TOP
|
特許
|
意匠
|
商標
特許ウォッチ
Twitter
他の特許を見る
10個以上の画像は省略されています。
公開番号
2025172672
公報種別
公開特許公報(A)
公開日
2025-11-26
出願番号
2024204387
出願日
2024-11-25
発明の名称
軌道桁の単純桁連続化構造系の設計方法
出願人
中国建築第五工程局有限公司
,
China Construction Fifth Engineering Division Corp., Ltd
代理人
個人
主分類
E01B
25/08 20060101AFI20251118BHJP(道路,鉄道または橋りょうの建設)
要約
【課題】軌道桁の単純桁連続化構造系の設計方法を提供することを課題とする。
【解決手段】第1軌道桁及び第2軌道桁と、それらを連結するための単純桁連続化構造とを備え、上記構造に基づく設計方法は、支点断面の決定ステップS1、鋼板及び鉄筋の選択ステップS2、スタッドの配置ステップS3、ひび割れ幅の安全係数の計算ステップS4、曲げ耐力の安全係数の計算ステップS5、設計者が自ら定義する最小許容安全係数に基づき上記ステップを繰り返して構造を最適化するステップS6、及び得えられた安全係数が要求事項を満たすと、前記構造系の設計が完了するステップS7を含む。前記構造系は、大きな負曲げモーメント領域の引張力に抵抗でき、従来有技術における負曲げモーメントのテンドン緊張の難題が発生せず、且つ前記構造に基づく設計方法は、この種の構造の受ける力の計算及び設計の最適化を迅速に実現し、大規模な普及と応用が容易になる。
【選択図】図1
特許請求の範囲
【請求項1】
軌道桁の単純桁連続化構造系の設計方法であって、軌道桁の単純桁連続化構造系は、両側を連結するための第1軌道桁及び第2軌道桁と、前記第1軌道桁と前記第2軌道桁を連結するための単純桁連続化構造とを備え、前記第1軌道桁及び前記第2軌道桁は、プレキャストプレストレストコンクリート部材を備え、前記軌道桁の単純桁連続化構造は連続橋脚頂部に設けられ、
前記軌道桁の単純桁連続化構造は、鉄筋と、鋼板と、後打ちウェットジョイントと、スタッドとを備え、前記鉄筋は、前記第1軌道桁及び前記第2軌道桁に配置され、前記第1軌道桁を通し、前記第2軌道桁に近く側面と連結し、前記スタッドは前記鋼板に連結され、前記鋼板の頂面が前記第1軌道桁及び前記第2軌道桁の上面と面一であり、前記鋼板は前記軌道桁のプレストレステンドン定着前に前記軌道桁内に先行埋設され、前記後打ちウェットジョイントは前記第1軌道桁と前記第2軌道桁との間に打設されて前記第1軌道桁と第2軌道桁を連結し、
前記後打ちウェットジョイントの縦方向の長さは、L
c
であり、前記軌道桁の単純桁連続化構造系の設計方法は、
支点断面の決定ステップS1:軌道桁のたわみに対する跨座式モノレールの仕様書の要求事項に基づき、前記軌道桁の単純桁連続化構造系のスパン中央断面及び前記連続橋脚に位置する支点断面を決定し、前記支点断面を幅B、高さHの通常の鉄筋コンクリート中実矩形断面と仮定し、支点のひび割れ幅の照査時前記支点断面の最も不利となる負曲げモーメントM
q
及び鉛直せん断力V
q
を計算し、支点部の曲げ耐力の照査時前記支点断面の最も不利となる負曲げモーメントM
