TOP特許意匠商標
特許ウォッチ Twitter
10個以上の画像は省略されています。
公開番号2025173383
公報種別公開特許公報(A)
公開日2025-11-27
出願番号2024078943
出願日2024-05-14
発明の名称信号処理装置、信号処理方法、及び信号処理プログラム
出願人株式会社竹中工務店
代理人弁理士法人太陽国際特許事務所
主分類H04R 3/00 20060101AFI20251119BHJP(電気通信技術)
要約【課題】音響分布の発散を回避することができる信号処理装置、信号処理方法、及び信号処理プログラムを得る。
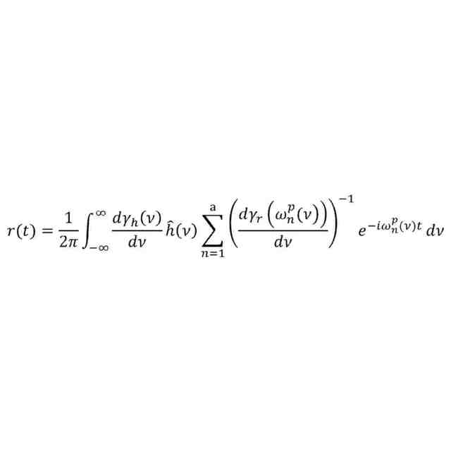
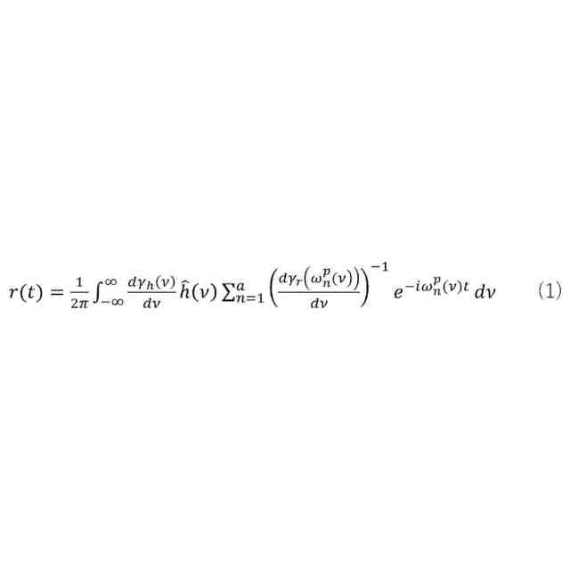
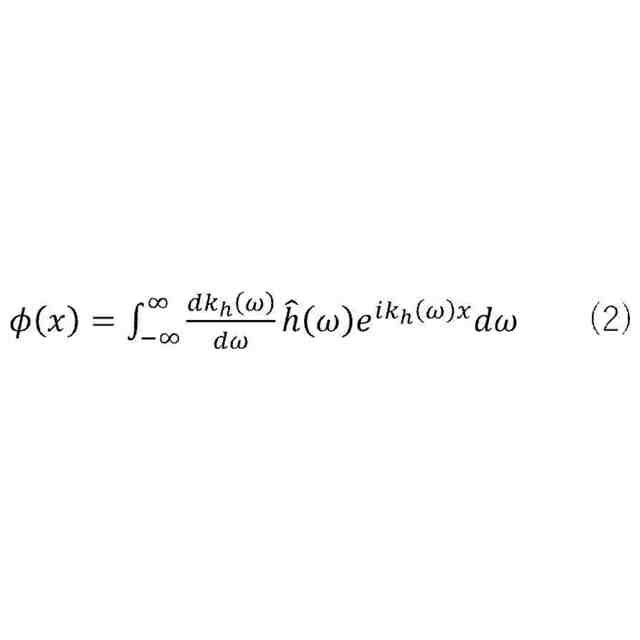
【解決手段】信号処理装置30は、計測されたインパルス応答信号から、空気吸収減衰が補正されたインパルス応答信号を生成する信号処理装置であって、h^(ν)を補正の前のインパルス応答信号をフーリエ変換したものとし、tを時間とし、γhを補正の前の伝搬定数とし、γrを補正の後の伝搬定数とし、nをa個の極を指定するインデックスとし、aを要求される精度に応じて予め定められた値とし、ωn p(ν)を被積分関数の極とし、r(t)を補正の後のインパルス応答信号として、次の数式にて当該補正の後のインパルス応答信号を導出する導出部30A2を備える。
【数1】
<com:Image com:imageContentCategory="Drawing"> <com:ImageFormatCategory>JPEG</com:ImageFormatCategory> <com:FileName>2025173383000014.jpg</com:FileName> <com:HeightMeasure com:measureUnitCode="Mm">20</com:HeightMeasure> <com:WidthMeasure com:measureUnitCode="Mm">137</com:WidthMeasure> </com:Image>
【選択図】図6
特許請求の範囲【請求項1】
計測されたインパルス応答信号から、空気吸収減衰が補正されたインパルス応答信号を生成する信号処理装置であって、
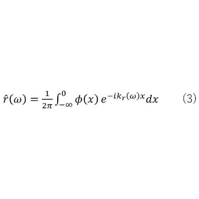
h^(ν)を前記補正の前のインパルス応答信号をフーリエ変換したものとし、tを時間とし、γ

