TOP
|
特許
|
意匠
|
商標
特許ウォッチ
Twitter
他の特許を見る
10個以上の画像は省略されています。
公開番号
2025158295
公報種別
公開特許公報(A)
公開日
2025-10-17
出願番号
2024060693
出願日
2024-04-04
発明の名称
エネルギマネジメントシステム、エネルギマネジメント方法、および、コンピュータプログラム
出願人
株式会社豊田中央研究所
代理人
個人
,
個人
主分類
H02J
3/00 20060101AFI20251009BHJP(電力の発電,変換,配電)
要約
【課題】 エネルギマネジメントシステムにおいて、配電線における電圧変動を抑制する技術を提供する。
【解決手段】 エネルギマネジメントシステムは、電力消費機器への電力供給を制御し、電力消費機器の電力消費スケジュールを作成する制御部と、制御部が作成する電力消費スケジュールを出力する出力部と、を備え、制御部は、電気自動車が配電線に接続されることで電気自動車が備える電力調整器が機能する時間に関する調整情報と、電力消費機器の電力消費に関する機器情報と、を取得する取得部と、取得部が取得する調整情報と機器情報とを用いて、電力消費機器に電力が供給される時間が、電力調整器が機能する時間に含まれる新しい電力消費スケジュールを作成する作成部と、を有し、出力部は、作成部が作成する新しい電力消費スケジュールを出力する。
【選択図】 図1
特許請求の範囲
【請求項1】
エネルギマネジメントシステムであって、
配電線を介して、電気自動車と、電力を消費する電力消費機器と、に接続され、
前記電気自動車は、前記配電線における無効電力を調整する機能を有する電力調整器と前記電力調整器を介して前記配電線に接続される蓄電池とを備え、前記配電線に接続されている状態と接続されていない状態とに切り替え可能であり、
前記マネジメントシステムは、
前記電力消費機器への電力供給を制御するとともに、前記電力消費機器の電力消費スケジュールを作成する制御部と、
前記制御部が作成する電力消費スケジュールを出力する出力部と、を備え、
前記制御部は、
前記電気自動車が前記配電線に接続されることで前記電力調整器が機能する時間に関する調整情報と、前記電力消費機器の電力消費に関する機器情報と、を取得する取得部と、
前記取得部が取得する前記調整情報と前記機器情報とを用いて、前記電力消費機器に電力が供給される時間が、前記電力調整器が機能する時間に含まれる新しい電力消費スケジュールを作成する作成部と、を有し、
前記出力部は、前記作成部が作成する前記新しい電力消費スケジュールを出力する、
エネルギマネジメントシステム。
続きを表示(約 2,400 文字)
【請求項2】
請求項1に記載のエネルギマネジメントシステムであって、
前記配電線を介して、太陽光を受光することで発電する太陽光発電装置に接続され、
前記取得部は、前記太陽光発電装置の発電量の予測値に関する発電量情報を取得し、
前記作成部は、前記発電量情報を用いて、前記電力消費機器に電力が供給される時間のうち、前記電力調整器が機能していない時間に含まれる時間が、前記電力調整器が機能する時間であって、かつ、前記太陽光発電装置が発電している時間に含まれるように、前記新しい電力消費スケジュールを作成する、
エネルギマネジメントシステム。
【請求項3】
請求項1または請求項2に記載のエネルギマネジメントシステムであって、
前記取得部は、前記電力調整器が機能する時間を変更可能であるか否かに関する変更情報を取得し、
前記作成部は、前記変更情報を用いて、前記電力調整器が機能する時間を変更した場合における、前記新しい電力消費スケジュールの変更案を作成し、
前記出力部は、前記作成部が作成する前記新しい電力消費スケジュールの変更案を出力する、
エネルギマネジメントシステム。
【請求項4】
請求項3に記載のエネルギマネジメントシステムであって、
前記出力部は、前記エネルギマネジメントシステムの使用者が保有する通信端末であり、
前記エネルギマネジメントシステムは、さらに、
前記新しい電力消費スケジュールの変更案に関する情報を前記通信端末に送信する送信部と、
前記通信端末が送信する信号を受信する受信部と、を備え、
前記通信端末は、
前記送信部が前記新しい電力消費スケジュールの変更案を送信した場合、前記電力調整器が機能する時間の変更の可否確認を前記使用者に対して通知し、
前記電力調整器が機能する時間の変更は可能と示された承認情報を取得すると、前記承認情報を前記信号として送信し、
前記作成部は、前記受信部が前記承認情報を受信すると、前記新しい電力消費スケジュールの変更案を前記新しい電力消費スケジュールとし、
前記通信端末は、前記新しい電力消費スケジュールを出力する、
エネルギマネジメントシステム。
【請求項5】
