TOP
|
特許
|
意匠
|
商標
特許ウォッチ
Twitter
他の特許を見る
10個以上の画像は省略されています。
公開番号
2025141608
公報種別
公開特許公報(A)
公開日
2025-09-29
出願番号
2024041622
出願日
2024-03-15
発明の名称
量子回路装置と制御方法
出願人
日本電気株式会社
代理人
個人
,
個人
主分類
H10N
60/10 20230101AFI20250919BHJP()
要約
【課題】複数の量子ビット間の多体相互作用を発現し得る結合器に関して、多体相互作用の強さを設定自在とした量子回路装置の提供。
【解決手段】結合器を介して多体相互作用で結合する少なくとも3つ以上の量子ビットと、を含み、前記少なくとも3つ以上の量子ビットのうち少なくとも一つの量子ビットは、他の量子ビットと異なる非線形性を有する。
【選択図】図2
特許請求の範囲
【請求項1】
結合器を介して多体相互作用で結合する少なくとも3つの量子ビットを備え、
前記少なくとも3つの量子ビットのうち少なくとも一つの量子ビットは、非線形性が他の量子ビットの非線形性と異なる、量子回路装置。
続きを表示(約 1,000 文字)
【請求項2】
前記結合器は、非線形素子を含む、請求項1記載の量子回路装置。
【請求項3】
前記多体相互作用は、4つの量子ビットによる4体相互作用である、請求項1記載の量子回路装置。
【請求項4】
前記結合器は、前記非線形素子として、ジョセフソン接合を含む、請求項2記載の量子回路装置。
【請求項5】
前記量子ビットは、ジョセフソン接合とキャパシタとを含む、請求項1記載の量子回路装置。
【請求項6】
前記量子ビットの非線形パラメータは、1kHz(kiloherz)以上であり、非線形性が他の量子ビットと異なる前記量子ビットの非線形パラメータと、他の量子ビットの非線形パラメータの差は、1kHz以上である、請求項1記載の量子回路装置。
【請求項7】
前記量子ビットは、前記結合器に容量結合する、請求項1記載の量子回路装置。
【請求項8】
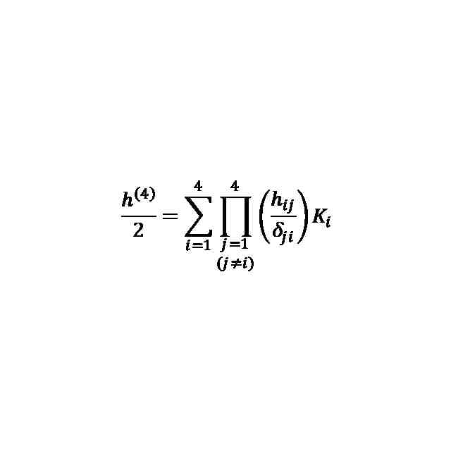
前記4つの量子ビットによる4体相互作用の結合係数h
(4)
は、
TIFF
2025141608000057.tif
17
150
(ただし、h
ij
は、第iの量子ビットと第jの量子ビット(i,j=1,…,4 ただし、j≠i)間の結合の強さ、
δ
ji
は、第iの量子ビットと第jの量子ビット(i,j=1,…,4 ただし、j≠i)の共振角周波数ω
i
とω
j
の差ω
j
-ω
i
、
K
i
(i=1,…,4)は第iの量子ビットの非線形を表すパラメータ)で表される、請求項1記載の量子回路装置。
【請求項9】
前記4つの量子ビットによる4体相互作用の結合係数h
(4)
と、前記4つの量子ビットの前記結合器による4体相互作用の結合係数g
(4)
とを組み合わせた値が、4体相互作用の強さとして働く、請求項8記載の量子回路装置。
【請求項10】
少なくとも第1乃至第3の量子ビットが結合器を介して多体相互作用する結合の強さの制御方法であって、
前記第1乃至第3の量子ビットのうち少なくとも一つの量子ビットの非線形性を他の量子ビットの非線形性と異なるように設定する、制御方法。
発明の詳細な説明
【技術分野】
【0001】
本発明は、量子回路装置と制御方法に関する。
続きを表示(約 2,100 文字)
【背景技術】
【0002】
組合せ最適化問題を解く方法である量子アニーリングの方式の一つとして、LHZ(Lechner, Hauke, Zoller)方式が知られている(例えば参考文献1参照)。LHZ方式の量子アニーリングの実装として、量子ビットと結合器のネットワーク、特に、4体相互作用によるネットワークが用いられる。4体相互作用では、結合器に最近接の4つの量子ビットが該結合器を介して作用する。ジョセフソンパラメトリック発振器(Josephson Parametric Oscillator: JPO)を量子ビットとして利用する手法が提案されている(例えば非特許文献1)。
【先行技術文献】
【非特許文献】
【0003】
Puri, et. al., "Quantum annealing with all-to-all connected nonlinear oscillators", Nature Communications 8, 15785 (2017)
【発明の概要】
【発明が解決しようとする課題】
【0004】
量子ビットも非線形性をもつ共振器といえる。アニーリング動作にとって充分な大きさの4体相互作用を得るためには、量子ビットと結合器の周波数差がある程度小さいこと、結合器の非線形性が大きいことの二つが求められる。
【0005】
本開示は、複数の量子ビット間の多体相互作用を発現し得る結合器に関して、多体相互作用の強さを設定自在とした量子回路装置と制御方法を提供することを目的の一つとする。
【課題を解決するための手段】
【0006】
本開示によれば、量子回路装置は、線形素子で構成された結合器と、前記結合器を介して多体相互作用で結合する少なくとも3つ以上の量子ビットと、を含み、前記少なくとも3つ以上の量子ビットのうち少なくとも一つの量子ビットは、他の量子ビットと異なる非線形性を有する構成とされる。
