TOP
|
特許
|
意匠
|
商標
特許ウォッチ
Twitter
他の特許を見る
10個以上の画像は省略されています。
公開番号
2025176597
公報種別
公開特許公報(A)
公開日
2025-12-04
出願番号
2024082866
出願日
2024-05-21
発明の名称
制御装置、制御方法、及び制御プログラム
出願人
株式会社竹中工務店
,
朝日機器株式会社
代理人
弁理士法人太陽国際特許事務所
主分類
H02J
3/14 20060101AFI20251127BHJP(電力の発電,変換,配電)
要約
【課題】契約電力を超えないように、各々の住居が太陽光発電設備で発電された電力をできるだけ利用しながら、契約電力の低減につながる給湯器の沸き上げ運転を行う。
【解決手段】制御装置20は、複数の住居7を有する建物2における太陽光発電量、給湯器9による消費電力量、及び給湯器9以外の負荷による消費電力量を過去の実績データから予測し、建物2全体の電力消費量を建物2における契約電力量以下に維持したまま、建物2における受電電力量の変動度合いが最小となり、かつ、各々の給湯器9が沸き上げ完了まで連続運転を行うと共に、沸き上げ期間内にグループ分けされた給湯器9の沸き上げが完了するように、給湯器9の運転タイミングをグループ毎に割り当てる沸き上げ運転計画を作成し、作成した沸き上げ運転計画に従って給湯器9の運転を制御する。
【選択図】図2
特許請求の範囲
【請求項1】
複数の住居を備え、契約電力に基づく系統電力を電気事業者から一括して受電している建物の全体に対して供給される指定日における時間帯毎の太陽光発電量、前記住居毎に備えられた給湯器の前記指定日における時間帯毎の消費電力量である前記住居毎の第1消費電力量、及び前記建物で消費される給湯器以外の負荷の前記指定日における時間帯毎の消費電力量の合計である第2消費電力量を、過去の実績データから予測する予測部と、
前記住居の少なくとも1つから構成される前記住居のグループ毎の前記指定日における前記第1消費電力量の合計と、前記指定日における前記第2消費電力量との和によって表される時間帯毎の建物全体の電力消費量が前記契約電力に対応した契約電力量以下となり、前記建物全体の電力消費量から、前記太陽光発電量を差し引いた電力量である、前記建物における受電電力量の前記指定日における変動度合いが最小となり、かつ、前記住居の各グループにおける給湯器が沸き上げ完了まで連続運転を行うと共に、前記指定日の予め設定した期間内に前記住居のすべてのグループにおける各々の給湯器の沸き上げが完了するように、前記住居のグループ毎に給湯器の運転タイミングを割り当てる計画を作成する計画部と、
前記計画に従って前記住居の各々で用いられる給湯器の運転を制御する制御部と、
を備えた制御装置。
続きを表示(約 1,800 文字)
【請求項2】
前記計画部は、前記指定日における前記受電電力量の最大値と最小値との差分を最小にすることにより、前記建物における前記受電電力量の前記指定日における変動度合いを最小にする
請求項1に記載の制御装置。
【請求項3】
前記計画部は、前記指定日の各時刻における前記受電電力量の前記指定日を単位とした偏差の絶対値の時間積分値を最小にすることにより、前記建物における前記受電電力量の前記指定日における変動度合いを最小にする
請求項1に記載の制御装置。
【請求項4】
前記計画部は、前記指定日の各時刻における前記受電電力量の前記指定日を単位とした標準偏差の時間積分値を最小にすることにより、前記建物における前記受電電力量の前記指定日における変動度合いを最小にする
請求項1に記載の制御装置。
【請求項5】