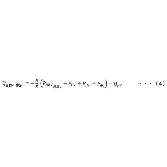
請求項1または請求項2に記載のエネルギマネジメントシステムは、さらに、
前記配電線のインピーダンスを記憶する記憶部を備え、
前記作成部は、前記記憶部に記憶されている前記インピーダンスを用いて、式(1)を満たす無効電力Q
BEV
を算出し、
前記電気自動車は、前記作成部が算出する無効電力Q
BEV
を出力する、
エネルギマネジメントシステム。
TIFF
2025158295000018.tif
15
170
ただし、
P
BEV
は、前記電気自動車の充電によって消費する有効電力であり、
P
not-BEV
は、前記電力消費機器が消費する有効電力であり、
Q
not-BEV
は、前記電力消費機器が消費する無効電力であり、
Rは、前記配電線の抵抗であり、
Xは、前記配電線のリアクタンスである。
【請求項6】
配電線を介して、電気自動車と、電力を消費する電力消費機器と、に接続されるエネルギマネジメントシステムを用いて、前記電力消費機器への電力供給を制御するエネルギマネジメント方法であって、
前記電気自動車は、前記配電線における無効電力を調整する機能を有する電力調整器と前記電力調整器を介して前記配電線に接続される蓄電池とを備え、前記配電線に接続されている状態と接続されていない状態とに切り替え可能であり、
前記エネルギマネジメント方法は、
前記電気自動車が前記配電線に接続されることで前記電力調整器が機能する時間に関する調整情報と、前記電力消費機器の電力消費に関する機器情報と、を取得する取得工程と、
前記取得工程において取得される前記調整情報と前記機器情報とを用いて、前記電力消費機器に電力が供給される時間が、前記電力調整器が機能する時間に含まれる新しい電力消費スケジュールを作成する作成工程と、
前記作成工程において作成される前記新しい電力消費スケジュールを出力する出力工程と、を備える、
エネルギマネジメント方法。
【請求項7】
配電線を介して、電気自動車と、電力を消費する電力消費機器と、に接続されるエネルギマネジメントシステムにおいて、前記電力消費機器への電力供給の制御をコンピュータに実行させるコンピュータプログラムであって、
前記電気自動車は、前記配電線における無効電力を調整する機能を有する電力調整器と前記電力調整器を介して前記配電線に接続される蓄電池とを備え、前記配電線に接続されている状態と接続されていない状態とに切り替え可能であり、
前記コンピュータプログラムは、
前記電気自動車が前記配電線に接続されることで前記電力調整器が機能する時間に関する調整情報と、前記電力消費機器の電力消費に関する機器情報と、を取得する取得機能と、
前記取得機能によって取得される前記調整情報と前記機器情報とを用いて、前記電力消費機器に電力が供給される時間が、前記電力調整器が機能する時間に含まれる新しい電力消費スケジュールを作成する作成機能と、
前記作成機能によって作成される前記新しい電力消費スケジュールを出力する出力機能と、を前記コンピュータに実行させる、
コンピュータプログラム。
発明の詳細な説明
【技術分野】
【0001】
本発明は、エネルギマネジメントシステム、エネルギマネジメント方法、および、コンピュータプログラムに関する。
続きを表示(約 2,000 文字)
【背景技術】
【0002】
従来から、住宅における電力消費量を制御するエネルギマネジメントシステムが知られている(例えば、特許文献1)。
【先行技術文献】
【特許文献】
【0003】
特開2006-67760号公報
【発明の概要】
【発明が解決しようとする課題】
【0004】
しかしながら、特許文献1のような先行技術によっても、エネルギマネジメントシステムにおいて、配電線における電圧変動を抑制する技術については、なお、改善の余地があった。
【0005】
本発明は、上述した課題を解決するためになされたものであり、エネルギマネジメントシステムにおいて、配電線における電圧変動を抑制する技術を提供することを目的とする。
【課題を解決するための手段】
【0006】
本発明は、上述の課題の少なくとも一部を解決するためになされたものであり、以下の形態として実現することが可能である。
【0007】
