[令和6年2月20日検索],インターネット<URL:https://www.jstage.jst.go.jp/article/jscejam/70/2/70_I_63/_pdf/-char/ja>
杉本 恒美,“音波照射加振を用いた非接触音響探査技術によるコンクリート構造物の非破壊検査”,[online],2023年,IEICE fundamental review Vol.16 No.3,[令和6年2月20日検索],インターネット<URL:https://www.jstage.jst.go.jp/article/essfr/16/3/16_156/_pdf/-char/en>
Zelong Shao,他3名,"A Comparative Study on Radar Interferometry for Vibrations Monitoring on Different Types of Bridges",[online],2018年5月22日,IEEE Access,[令和6年2月20日検索],インターネット<URL:https://ieeexplore.ieee.org/stamp/stamp.jsp?tp=&arnumber=8362646>
【発明の概要】
【発明が解決しようとする課題】
【0005】
例えば電波のような波動の送受信によって、対象物の振動を良好な精度で検出できれば、多種多様な分野において役立つことが期待できる。
【0006】
本開示の目的は、波動の送受信によって対象物の振動を良好な精度で検出する振動検出方法を提供することにある。
【課題を解決するための手段】
【0007】
一実施形態に係る振動検出方法は、
電磁波を照射する電子機器によって、所定の周波数で振動する対象物の振動を検出する方法であって、
前記電子機器と前記対象物との間の距離が、前記対象物の等位相面の直径、及び前記電子機器のアンテナのゲインの半値幅に基づく所定値未満になるように設定するステップと、
前記設定された距離だけ前記対象物から離間された前記電子機器によって、前記対象物の振動を検出するステップと、
を含む、振動検出方法。
【発明の効果】
【0008】
一実施形態によれば、波動の送受信によって振動体の振動を良好な精度で検出し得る振動検出方法を提供することができる。
【図面の簡単な説明】
【0009】
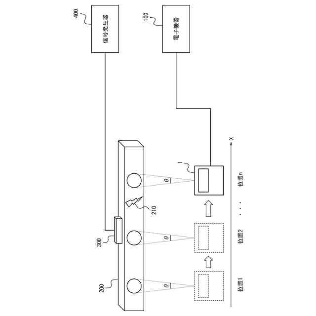
一実施形態に係る検出機器及び電子機器を含むシステムの構成を示す図である。
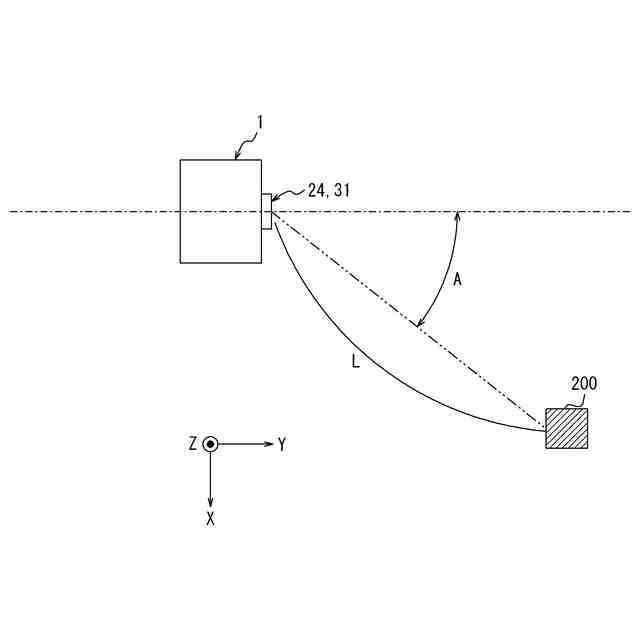
一実施形態に係る検出機器の使用態様を説明する図である。
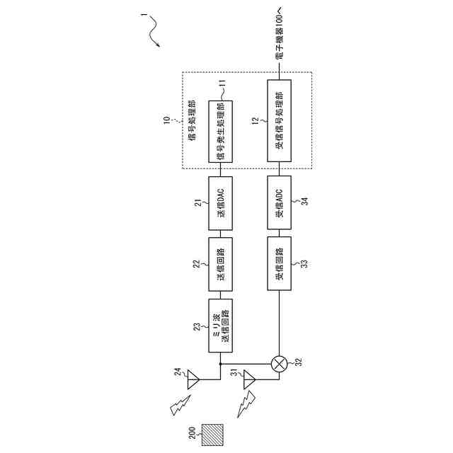
一実施形態に係る検出機器の構成を概略的に示す機能ブロック図である。
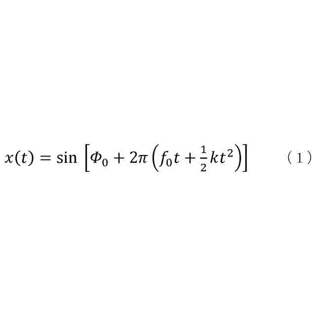
一実施形態に係る検出機器が処理する信号の構成を説明する図である。
一実施形態に係る検出機器による信号の処理を説明する図である。
一実施形態に係る検出機器による信号の処理を説明する図である。
一実施形態に係る検出機器による信号の処理を説明する図である。
一実施形態に係る検出機器のアンテナアレイにおけるアンテナの配置の例及び動作原理を概略的に示す図である。
一実施形態に係る検出機器のアンテナアレイにおけるアンテナの配置の例を示す図である。
一実施形態に係る電子機器の構成を概略的に示す機能ブロック図である。
一実施形態に係る加振源の振動波形と対象物の変形状態との対応関係の例を示す図である。
一実施形態に係る加振源の振動波形と対象物の変形状態との対応関係の例を示す図である。
一実施形態に係る検出機器によって取得される連続的なデータと加振波形との時間的な対応関係を示す図である。
一実施形態に係る電子機器の動作を説明するフローチャートである。
