TOP
|
特許
|
意匠
|
商標
特許ウォッチ
Twitter
他の特許を見る
公開番号
2025167538
公報種別
公開特許公報(A)
公開日
2025-11-07
出願番号
2024072284
出願日
2024-04-26
発明の名称
医療用診療装置
出願人
株式会社モリタ製作所
代理人
弁理士法人深見特許事務所
主分類
G02B
7/04 20210101AFI20251030BHJP(光学)
要約
【課題】消費電力を低減することができる医療用診療装置を提供する。
【解決手段】本開示に係る医療用診療装置は、三次元形状をスキャンする医療用診療装置である。医療用診療装置は、筐体と、レンズと、第1駆動部と、カウンタウェイトと、第2駆動部と、制御部とを備える。第1駆動部は、第1磁気回路によって第1直線運動方向に力を与え、レンズを第1直線運動方向に直線運動させる。カウンタウェイトは、レンズの質量のN倍(N>1)の質量を有する。第2駆動部は、第2磁気回路によって、第1直線運動方向と同じ直線上にある第2直線運動方向に力を与え、カウンタウェイトを第2直線運動方向に直線運動させる。制御部は、第1駆動部および第2駆動部の各々の駆動を制御する。制御部は、レンズの駆動振幅の(1/N)倍の駆動振幅で、カウンタウェイトをレンズに対して相対方向に運動させる。
【選択図】図5
特許請求の範囲
【請求項1】
三次元形状をスキャンする医療用診療装置であって、
筐体と、
レンズと、
第1磁気回路によって第1直線運動方向に力を与え、前記レンズを前記第1直線運動方向に直線運動させる第1駆動部と、
前記レンズの質量のN倍(N>1)の質量を有するカウンタウェイトと、
第2磁気回路によって、前記第1直線運動方向と同じ直線上にある第2直線運動方向に力を与え、前記カウンタウェイトを前記第2直線運動方向に直線運動させる第2駆動部と、
前記第1駆動部および前記第2駆動部の各々の駆動を制御する制御部とを備え、
前記制御部は、
前記レンズの駆動振幅の(1/N)倍の駆動振幅で、前記カウンタウェイトを前記レンズに対して相対方向に運動させる、医療用診療装置。
続きを表示(約 680 文字)
【請求項2】
前記第1駆動部および前記第2駆動部の少なくともいずれか一方は、直線運動方向に弾性力を与える弾性部材を含む、請求項1に記載の医療用診療装置。
【請求項3】
前記第1駆動部は、前記第1直線運動方向の前記レンズの前後に前記弾性部材を設け、
前記第2駆動部は、前記第2直線運動方向の前記カウンタウェイトの前後に前記弾性部材を設けた、請求項2に記載の医療用診療装置。
【請求項4】
前記弾性部材は、コイルばねであり、
前記コイルばねの内径が前記レンズの光路である、請求項2または請求項3に記載の医療用診療装置。
【請求項5】
前記制御部は、前記第1駆動部および前記第2駆動部を同じ駆動周波数で駆動する、請求項1~請求項3のいずれか1項に記載の医療用診療装置。
【請求項6】
前記第1駆動部の共振周波数は、前記第2駆動部の共振周波数より高い、請求項1~請求項3のいずれか1項に記載の医療用診療装置。
【請求項7】
前記カウンタウェイトの駆動振幅は、前記レンズの駆動振幅の(1/20)倍以上、1倍未満である、請求項1~請求項3のいずれか1項に記載の医療用診療装置。
【請求項8】
前記第1磁気回路および前記第2磁気回路は、磁石、コイル、およびヨークを含む、請求項1~請求項3のいずれか1項に記載の医療用診療装置。
【請求項9】
医療用診療装置は、手持ち式である、請求項1~請求項3のいずれか1項に記載の医療用診療装置。
発明の詳細な説明
【技術分野】
【0001】
本開示は、医療用診療装置に関する。
続きを表示(約 1,900 文字)
【背景技術】
【0002】
口腔内などを走査して三次元形状を取得する医療用診療装置が知られている。当該装置では、口腔内などを走査するために焦点レンズを移動させる必要がある。しかし、質量を有する焦点レンズを移動させることで装置に振動が生じる。そこで、カウンタウェイトを焦点要素の移動と反対に並進させることによって、焦点レンズの移動を実質的に平衡させて装置の振動を低減させる技術が知られている(たとえば、特許文献1:特開2015-83978号公報)。
【先行技術文献】
【特許文献】
【0003】
特開2015-83978号公報
【発明の概要】
【発明が解決しようとする課題】
【0004】
特開2015-83978号公報(特許文献1)には、焦点レンズと、当該焦点レンズと同質量のカウンタウェイトとを並進ステージを介して機械的に接続するとともに、モータを含む機械的構成によって焦点レンズとカウンタウェイトとを並進ステージ上で直線運動させるスキャナが開示されている。しかし、焦点レンズだけでなく、同質量のカウンタウェイトを同じ距離駆動させる必要があるため消費電力が高くなる問題があった。
【0005】
本開示は、上記問題点を解決するためになされたものであり、消費電力を低減することができる医療用診療装置を提供することを目的とする。
【課題を解決するための手段】
【0006】