を前記補正の前の伝搬定数とし、γ

を前記補正の後の伝搬定数とし、nをa個の極を指定するインデックスとし、aを要求される精度に応じて予め定められた値とし、ω


(ν)を被積分関数の極とし、r(t)を前記補正の後のインパルス応答信号として、次の数式にて当該補正の後のインパルス応答信号を導出する導出部、
JPEG
2025173383000011.jpg
20
137
を備えた信号処理装置。
続きを表示(約 1,200 文字)【請求項2】
前記導出部によって導出された前記補正の後のインパルス応答信号を、無響室において予め定められた音を録音することにより得られたドライソースと畳み込むことにより音響信号を生成する音響信号生成部、
を更に備えた請求項1に記載の信号処理装置。
【請求項3】
前記導出部による前記補正の後のインパルス応答信号の導出に先立ち、前記補正の前のインパルス応答信号を予め定められた周波数帯域毎の帯域応答信号に分別し、分別された前記帯域応答信号に対し、当該帯域応答信号の後端部側の残響音の領域を、当該残響音の領域を除く前端部側の領域の減衰の勾配に対応するように変形することでノイズを補償する処理を行うノイズ補償処理部、
を更に備えた請求項1又は請求項2に記載の信号処理装置。
【請求項4】
前記補正の前のインパルス応答信号は、音の再現対象とする音場の縮尺模型によって計測された信号である、
請求項1又は請求項2に記載の信号処理装置。
【請求項5】
計測されたインパルス応答信号から、空気吸収減衰が補正されたインパルス応答信号を生成する信号処理方法であって、
h^(ν)を前記補正の前のインパルス応答信号をフーリエ変換したものとし、tを時間とし、γ

を前記補正の前の伝搬定数とし、γ

を前記補正の後の伝搬定数とし、nをa個の極を指定するインデックスとし、aを要求される精度に応じて予め定められた値とし、ω


(ν)を被積分関数の極とし、r(t)を前記補正の後のインパルス応答信号として、次の数式にて当該補正の後のインパルス応答信号を導出する、
JPEG
2025173383000012.jpg
20
137
処理をコンピュータが実行する信号処理方法。
【請求項6】
計測されたインパルス応答信号から、空気吸収減衰が補正されたインパルス応答信号を生成する信号処理プログラムであって、
h^(ν)を前記補正の前のインパルス応答信号をフーリエ変換したものとし、tを時間とし、γ

を前記補正の前の伝搬定数とし、γ

を前記補正の後の伝搬定数とし、nをa個の極を指定するインデックスとし、aを要求される精度に応じて予め定められた値とし、ω


(ν)を被積分関数の極とし、r(t)を前記補正の後のインパルス応答信号として、次の数式にて当該補正の後のインパルス応答信号を導出する、
JPEG
2025173383000013.jpg
20
137
処理をコンピュータに実行させる信号処理プログラム。