d
及び鉛直せん断力V
d
を計算して、前記支点断面と前記支点断面の左側の曲げモーメントがゼロとなる断面との距離をL
m
として求め、前記支点断面に必要な引張領域の前記鉄筋面積をA
rr
として求め、
前記鋼板及び前記鉄筋の選択ステップS2:コンクリート打設及び鉄筋接合の要求事項に基づき、前記鉄筋と前記支点断面の上縁との間の最小正味距離s
r
、最大鉄筋直径d
r
、鉄筋総数n
r
を求め、前記鉄筋の実面積A
r
=n
r
πd
r
2
/4、前記鋼板の厚さH
p
、前記鋼板の縦方向の長さL
p
=2H、幅B
p
=Bを計算し、この時支点断面は前記矩形断面と前記矩形断面の上に配置された前記鋼板断面とを重ね合わせたものとなり、前記支点断面の高さはH=H
c
+H
p
、前記支点断面上縁の前記鉄筋の重心と前記前記鋼板底面との間の距離はs
rp
となり、
前記スタッドの配置ステップS3:前記スタッドに対する鋼コンクリート複合構造仕様書の構造規定及び配置要求事項に基づき、前記前記鋼板の下の最小スタッド間隔s
s
、最大スタッド直径d
s
,及び最大スタッド総数n
s
を決定し、
前記軌道桁の単純桁連続化構造系のひび割れ幅の安全係数の計算ステップS4:前記軌道桁の単純桁連続化構造系は、前記連続橋脚の中心軸で二分割し、ひび割れ幅の照査時、前記支点断面部の前記鋼板の軸力N
pq
は前記後打ちウェットジョイントの一側に位置する前記スタッドの縦方向のせん断力V
x1
、前記軌道桁の単純桁連続化構造系の一側範囲内の前記第1軌道桁中の前記スタッドの縦方向のせん断力V
x2
と前記鋼板一側の端部軸力N
x3
の和に基づき計算し、すなわちN
pq
=V
x1
+V
x2
+N
x3
の場合、前記鉄筋の軸力N
rq
=(M
q
-N
pq
(H-H
p
/2-(1-0.87)(H
c
-s
rp
)))/(0.87(H
c
-s
rp
))+N
pq
A
r
/(BH
p
)となり、N
pq
、N
rq
及びひび割れ幅の照査公式から前記ひび割れ幅W
続きを表示(約 2,400 文字)
【請求項2】
前記N
x3
=N
x4
+dV
x4
=(N
x5
+dV
x5
)+dV
x4
=((N
x6
+dV
x6
)+dV
x5
)+dV
x4
=……=(N
xm
+dV
xm
)+……+dV
x6
+dV
x5
+dV
x4
であり、ここで、N
x4
及びdV
x4
はそれぞれ前記鋼板一側の端面及び前記鋼板と同じ厚さで幅及び縦方向の長さがdlのコンクリート微小直方体要素□
4
の一側端面の縦方向の引張軸力及び底面の縦方向のせん断力であり、N
x5
及びdV
x5
は、それぞれ□
4
一側の前記□
4
と同じ厚さで幅及び縦方向の長さがdlのコンクリート微小直方体要素□
5
の一側端面の縦方向の引張軸力及び底面縦方向のせん断力であり、同様にN
xm
及びdV
xm
は、それぞれ曲げモーメントがゼロとなる断面の一側及び前記曲げモーメントがゼロとなる断面と同じ厚さで幅及び縦方向の長さがdlのコンクリート微小直方体要素□
m
の一側端面の縦方向の引張軸力及び底面縦方向のせん断力であり、N
xm
≒0であることが分かるため、
TIFF
2025172672000008.tif
24