本開示に係る医療用診療装置は、三次元形状をスキャンする医療用診療装置である。医療用診療装置は、筐体と、レンズと、第1駆動部と、カウンタウェイトと、第2駆動部と、制御部とを備える。第1駆動部は、第1磁気回路によって第1直線運動方向に力を与え、レンズを第1直線運動方向に直線運動させる。カウンタウェイトは、レンズの質量のN倍(N>1)の質量を有する。第2駆動部は、第2磁気回路によって、第1直線運動方向と同じ直線上にある第2直線運動方向に力を与え、カウンタウェイトを第2直線運動方向に直線運動させる。制御部は、第1駆動部および第2駆動部の各々の駆動を制御する。制御部は、レンズの駆動振幅の(1/N)倍の駆動振幅で、カウンタウェイトをレンズに対して相対方向に運動させる。
【発明の効果】
【0007】
本開示に係る医療用診療装置は、レンズの質量のN倍(N>1)の質量を有するカウンタウェイトを、第2磁気回路によりレンズの駆動振幅の(1/N)倍の駆動振幅で駆動するので、消費電力を低減することができる。
【図面の簡単な説明】
【0008】
実施の形態に係る三次元スキャナの構成を示す模式図である。
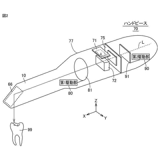
実施の形態に係るハンドピースの構成を示す模式図である。
実施の形態に係る三次元スキャナにおいてレンズとカウンタウェイトとの位置関係を説明するための図である。
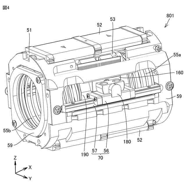
実施の形態に係るリニアモータの斜視図である。
実施の形態に係るレンズおよびカウンタウェイトの駆動を説明するための図である。
実施の形態に係る三次元スキャナの設計パラメータを説明するための図である。
【発明を実施するための形態】
【0009】
実施の形態に係る医療用診療装置ついて、図面を参照しながら説明する。実施の形態では、医療用診療装置の1つの例示的形態として、歯科診療に用いる三次元スキャナについて説明する。三次元スキャナは、口腔内の歯の三次元形状を取得するための口腔内スキャナである。実施の形態に係る三次元スキャナは、口腔内スキャナに限定されるものではなく、同様の構成を有する他の三次元スキャナにも適用可能であり、たとえば、口腔内以外に人の耳の内部を撮像することで外耳内の三次元形状を取得するためスキャナにも適用可能である。なお、実施の形態に係る三次元スキャナを使用する分野は、歯科に限らず、眼科、耳鼻咽喉科、放射線科、および獣医科など、あらゆる医科の分野に使用可能である。また、本開示において診療の用語には、診断および治療の意味も含まれる。
【0010】
[三次元スキャナの構成]
図1は、実施の形態に係る三次元スキャナ100の構成を示す模式図である。図1に示すように、三次元スキャナ100は、ハンドピース70と、制御部40と、表示部50と、電源45とを備える。ハンドピース70は、手持ち式の部材であり、プローブ10と、接続部20と、光学計測部30とを含む。制御部40は、光学計測部30の内部に含まれている。
(【0011】以降は省略されています)
この特許をJ-PlatPat(特許庁公式サイト)で参照する
関連特許
株式会社モリタ製作所
医療用診療装置
7日前
株式会社モリタ製作所
レーザ装置、およびレーザ治療装置
28日前
株式会社モリタ製作所
レーザ装置、およびレーザ治療装置
28日前
株式会社モリタ製作所
データ処理装置、データ処理方法、およびデータ処理プログラム
1か月前
個人
立体像表示装置
1か月前
住友化学株式会社
偏光板
28日前
カンタツ株式会社
光学系
23日前
株式会社シグマ
結像光学系
7日前
株式会社シグマ
結像光学系
17日前
住友化学株式会社
垂直偏光板
28日前
東レ株式会社
貼合体の製造方法
1か月前
東レ株式会社
赤外線遮蔽構成体
1か月前
日本精機株式会社
ミラーユニット
16日前
古河電気工業株式会社
融着機
23日前
日本電気株式会社
光モジュール
17日前
日東電工株式会社
導光部材
7日前
個人
多方向視差効果のための微細穴加工
18日前
株式会社コシナ
投射ズームレンズ
今日
日本電気株式会社
光集積回路素子
1か月前
京セラ株式会社
光学系
15日前
日東電工株式会社
光学積層体
9日前
個人
眼鏡装着位置変更具および眼鏡
29日前
三菱電機株式会社
レンズモジュール
28日前
住友化学株式会社
偏光板
1か月前
住友化学株式会社
積層体
1か月前
日本精機株式会社
ヘッドアップディスプレイ
10日前
日東電工株式会社
調光フィルム
1か月前
AGC株式会社
インフィニティミラー
24日前
住友化学株式会社
偏光板
1か月前
日本精機株式会社
ヘッドアップディスプレイ
7日前
住友化学株式会社
偏光積層体
1か月前
日本精機株式会社
ヘッドアップディスプレイ装置
7日前
新光電気工業株式会社
光導波路部品
28日前
新光電気工業株式会社
光導波路部品
28日前
住友化学株式会社
光学積層体
1か月前
日本精機株式会社
ヘッドアップディスプレイ装置
8日前
続きを見る
他の特許を見る