前記計画部は、前記住居の各々のグループに対して予め設定された給湯器の運転順序に従って、前記運転順序の早いグループから順に、前記住居のグループ毎に給湯器の運転タイミングを前記期間内の早い時間帯から順次割り当てる計画を作成する
請求項1~請求項4の何れか1項に記載の制御装置。
【請求項6】
前記運転順序が固定されている
請求項5に記載の制御装置。
【請求項7】
前記制御部は、前記受電電力量が予め定めた期間以上に亘って前記契約電力量未満となったことをユーザに報知する制御を行う
請求項1~請求項4の何れか1項に記載の制御装置。
【請求項8】
複数の住居を備え、契約電力に基づく系統電力を電気事業者から一括して受電している建物の全体に対して供給される指定日における時間帯毎の太陽光発電量、前記住居毎に備えられた給湯器の前記指定日における時間帯毎の消費電力量である前記住居毎の第1消費電力量、及び前記建物で消費される給湯器以外の負荷の前記指定日における時間帯毎の消費電力量の合計である第2消費電力量を、過去の実績データから予測し、
前記住居の少なくとも1つから構成される前記住居のグループ毎の前記指定日における前記第1消費電力量の合計と、前記指定日における前記第2消費電力量との和によって表される時間帯毎の建物全体の電力消費量が前記契約電力に対応した契約電力量以下となり、前記建物全体の電力消費量から、前記太陽光発電量を差し引いた電力量である、前記建物における受電電力量の前記指定日における変動度合いが最小となり、かつ、前記住居の各グループにおける給湯器が沸き上げ完了まで連続運転を行うと共に、前記指定日の予め設定した期間内に前記住居のすべてのグループにおける各々の給湯器の沸き上げが完了するように、前記住居のグループ毎に給湯器の運転タイミングを割り当てる計画を作成し、
前記計画に従って前記住居の各々で用いられる給湯器の運転を制御する処理をコンピュータが実行する
制御方法。
【請求項9】
複数の住居を備え、契約電力に基づく系統電力を電気事業者から一括して受電している建物の全体に対して供給される指定日における時間帯毎の太陽光発電量、前記住居毎に備えられた給湯器の前記指定日における時間帯毎の消費電力量である前記住居毎の第1消費電力量、及び前記建物で消費される給湯器以外の負荷の前記指定日における時間帯毎の消費電力量の合計である第2消費電力量を、過去の実績データから予測し、
前記住居の少なくとも1つから構成される前記住居のグループ毎の前記指定日における前記第1消費電力量の合計と、前記指定日における前記第2消費電力量との和によって表される時間帯毎の建物全体の電力消費量が前記契約電力に対応した契約電力量以下となり、前記建物全体の電力消費量から、前記太陽光発電量を差し引いた電力量である、前記建物における受電電力量の前記指定日における変動度合いが最小となり、かつ、前記住居の各グループにおける給湯器が沸き上げ完了まで連続運転を行うと共に、前記指定日の予め設定した期間内に前記住居のすべてのグループにおける各々の給湯器の沸き上げが完了するように、前記住居のグループ毎に給湯器の運転タイミングを割り当てる計画を作成し、
前記計画に従って前記住居の各々で用いられる給湯器の運転を制御する処理をコンピュータに実行させるための制御プログラム。
発明の詳細な説明
【技術分野】
【0001】
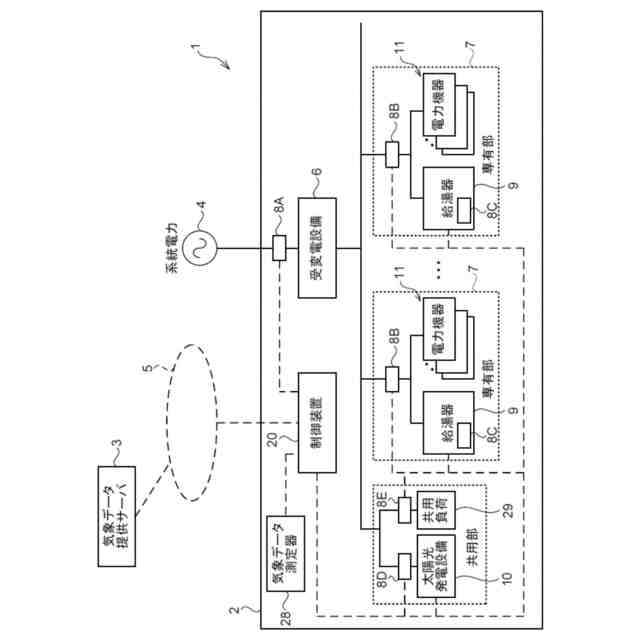
本開示は、ヒートポンプ給湯器の制御装置、制御方法、及び制御プログラムに係り、より詳しくは、太陽光発電設備を備えた建物に設置される複数台のヒートポンプ給湯器の運転タイミングを制御する制御装置、制御方法、及び制御プログラムに関する。
続きを表示(約 2,200 文字)
【背景技術】
【0002】