166
となり、ここで、V
xc
(l)は前記支点断面から縦方向距離がl箇所の幅B、厚さH
p
のコンクリート微小直方体要素□
l
の底面縦方向のせん断力、V
cc
(l)はこの箇所の幅B、高さHの全断面の鉛直せん断力、S
c
(l)は□
l
の当該箇所の幅B、高さHの全断面中立軸に対する面積モーメント、I
cc
(l)は当該箇所の幅B、高さHの全断面の慣性モーメントであることを特徴とする、請求項1に記載の軌道桁の単純桁連続化構造系の設計方法。
【請求項3】
前記
TIFF
2025172672000009.tif
22
166
、となり、V
xp
(l)は支点断面から縦方向距離がl箇所の鋼板微小直方体要素□
l
の底面縦方向のせん断力、V
pc
(l)は当該箇所の全断面の鉛直せん断力、S
p
(l)は□
l
の当該箇所のコンクリート桁断面の中立軸に対する面積モーメント、I
c
(l)は当該箇所のコンクリート桁断面の慣性モーメントで、E
p
、E
c
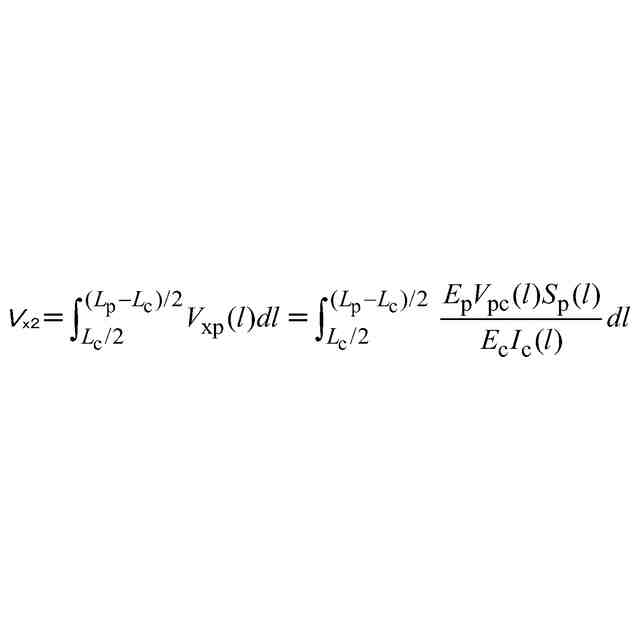
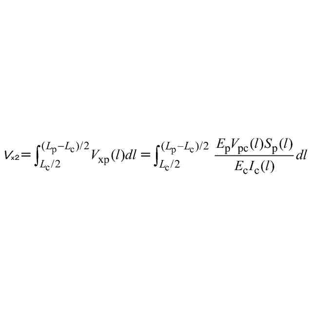
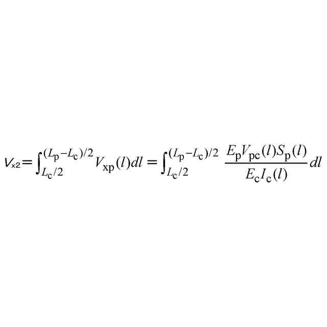
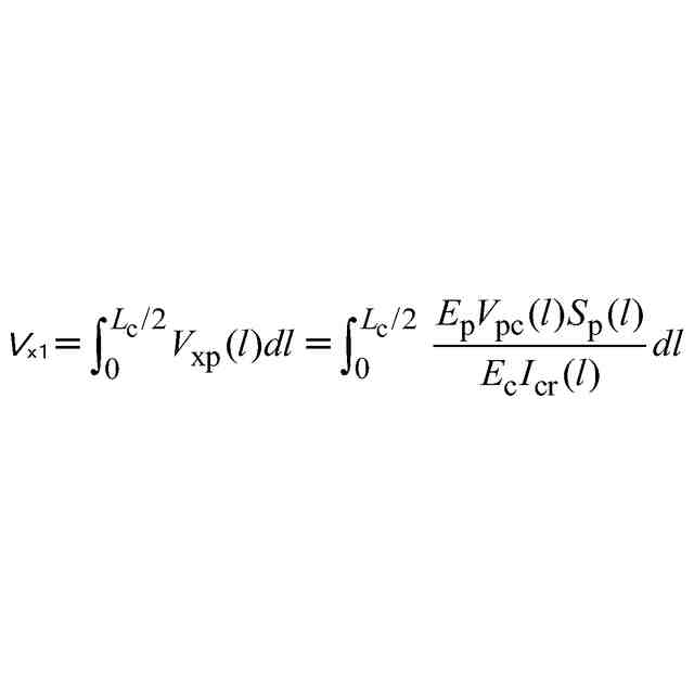
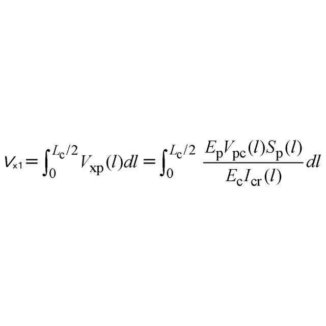
はそれぞれ前記鋼板の弾性係数、コンクリートの弾性係数であることを特徴とする、請求項1に記載の軌道桁の単純桁連続化構造系の設計方法。
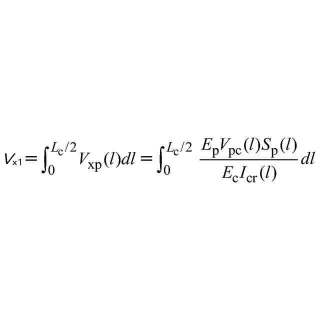
【請求項4】
前記
TIFF
2025172672000010.tif
23
166
となり、V
xp
(l)、V
pc
(l)、S
p
(l)、I
cr
(l)は、それぞれ支点断面から縦方向距離がl箇所の前記鋼板微小直方体要素□
l
の底面縦方向のせん断力、当該箇所の全断面の鉛直せん断力、□
l
の当該箇所のコンクリート桁断面の中立軸に対する面積モーメント、当該箇所のコンクリート桁のひび割れ発生断面の慣性モーメントで、E
p
、E
c
はそれぞれ前記鋼板の弾性係数、コンクリートの弾性係数であることを特徴とする、請求項1に記載の軌道桁の単純桁連続化構造系の設計方法。
【請求項5】
I
cr
(l)=0.8I
c
(l)となり、I
c
(l)は当該箇所のコンクリート桁のひび割れ発生のない断面の慣性モーメントであることを特徴とする、請求項4に記載の軌道桁の単純桁連続化構造系の設計方法。
【請求項6】
ステップS5の前記支点断面部の前記鋼板の軸方向支持力はN
pu
=min{f
pd
BH
p
,min{0.43(n
s
πd
s
2
/4)(E
c
f
cd
)
0.5
, 0.7(n
s
πd
s
2
/4)f
sd
}}となり、ここで、f
pd
、E
c
、f
cd
、f
sd
はそれぞれ前記鋼板の引張強度の設計用値、コンクリートの弾性係数、コンクリートの圧縮強度の設計用値、前記スタッドの引張強度の設計用値であることを特徴とする、請求項1~5のいずれか一項に記載の軌道桁の単純桁連続化構造系の設計方法。
【請求項7】