(1)本発明の一形態によれば、配電線を介して、電気自動車と、電力を消費する電力消費機器と、に接続されるエネルギマネジメントシステムが提供される。エネルギマネジメントシステムに接続される電気自動車は、前記配電線における無効電力を調整する機能を有する電力調整器と前記電力調整器を介して前記配電線に接続される蓄電池とを備え、前記配電線に接続されている状態と接続されていない状態とに切り替え可能である。このエネルギマネジメントシステムは、前記電力消費機器への電力供給を制御するとともに、前記電力消費機器の電力消費スケジュールを作成する制御部と、前記制御部が作成する電力消費スケジュールを出力する出力部と、を備え、前記制御部は、前記電気自動車が前記配電線に接続されることで前記電力調整器が機能する時間に関する調整情報と、前記電力消費機器の電力消費に関する機器情報と、を取得する取得部と、前記取得部が取得する前記調整情報と前記機器情報とを用いて、前記電力消費機器に電力が供給される時間が、前記電力調整器が機能する時間に含まれる新しい電力消費スケジュールを作成する作成部と、を有し、前記出力部は、前記作成部が作成する新しい電力消費スケジュールを出力する。
【0008】
この構成によれば、制御部は、電気自動車が配電線に接続されることで配電線における無効電力を調整する電力調整器が機能する時間において、電力消費機器が電力を消費するように、電力消費スケジュールを作成する。これにより、電力消費機器の電力消費によって変化する、配電線における有効電力と無効電力とのバランスが電力調整器の機能によって維持される。したがって、配電線における電圧変動を抑制することができる。
【0009】
(2)上記形態のエネルギマネジメントシステムにおいて、前記配電線を介して、太陽光を受光することで発電する太陽光発電装置に接続され、前記取得部は、前記太陽光発電装置の発電量の予測値に関する発電量情報を取得し、前記作成部は、前記発電量情報を用いて、前記電力消費機器に電力が供給される時間のうち、前記電力調整器が機能していない時間に含まれる時間が、前記電力調整器が機能する時間であって、かつ、前記太陽光発電装置が発電している時間に含まれるように、前記新しい電力消費スケジュールを作成してもよい。この構成によれば、電力消費機器に電力が供給される時間が、電力調整器が機能する時間であって、かつ、太陽光発電装置が発電している時間に含まれるため、力率一定で作動する場合が多い太陽光発電装置によって、電力消費機器が消費する電力を賄うことができる。これにより、配電線における電圧変動を抑制しつつ、太陽光発電装置が発電する電力を有効に利用することができる。
【0010】
(3)上記形態のエネルギマネジメントシステムにおいて、前記取得部は、前記電力調整器が機能する時間を変更可能であるか否かに関する変更情報を取得し、前記作成部は、前記変更情報を用いて、前記電力調整器が機能する時間を変更した場合における、前記新しい電力消費スケジュールの変更案を作成し、前記出力部は、前記作成部が作成する前記新しい電力消費スケジュールの変更案を出力してもよい。この構成によれば、電力調整器が機能する時間を変更可能である場合、作成部は、変更可能な時間に基づいて、新しい電力消費スケジュールの変更案を作成する。これにより、電力調整器が機能する時間に、電力消費機器に電力が供給される時間がさらに含まれるように、新しい電力消費スケジュールの変更案を作成することができる。したがって、配電線における電圧変動をさらに抑制することができる。
(【0011】以降は省略されています)
特許ウォッチbot のツイートを見る
この特許をJ-PlatPat(特許庁公式サイト)で参照する
関連特許
個人
単極モータ
21日前
キヤノン電子株式会社
モータ
5日前
株式会社アイシン
ロータ
25日前
株式会社アイシン
ロータ
21日前
日本精機株式会社
サージ保護回路
28日前
日星電気株式会社
ケーブル組立体
13日前
コーセル株式会社
電源装置
6日前
トヨタ自動車株式会社
固定子
26日前
株式会社デンソー
回転機
19日前
トヨタ自動車株式会社
製造装置
26日前
個人
連続ガウス加速器形磁力増幅装置
28日前
株式会社ダイヘン
充電装置
25日前
株式会社アイシン
ステータ
25日前
株式会社ダイヘン
充電装置
25日前
株式会社ダイヘン
充電装置
25日前
株式会社ダイヘン
充電装置
25日前
株式会社アイシン
ステータ
25日前
株式会社アイシン
ステータ
25日前
株式会社アイシン
ステータ
25日前
株式会社ミツバ
ブラシレスモータ
27日前
カヤバ株式会社
筒型リニアモータ
27日前
東京瓦斯株式会社
通信装置
27日前
個人
太陽エネルギー収集システム
26日前
株式会社kaisei
発電システム
21日前
トヨタ自動車株式会社
被膜形成装置
26日前
個人
二次電池繰返パルス放電器用印刷基板
11日前
東京瓦斯株式会社
給電システム
27日前
株式会社ミツバ
回転電機
18日前
ASTI株式会社
電力変換装置
26日前
株式会社デンソー
電力変換装置
12日前
株式会社デンソー
電力変換装置
20日前
株式会社ミツバ
回転電機
25日前
シャープ株式会社
表示装置
26日前
キヤノン株式会社
無線電力伝送システム
26日前
株式会社アイシン
駆動装置
26日前
株式会社アイシン
保護装置
26日前
続きを見る
他の特許を見る