一実施形態に係る対象物の振動モードの形状の例を示す図である。
一実施形態に係る対象物の振動モードの形状の例を示す図である。
一実施形態に係る対象物の振動モードの形状の例を示す図である。
一実施形態に係る加振源が対象物を加振する際に用いられる振動波形を示す図である。
対象物が加振された際に検出機器1によって検出される波形の例を示す図である。
各測定位置において測定される波形を一実施形態に係る電子機器によって時刻同期させる例を示す図である。
同位相の瞬時における対象物の変位を測定位置ごとに示す図である。
同位相の瞬時から所定のオフセット時間の経過後における対象物の変位を測定位置ごとに示す図である。
同位相の瞬時からさらに所定のオフセット時間の経過後における対象物の変位を測定位置ごとに示す図である。
同位相の瞬時からさらに所定のオフセット時間の経過後における対象物の変位を測定位置ごとに示す図である。
一実施形態に係る検出機器から対象物に照射される検出波及び測定領域の例を示す図である。
一実施形態に係る検出機器から対象物に照射される検出波及び測定領域の例を示す図である。
一実施形態に係る検出機器の測定領域と対象物の形状変化の例を示す図である。
一実施形態に係る検出機器1の測定領域と対象物200の形状変化の例を示す図である。
一実施形態に係る検出機器1による振動検出方法を説明する図である。
【発明を実施するための形態】
【0010】
以下、一実施形態について、図面を参照して説明する。
(【0011】以降は省略されています)
この特許をJ-PlatPat(特許庁公式サイト)で参照する
関連特許
京セラ株式会社
光学系
28日前
京セラ株式会社
配線基板
1か月前
京セラ株式会社
蓄電装置
1か月前
京セラ株式会社
配線基板
1か月前
京セラ株式会社
粒子分離装置
1か月前
京セラ株式会社
振動検出方法
今日
京セラ株式会社
静圧気体軸受装置
1か月前
京セラ株式会社
光センサモジュール
15日前
京セラ株式会社
光センサモジュール
15日前
京セラ株式会社
走査装置及び制御装置
1か月前
京セラ株式会社
走査装置及び制御装置
1か月前
京セラ株式会社
コネクタ及び取付方法
1か月前
京セラ株式会社
予測装置及び予測方法
23日前
京セラ株式会社
印刷装置及び印刷方法
20日前
京セラ株式会社
太陽電池付きカーポート
1か月前
京セラ株式会社
太陽電池付きカーポート
1か月前
京セラ株式会社
積層セラミック電子部品
21日前
京セラ株式会社
差動信号フィルタデバイス
7日前
京セラ株式会社
差動信号フィルタデバイス
7日前
京セラ株式会社
電磁波検出装置及び制御装置
1か月前
京セラ株式会社
端子、端子部材および電気機器
15日前
京セラ株式会社
配線基板及びLEDモジュール
20日前
京セラ株式会社
光集積回路及び光トランシーバ
1か月前
京セラ株式会社
端子、端子部材および電気機器
13日前
京セラ株式会社
電子デバイス及び電子モジュール
20日前
京セラ株式会社
光センサおよび光センサの製造方法
1か月前
京セラ株式会社
電子機器、制御方法、及びプログラム
今日
京セラ株式会社
分析システム、分析装置、及び分析方法
20日前
京セラ株式会社
光センサおよびこれを備えた画像形成装置
15日前
京セラ株式会社
揺動装置、電磁波照射装置、及び制御装置
1か月前
京セラ株式会社
ホルダ、切削工具、及び切削加工物の製造方法
1か月前
京セラ株式会社
太陽光発電システム及び太陽電池付きカーポート
1か月前
京セラ株式会社
電子機器、制御方法、プログラム、及びシステム
23日前
京セラ株式会社
VMD支援システム、サーバ装置、及び通信方法
20日前
京セラ株式会社
電子機器、制御方法、プログラム、及びシステム
23日前
京セラ株式会社
行動検出システム、サーバ装置、及び行動検出方法
20日前
続きを見る
他の特許を見る