前記プレキャストプレストレストコンクリート部材の側面に歯状突起が設けられ、前記スタッドが橋桁幅方向に配置された前記鉄筋の隙間を通って前記鉄筋と縛って接続されることを特徴とする、請求項1~5のいずれか一項に記載の軌道桁の単純桁連続化構造系の設計方法。
発明の詳細な説明
【技術分野】
【0001】
本発明は、跨座式モノレール橋桁設計の技術分野に関し、特に、軌道桁の単純桁連続化構造系の設計方法に関する。
続きを表示(約 3,100 文字)
【背景技術】
【0002】
図1に示すように、跨座式モノレールは車両が軌道を跨いで走行する新型の鉄道交通システムであり、軌道桁は車両の垂直方向の支持、縦方向の誘導、横方向の安定化の役割も果たし、この種の鉄道交通システムは通常、中低量輸送の都市鉄道交通に応用される。跨座式モノレール橋桁の軌道桁55の上面を跨座式モノレール車両の走行輪52が走り、側面を案内輪53及び安定輪54が走るために用い、車体51の重力は主に走行輪を通じて軌道桁に伝わり、軌道桁は列車の荷重を支える橋桁と、列車が走行するレールを兼ねた構造であるため、水平方向及び垂直方向のプレキャスト、架設及び完成した橋桁の線形には1ミリ単位の精度が求められ、現場打設は軌道桁の精度を確保することが難しいため、「工場製作、現場組立、一部現場打設」という工法が一般的であった。
【0003】
現在、跨座式モノレールは、重慶、銀川、蕪湖等で建設されるか、数本の線路を運行し、橋桁スパン構造の構造系としては単純桁系、連続桁系、鋼連続ラーメン系などがあるが、各系には長い間解決されていないいくつかの問題が存在することで、跨座式モノレールの普及と応用が制限されてきた。
【0004】
上述の3つの系には、次のような利点と欠点がある。
【0005】
一、単純桁系の利点:(1)基礎の沈下、コンクリートの収縮とクリープ、温度などの作用により二次内力が発生せず、(2)現場架設時の線形制御の難易度が低く、線形の調整が比較的容易で、橋桁完成後各孔の桁の線形を調整でき、(3)現場での施工難易度が低く、施工工順が少なく、施工スピードも速いため、プレキャスト・組立化・建設に非常に適している。欠点:(1)完全性が悪く、剛性が低く、耐震性、耐横倒れ性、耐ねじれ性に劣り、(2)伸縮継目が多く、単価が高く、走行性が悪く、タイヤの摩耗が多く、(3)単純桁の桁端角度が大きいため、連続桁に比べてスパンが小さくなり、橋脚が密になるため、地下パイプラインの回避に役立たず、景観性は一般的であり、(4)伸縮継目及び支承が多く、養生、点検作業作量が大きい。
【0006】
二、連続桁系の利点:(1)完全性が良好で、剛性が高く、一定の耐震性及び耐ねじれ性を備え、(2)伸縮継目が少なく、走行性が良好で、タイヤの磨耗が少なく、(3)スパンが中程度で、橋脚の高さとスパンの協調性が良好であり、(4)伸縮継目が少なく、支承も少なく、養生や保守作業量が中程度である。