特許文献1には、太陽光発電設備と複数台のヒートポンプ給湯器が設置された集合住宅において、ヒートポンプ給湯器以外の消費電力量の第1予測値、及び太陽光発電設備によって発電される太陽光発電電力量の第2予測値を算出し、各々の予測値及び集合住宅に対して設定された上限電力量から、沸き上げ可能なヒートポンプ給湯器の台数を決定する給湯制御システムが開示されている。
【先行技術文献】
【特許文献】
【0003】
特開2016-125733号公報
【発明の概要】
【発明が解決しようとする課題】
【0004】
ヒートポンプ給湯器、及びヒートポンプ給湯器以外の電力機器の合計消費電力量のうち、太陽光発電設備によって発電される予測電力量を上回る電力量が、電気事業者と契約した契約電力以下の電力によって賄えるように、複数のヒートポンプ給湯器の沸き上げ運転を計画することがある。
【0005】
しかしながら、太陽光発電設備によって発電される予測電力量はあくまで予測値にすぎないため、例えば突然天候が崩れてしまうと、太陽光発電設備によって発電される予測電力量が予測値よりも低下することがある。この場合、当初の計画通りにヒートポンプ給湯器の沸き上げ運転を行うと、太陽光発電設備によって発電される電力の低下分を電気事業者から受電した系統電力によって補う必要があるため、電気事業者との契約電力を超えて電力を受電する状況が発生することがある。契約電力を超えて電力を受電した場合、契約電力に基づいて設定される基本料金が上がってしまい、契約者が支払う電気料金が上昇する。
【0006】
また、ヒートポンプ給湯器の沸き上げ運転には、系統電力よりも太陽光発電設備によって発電された電力を優先して用いた方が電気料金の削減につながるが、ヒートポンプ給湯器以外の電力機器において消費される消費電力量と太陽光発電設備によって発電される予測電力量の差分からヒートポンプ給湯器の沸き上げ運転を計画した場合、太陽光発電設備によって発電された電力を系統電力よりも優先して利用するようなヒートポンプ給湯器の沸き上げ運転計画を作成することはできない。
【0007】
また、ヒートポンプ給湯器の従来における沸き上げ運転の計画の作成では、建物全体における受電電力量が、契約電力に対応した契約電力量にできるだけ近づくように沸き上げ運転の計画を作成する。したがって、契約電力を下げて系統電力の基本料金を低減することができない。
【0008】
本開示は上記事実に鑑みてなされたものであり、同じ建物を使用する複数の住居が一括して電力を受電するために電気事業者と契約している契約電力を超えないように、各々の住居が太陽光発電設備で発電された電力をできるだけ利用しながら、契約電力の低減につながる給湯器の沸き上げ運転を行うようにする制御装置、制御方法、及び制御プログラムを提供することを目的とする。
【課題を解決するための手段】
【0009】
。
上記目的を達成するために、本開示の制御装置は、複数の住居を備え、契約電力に基づく系統電力を電気事業者から一括して受電している建物の全体に対して供給される指定日における時間帯毎の太陽光発電量、前記住居毎に備えられた給湯器の前記指定日における時間帯毎の消費電力量である前記住居毎の第1消費電力量、及び前記建物で消費される給湯器以外の負荷の前記指定日における時間帯毎の消費電力量の合計である第2消費電力量を、過去の実績データから予測する予測部と、前記住居の少なくとも1つから構成される前記住居のグループ毎の前記指定日における前記第1消費電力量の合計と、前記指定日における前記第2消費電力量との和によって表される時間帯毎の建物全体の電力消費量が前記契約電力に対応した契約電力量以下となり、前記建物全体の電力消費量から、前記太陽光発電量を差し引いた電力量である、前記建物における受電電力量の前記指定日における変動度合いが最小となり、かつ、前記住居の各グループにおける給湯器が沸き上げ完了まで連続運転を行うと共に、前記指定日の予め設定した期間内に前記住居のすべてのグループにおける各々の給湯器の沸き上げが完了するように、前記住居のグループ毎に給湯器の運転タイミングを割り当てる計画を作成する計画部と、前記計画に従って前記住居の各々で用いられる給湯器の運転を制御する制御部と、を備える。