TOP
|
特許
|
意匠
|
商標
特許ウォッチ
Twitter
他の特許を見る
公開番号
2025167721
公報種別
公開特許公報(A)
公開日
2025-11-07
出願番号
2024072568
出願日
2024-04-26
発明の名称
インクジェット記録物の製造方法
出願人
キヤノン株式会社
代理人
個人
,
個人
,
個人
主分類
B41M
5/00 20060101AFI20251030BHJP(印刷;線画機;タイプライター;スタンプ)
要約
【課題】繰り返し画像を記録した後に切り刃でカットした場合であっても、紙粉の発生が抑制され、高品位な記録物を製造することが可能なインクジェット記録物の製造方法を提供する。
【解決手段】インクジェット方式で水性インクを記録媒体に付与して画像を記録する工程を有するインクジェット記録物の製造方法である。さらに、帯電抑制剤を含む液を記録媒体に付与した後、帯電抑制剤を含む液が付与された領域を切刃でカットする加工工程を有する。
【選択図】なし
特許請求の範囲
【請求項1】
インクジェット方式で水性インクを記録媒体に付与して画像を記録する工程を有するインクジェット記録物の製造方法であって、
さらに、帯電抑制剤を含む液を前記記録媒体に付与した後、前記帯電抑制剤を含む液が付与された領域を切刃でカットする加工工程を有することを特徴とするインクジェット記録物の製造方法。
続きを表示(約 530 文字)
【請求項2】
前記帯電抑制剤を含む液が、さらに、前記水性インクと反応する反応剤を含む請求項1に記載のインクジェット記録物の製造方法。
【請求項3】
前記加工工程が、前記帯電抑制剤を含む液が付与された領域のみを前記切刃でカットする工程である請求項1に記載のインクジェット記録物の製造方法。
【請求項4】
前記記録媒体に付与する前記帯電抑制剤の付与量が、50mg/m
2
以上である請求項1に記載のインクジェット記録物の製造方法。
【請求項5】
前記帯電抑制剤が、カチオン性樹脂である請求項1に記載のインクジェット記録物の製造方法。
【請求項6】
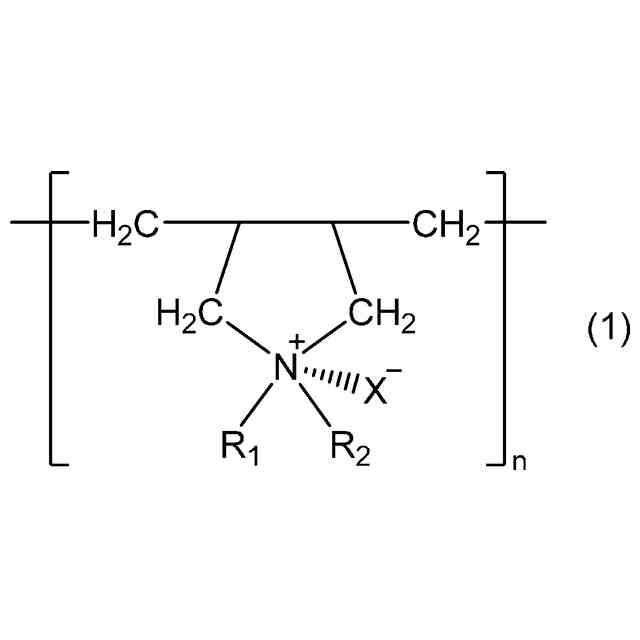
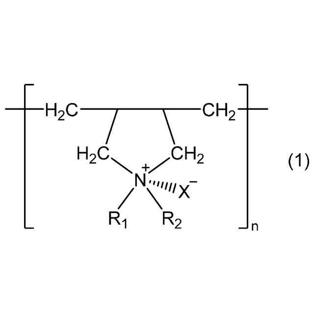
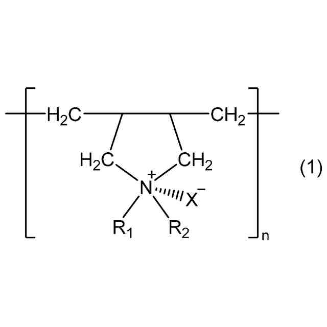
前記帯電抑制剤が、下記一般式(1)で表される繰り返し構造単位を有する重合体である請求項1に記載のインクジェット記録物の製造方法。
TIFF
2025167721000009.tif
42
170
(前記一般式(1)中、R
1
及びR
2
は、それぞれ独立にアルキル基を表し、X
-
は、第4級アンモニウムカチオンとの対アニオンを表す)
発明の詳細な説明
【技術分野】
【0001】
本発明は、インクジェット記録物の製造方法に関する。
続きを表示(約 1,400 文字)
【背景技術】
【0002】
インクジェット記録装置は、記録ヘッドの吐出口から微小なインク滴を吐出させて記録媒体に画像を記録する装置である。近年、インクジェット記録装置に対しては、コート層を有するアート紙などの水性インクの吸収性が低い記録媒体や、プラスチックフィルムなどの水性インクをほとんど吸収しない非吸収性の記録媒体にも画像を記録可能であることが求められている。また、記録媒体に画像を記録して得た記録物を、目的や使用方法に応じて、切刃でカットや切り抜きなどの加工を施して最終製品とする場合がある。
【0003】
例えば、画像データに基づいて画像を印刷するとともに、対象画像の輪郭線から所定の間隔をもって切り取るカット加工機能付きの印刷システムが提案されている(特許文献1)。
【先行技術文献】
【特許文献】
【0004】
特開2005-14594号公報
【発明の概要】
【発明が解決しようとする課題】