欠点:(1)中間橋脚頂部に鉄筋とテンドンが密集した剛性ウェットジョイントを現場打設する必要があり、鉄筋接合作業量が大きく、プレキャスト・組立化・建設効率が低く、(2)跨座式モノレールの新型交通システムにおいて、軌道桁にかかる活荷重の割合は従来の鉄道橋より遥かに高いことで、負曲げモーメント領域でのひび割れ耐力の制御の難易度が大きく、通常の鉄筋コンクリート構造を用いるには、ひび割れ幅が仕様書の要求事項を満たすように非常に高い桁高さ又は鉄筋を非常に密に使用すること及び密配筋が必要になるが、この時、密配筋はコンクリートの密実性を確保することが困難であり、一般的に使用されるプレストレスの短いテンドン方法で負曲げモーメント領域の受ける応力を制御する場合、中間橋脚両側の軌道桁の上部に開溝して短いテンドンを定着する必要があるが、溝口部のコンクリートには橋桁の完成状態に圧縮応力が蓄積しないため、当該箇所、特に古いコンクリートと新しいコンクリートの間の界面の耐久性は保証できず、滅多にない頂縁から長いテンドンを通す方法で負曲げモーメント領域の受ける応力を制御する場合、長いテンドンを通すのは、各スパンのプレキャスト桁の架設後に連結桁全体を通し、テンドン通しの施工難易度及び作業量がいずれも大きく、且つ非負曲げモーメント領域に長いテンドンを通して配置することは、明らかに材料の無駄であり、プレキャスト桁の上縁にかかる過剰な圧縮応力の問題がさらに悪化し、長いテンドンを通して緊張する時、プレキャスト桁の垂直方向、特に横方向の線形への影響が大きく、緊張作業の要求も非常に高い。
【0007】
三、鋼連続ラーメン系の利点:(1)完全性が良好で、剛性が高く、強い耐震性及び耐ねじれ性を備え、(2)伸縮継目が少なく、走行性が良好で、モノレール車両のゴムタイヤの摩耗が少なく、(3)スパンが中程度で、橋脚の高さとスパンの協調性が良好であり、(4)伸縮継目が少なく、支承も少なく、養生や保守作業量が少なく、(5)縦方向の水平力は複数の橋脚で負担されるため、橋脚頂部の水平変位と下部杭基礎の数を減らすことができる。欠点:(1)構造系は基礎の不等沈下、コンクリートの収縮やクリープ、温度などに大きく影響され、(2)中間橋脚頂部に鉄筋とテンドンが密集した剛性ウェットジョイントを現場打設する必要があり、鉄筋接合作業量が大きく、プレキャスト・組立化・建設効率が低く、(3)軌道桁にかかる活荷重の割合が過大であることで、負曲げモーメント領域の引張応力を制御することが困難になり、負曲げモーメント領域にひび割れが発生した場合、保守の難易度が大きく、走行性に著しく影響を与え、(4)線形制御の要求が非常に高く、橋桁が完成する前に一括で調整を完了させる必要があり、橋桁完成後の線形も調整できない。
【0008】
上述の各系の不足を補うため、単純桁連続化構造系を用いることができ、この構造系は単純桁と連続桁の欠点を効果的に克服でき、両方の利点を組み合わせて構造をより合理的にさせる。単純桁の連続化工法は、単純桁のプレキャスト及び架設方法を利用し、施工に便利で、構造寸法の標準化が容易であり、大規模なプレキャスト製造にサポートを提供し、施工効率を大幅に向上させることができる。ただし、従来の軌道桁の単純桁連続化構造系は、従来のコンクリート桁を用いる場合、橋脚頂部で負曲げモーメント領域のテンドンを現場で緊張する必要があるため、軌道桁の完成した橋桁の線形を制御することが困難になり、従来の鋼コンクリート複合梁を用いる場合、負曲げモーメント領域での現場打設コンクリート床版の引張、鋼桁下縁の圧縮等の不利な要因が存在し、モノレール橋桁の活荷重の割合は非常に大きいため、複合梁のコンクリート床版のひび割れ幅を抑制することが困難である。