【0007】
本開示によれば、少なくとも第1乃至第3の量子ビットが結合器を介して多体相互作用する結合の強さの制御方法であって、前記第1乃至第3の量子ビットのうち少なくとも一つの量子ビットの非線形性を他の量子ビットの非線形性と異なるように設定する。
【発明の効果】
【0008】
本開示によれば、複数の量子ビット間の多体相互作用を発現し得る結合器に関して、多体相互作用の強さを設定自在としている。
【図面の簡単な説明】
【0009】
比較例の一例を説明する図である。
本開示の構成の一例を説明する図である。
本開示の構成の一例を説明する図である。
本開示の構成の別の一例を説明する図である。
本開示の構成を説明する図である。
(A)乃至(D)は本開示の構成を説明する図である。
本開示の構成を説明する図である。
本開示の構成の別の一例を説明する図である。
本開示の構成の別の一例を説明する図である。
本開示の構成の別の一例を説明する図である。
本開示の構成の別の一例を説明する図である。
本開示の構成の別の一例を説明する図である。
本開示の構成の別の一例を説明する図である。
本開示の構成の別の一例を説明する図である。
本開示の構成の別の一例を説明する図である。
本開示の構成の別の一例を説明する図である。
本開示の構成の別の一例を説明する図である。
本開示の量子計算機を説明する図である。
【発明を実施するための形態】
【0010】
本開示の実施形態について説明する。はじめに、上記した課題に関連して、図1の開示に関する本願発明者によるさらなる分析を以下に与える。なお、図1では、非特許文献1のJPA(Josephson Parametric Amplifier)はパラメトリック発振器として機能することから、JPOと表記している。4つの量子ビット(JPO1~JPO4)において、ループにジョセフソン接合(JJ)を複数含むSQUID(Superconducting Quantum Interference Device)を備え、不図示の磁場印加部からの磁束で駆動される。量子ビット(JPO1~JPO4)において、SQUIDを介して対向するコプレーナ導波路(coplanar waveguide, CPW)は電極/伝送路である。各量子ビットにおいて、ポンプ信号の角周波数ω
p,i
(i=1,2,3,4)は、量子ビットの共振角周波数ω
i
の2倍の角周波数2ω
i
近くとされる。ポンプ信号の強さが閾値を超えると、量子ビットは発振を起こし共振角周波数ω
i
のシグナルを出力する(「パラメトリック発振」という)。
(【0011】以降は省略されています)
この特許をJ-PlatPat(特許庁公式サイト)で参照する
関連特許
日本電気株式会社
管理装置
1か月前
日本電気株式会社
監視装置
1か月前
日本電気株式会社
監視装置
1か月前
日本電気株式会社
異常検知装置
1か月前
日本電気株式会社
光モジュール
29日前
日本電気株式会社
海底分岐装置
1か月前
日本電気株式会社
光集積回路素子
1か月前
日本電気株式会社
超伝導量子回路装置
1か月前
日本電気株式会社
推論装置および推論方法
21日前
日本電気株式会社
ラインカード及びイジェクタ
1か月前
日本電気株式会社
考査装置、考査方法、プログラム
22日前
日本電気株式会社
考査装置、考査方法、プログラム
22日前
日本電気株式会社
時刻維持装置および時刻維持方法
20日前
日本電気株式会社
ボロメータアレイ、及び光検出方法
今日
日本電気株式会社
交渉装置、交渉方法及びプログラム
29日前
日本電気株式会社
交渉装置、交渉方法及びプログラム
6日前
日本電気株式会社
レコメンド装置およびレコメンド方法
1か月前
日本電気株式会社
端末、端末の制御方法及びプログラム
1か月前
日本電気株式会社
監視装置、監視方法、及びプログラム
19日前
日本電気株式会社
安否確認支援装置、方法及びプログラム
1か月前
日本電気株式会社
店舗端末、情報処理方法、及びプログラム
21日前
日本電気株式会社
乗車誘導計画装置および乗車誘導計画方法
12日前
日本電気株式会社
情報処理装置、情報処理方法、プログラム
21日前
日本電気株式会社
視聴支援装置、視聴支援方法及びプログラム
27日前
日本電気株式会社
発話認識装置、プログラム及び発話認識方法
今日
日本電気株式会社
処理システム、処理方法、およびプログラム
1か月前
日本電気株式会社
追跡支援装置、追跡支援方法及びプログラム
1か月前
日本電気株式会社
経路選択装置、経路選択方法及びプログラム
19日前
日本電気株式会社
行動推奨装置、行動推奨方法及びプログラム
1か月前
日本電気株式会社
合意判定装置、合意判定方法及びプログラム
27日前
日本電気株式会社
合意判定装置、合意判定方法及びプログラム
6日前
日本電気株式会社
追跡支援装置、追跡支援方法及びプログラム
1か月前
日本電気株式会社
健康管理装置、健康管理方法及びプログラム
29日前
日本電気株式会社
処理システム、処理方法、およびプログラム
1か月前
日本電気株式会社
視線検出装置、視線検出方法、及びプログラム
1か月前
日本電気株式会社
情報処理装置、情報処理方法、及びプログラム
1か月前
続きを見る
他の特許を見る