【0005】
本発明者らは、特許文献1で提案された印刷システムについて検討した。その結果、繰り返し画像を記録した後に記録物を切刃でカットすると、切断面から発生したほこり(紙粉)が飛び散って記録物に付着し、記録物の品位が低下しやすくなる場合があることが判明した。
【0006】
したがって、本発明の目的は、繰り返し画像を記録した後に切り刃でカットした場合であっても、紙粉の発生が抑制され、高品位な記録物を製造することが可能なインクジェット記録物の製造方法を提供することにある。
【課題を解決するための手段】
【0007】
すなわち、本発明によれば、インクジェット方式で水性インクを記録媒体に付与して画像を記録する工程を有するインクジェット記録物の製造方法であって、さらに、帯電抑制剤を含む液を前記記録媒体に付与した後、前記帯電抑制剤を含む液が付与された領域を切刃でカットする加工工程を有することを特徴とするインクジェット記録物の製造方法が提供される。
【発明の効果】
【0008】
本発明によれば、繰り返し画像を記録した後に切り刃でカットした場合であっても、紙粉の発生が抑制され、高品位な記録物を製造することが可能なインクジェット記録物の製造方法を提供することができる。
【図面の簡単な説明】
【0009】
インクジェット記録装置の一例を示す模式図である。
液体付与装置の一例を示す斜視図である。
吐出素子基板の一例を示す断面斜視図である。
液体の供給系の一例を示す模式図である。
【発明を実施するための形態】
【0010】
以下に、好ましい実施の形態を挙げて、さらに本発明を詳細に説明する。本発明においては、化合物が塩である場合は、インク中では塩はイオンに解離して存在しているが、便宜上、「塩を含有する」と表現する。また、インクジェット用の水性のインク及び反応液のことを、単に「インク」及び「反応液」と記載することがある。物性値は、特に断りのない限り、常温(25℃)における値である。「(メタ)アクリル酸」、「(メタ)アクリレート」と記載した場合は、それぞれ「アクリル酸、メタクリル酸」、「アクリレート、メタクリレート」を意味する。
(【0011】以降は省略されています)
この特許をJ-PlatPat(特許庁公式サイト)で参照する
関連特許
キヤノン株式会社
トナー
1か月前
キヤノン株式会社
撮像装置
3日前
キヤノン株式会社
定着装置
24日前
キヤノン株式会社
撮像装置
18日前
キヤノン株式会社
撮像装置
3日前
キヤノン株式会社
撮像装置
3日前
キヤノン株式会社
表示装置
3日前
キヤノン株式会社
雲台装置
1か月前
キヤノン株式会社
二次電池
5日前
キヤノン株式会社
撮像装置
12日前
キヤノン株式会社
撮像装置
3日前
キヤノン株式会社
撮像装置
26日前
キヤノン株式会社
定着装置
18日前
キヤノン株式会社
記録装置
4日前
キヤノン株式会社
定着装置
18日前
キヤノン株式会社
定着装置
24日前
キヤノン株式会社
撮像装置
18日前
キヤノン株式会社
記録装置
24日前
キヤノン株式会社
電子機器
26日前
キヤノン株式会社
撮像装置
3日前
キヤノン株式会社
表示装置
10日前
キヤノン株式会社
表示装置
10日前
キヤノン株式会社
定着装置
24日前
キヤノン株式会社
電子機器
1か月前
キヤノン株式会社
撮像装置
10日前
キヤノン株式会社
表示装置
10日前
キヤノン株式会社
発光装置
10日前
キヤノン株式会社
撮像装置
1か月前
キヤノン株式会社
電子機器
3日前
キヤノン株式会社
記録装置
4日前
キヤノン株式会社
撮像装置
10日前
キヤノン株式会社
露光ヘッド
24日前
キヤノン株式会社
インク容器
4日前
キヤノン株式会社
画像形成装置
18日前
キヤノン株式会社
情報処理装置
18日前
キヤノン株式会社
情報処理装置
18日前
続きを見る
他の特許を見る