【0009】
したがって、負曲げモーメント領域で大きな引張力に抵抗でき、従来技術における負曲げモーメント制御の問題を持たない、軌道桁の単純桁連続化構造系が必要とされ、対応する設計方法の提案が急務となっている。
【0010】
本発明は、上記事情に鑑みてなされたものであって、現行の軌道桁の単純桁連続化構造系は大きな負曲げモーメント領域の引張力に抵抗することが困難で、負曲げモーメントのテンドン緊張問題を解決し難いという問題を解決する、軌道桁の単純桁連続化構造系の設計方法を提供する。且つ該軌道桁の単純桁連続化の明確な設計方法が現在存在せず、その曲げ耐力及びひび割れ幅の計算には解析的式が欠けており、精細化された非線形ソリッド有限要素モデルに基づいてのみ計算し、該構造設計・計算が非常に困難になり、普及・応用することができない。
【発明の概要】
【発明が解決しようとする課題】
(【0011】以降は省略されています)
この特許をJ-PlatPat(特許庁公式サイト)で参照する
関連特許
株式会社熊谷組
床版
1か月前
株式会社熊谷組
床版
1か月前
株式会社セイトク
防雪パネル
1か月前
コスモテック株式会社
表示装置
19日前
株式会社ササキコーポレーション
作業機
1か月前
株式会社 林物産発明研究所
道路安全体
6日前
株式会社NIPPO
距離補正装置
1か月前
株式会社NIPPO
切削用制御装置
1か月前
戸田建設株式会社
コンクリート構造
1か月前
三信工業株式会社
床版架設装置
1か月前
桑名金属工業株式会社
融雪マットおよび融雪方法
1か月前
東亜グラウト工業株式会社
防護柵の支柱構造
1か月前
戸田建設株式会社
鋼製ブラケットの取付装置
1か月前
戸田建設株式会社
鋼製ブラケットの取付装置
1か月前
株式会社丸治コンクリート工業所
防護柵
今日
株式会社川金コアテック
橋梁用鋼弾塑性ダンパー
14日前
西尾レントオール株式会社
コーンベット型電源装置
1か月前
日鉄神鋼建材株式会社
補強金具、及び支柱取付構造
1か月前
鹿島建設株式会社
床版架設方法
1か月前
日鉄建材株式会社
吊り材で支持された足場用床パネル
1か月前
日立建機株式会社
転圧機械
1か月前
オリエンタル白石株式会社
補強鋼板及び排土方法
1か月前
株式会社日本コンポジット工業
壁用構造体
1か月前
ダンレックス株式会社
表示装置
7日前
宮地エンジニアリング株式会社
ワイヤブリッジの設置方法
1か月前
鹿島建設株式会社
橋、および橋の製造方法
1か月前
株式会社プロテックエンジニアリング
衝撃吸収柵
1か月前
清水建設株式会社
床版架設装置および床版架設方法
6日前
愛知製鋼株式会社
磁気マーカの施工方法および施工用の補助工具
20日前
オリエンタル白石株式会社
馬蹄形ジベルの合成床版撤去工法
1か月前
PUMP MAN株式会社
路面成型補助部材、及び、路面成型方法
19日前
株式会社NIPPO
スコップ加熱器
1か月前
株式会社NIPPO
土壌改質材及びそれを含む土壌
1か月前
日本製鉄株式会社
仮設橋による施工方法
6日前
日本製鉄株式会社
橋脚構造
1か月前
株式会社ミライト・ワン
ボラード
1か月前
続きを見る
他の特許を見る