このように、本開示の制御装置によれば、同じ建物を使用する複数の住居が一括して電力を受電するために電気事業者と契約している契約電力を超えないように、各々の住居が太陽光発電設備で発電された電力をできるだけ利用しながら、契約電力の低減につながる給湯器の沸き上げ運転を行うことができる。
【0010】
また、本開示の制御装置の前記計画部は、前記指定日における前記受電電力量の最大値と最小値との差分を最小にすることにより、前記建物における受電電力量の前記指定日における変動度合いを最小にする。このように、本開示の制御装置によれば、受電電力量の偏差又は標準偏差に着目して受電電力量を平準化する場合と比較して、給湯器の運転タイミングの割り当て計画の作成に要する時間を短縮することができる。
(【0011】以降は省略されています)
この特許をJ-PlatPat(特許庁公式サイト)で参照する
関連特許
株式会社竹中工務店
複合壁
28日前
株式会社竹中工務店
構造物
1か月前
株式会社竹中工務店
免震構造
1か月前
株式会社竹中工務店
建物構造
1か月前
株式会社竹中工務店
免震建物
1か月前
株式会社竹中工務店
建物構造
1か月前
株式会社竹中工務店
発電システム
21日前
株式会社竹中工務店
跳ね出し架構
1か月前
株式会社竹中工務店
水硬性組成物
1か月前
株式会社竹中工務店
煙突改修方法
1か月前
株式会社竹中工務店
帯状木質材巻付体
1か月前
株式会社竹中工務店
排水処理システム
今日
株式会社竹中工務店
構造物の施工方法
1か月前
株式会社竹中工務店
配管ユニット構造
28日前
株式会社竹中工務店
水素供給システム
9日前
株式会社竹中工務店
塗装方法及び積層材料
7日前
株式会社竹中工務店
ラチス構造材の補強構造
16日前
株式会社竹中工務店
水平打ち継ぎ部補強構造
今日
株式会社竹中工務店
荷重支持構造及び荷重支持方法
1か月前
株式会社竹中工務店
人流推定装置及び人流推定方法
1か月前
株式会社竹中工務店
天井構造及び天井構造の固定方法
15日前
株式会社竹中工務店
被覆基材及び被覆基材の製造方法
7日前
株式会社竹中工務店
コンクリート製の床材の施工方法
1か月前
株式会社竹中工務店
場所打ちコンクリート杭の施工方法
1か月前
株式会社竹中工務店
ノイズ除去方法及びノイズ除去プログラム
1か月前
株式会社竹中工務店
構真柱の施工方法、及び構真柱の支持構造
15日前
株式会社竹中工務店
制御装置、制御方法、及び制御プログラム
1日前
株式会社竹中工務店
鉄筋コンクリート躯体と鉄骨柱との接合構造
1か月前
株式会社竹中工務店
CaCO3量推定方法及び炭酸化度判定方法
今日
株式会社竹中工務店
ジオポリマー組成物及びジオポリマー硬化体
1か月前
株式会社竹中工務店
パラメータ探索装置及びパラメータ探索方法
今日
株式会社竹中工務店
輝度分布推定装置及び輝度分布推定プログラム
1か月前
株式会社竹中工務店
水硬性組成物及び水硬性組成物硬化体の製造方法
1か月前
株式会社竹中工務店
信号処理装置、信号処理方法、及び信号処理プログラム
8日前
株式会社竹中工務店
熱中症リスク評価支援装置及び熱中症リスク評価支援プログラム
1か月前
日本製鉄株式会社
セメント硬化体補強用鋼繊維及びセメント組成物
1か月前
続きを見る
他の特許を見る