発明の詳細な説明【技術分野】
【0001】
本発明は、信号処理装置、信号処理方法、及び信号処理プログラムに関する。
続きを表示(約 1,500 文字)【背景技術】
【0002】
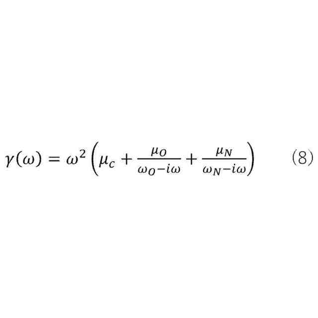
従来、コンサートホールや劇場等の設計段階に行われる音響模型実験では、縮尺模型内のインパルス応答信号を計測し、完成後のホール等の音場(以下、「実物」ともいう。)の音響特性を予測する。縮尺模型内のインパルス応答信号から実物のインパルス応答信号が推定できれば、推定したインパルス応答信号を無響室において録音した楽音や歌唱等と畳み込むことにより、実物の音響状態を耳で聞いて確認することもできる。なお、本明細書では、このようなプロセスを縮尺模型内音場の可聴化という。
【0003】
音響模型実験の根幹を成す原理は相似則であり、模型の縮尺を1/S(S分の1)とすると、周波数は実物の場合のS倍、時間は1/S倍という関係を保ち、計測を行う必要がある。縮尺模型の典型的な縮尺は1/10~1/20程度であることから、人の可聴周波数(約20Hz~20kHz)を網羅しつつ、この関係を保持するには、超音波領域を含む広い周波数帯域が計測対象となる。インパルス応答信号の計測では、音源をインパルス信号等で駆動し、マイクロホンで収音したインパルス応答信号をA/D(アナログ/ディジタル)変換器により離散化してコンピュータに取り込む。ここで、離散化周期を1/S倍の値に読み替えると時間軸がS倍に延び、周波数帯域が1/S倍の帯域に遷移した、実物と同じスケールの信号が得られる。ただし、このインパルス応答信号は、実物の物理条件を完全には反映していない。
【0004】
それは、音波が空気中を伝搬する過程で、そのエネルギーの一部が、空気の音響吸収によって失われるためであり、この現象は空気吸収減衰と呼ばれ、周波数が高いほど顕著に現れることが知られている(一例として、「H. E. Bass, L. C. Sutherland, A. J. Zuckerwar, D. T. Blackstock, and D. M. Hester, “Atmospheric absorption of sound: Further developments,” J. Acoust. Soc. Am. 97 (1), 680-683 (1995).」参照。)。
【0005】
しかしながら、従来の音響模型実験による縮尺模型内音場の可聴化では、空気吸収減衰については考慮されていないため、必ずしも忠実に音を再現することができるとは限らなかった。
【0006】
この問題を解決するために、本開示の技術の提案者等による特許文献1に開示された技術があった。
【0007】
即ち、特許文献1には、より忠実に音響を再現することを目的とした信号補正装置が開示されている。
【0008】
この信号補正装置は、音の再現対象とする音場の縮尺模型によって得られたインパルス応答信号を予め定められた周波数帯域毎の帯域応答信号に分別する分別手段と、前記分別手段によって分別された帯域応答信号の各々毎に、空気によるエネルギーの減衰を補正する補正手段と、前記補正手段によって補正された帯域応答信号を合成する合成手段と、を備えている。
【0009】
しかしながら、特許文献1に開示されている技術では、帯域分割したインパルス応答を帯域の代表周波数の吸収係数を用いて時間軸状で補正するものとされており、周波数特性を正しく表現することができない、という問題点があった。
【0010】
そこで、本開示の技術の提案者等は、非特許文献1及び非特許文献2に開示されているインパルス応答に関する技術を提案した。
(【0011】以降は省略されています)

この特許をJ-PlatPat(特許庁公式サイト)で参照する

関連特許

株式会社竹中工務店
複合壁
28日前
株式会社竹中工務店
構造物
1か月前
株式会社竹中工務店
免震建物
1か月前
株式会社竹中工務店
建物構造
1か月前
株式会社竹中工務店
建物構造
1か月前
株式会社竹中工務店
免震構造
1か月前
株式会社竹中工務店
発電システム
21日前
株式会社竹中工務店
水硬性組成物
1か月前
株式会社竹中工務店
跳ね出し架構
1か月前
株式会社竹中工務店
煙突改修方法
1か月前
株式会社竹中工務店
帯状木質材巻付体
1か月前
株式会社竹中工務店
排水処理システム
今日
株式会社竹中工務店
配管ユニット構造
28日前
株式会社竹中工務店
水素供給システム
9日前
株式会社竹中工務店
塗装方法及び積層材料
7日前
株式会社竹中工務店
ラチス構造材の補強構造
16日前
株式会社竹中工務店
水平打ち継ぎ部補強構造
今日
株式会社竹中工務店
荷重支持構造及び荷重支持方法
1か月前
株式会社竹中工務店
人流推定装置及び人流推定方法
1か月前
株式会社竹中工務店
天井構造及び天井構造の固定方法
15日前
株式会社竹中工務店
被覆基材及び被覆基材の製造方法
7日前
株式会社竹中工務店
場所打ちコンクリート杭の施工方法
1か月前
株式会社竹中工務店
構真柱の施工方法、及び構真柱の支持構造
15日前
株式会社竹中工務店
制御装置、制御方法、及び制御プログラム
1日前
株式会社竹中工務店
ノイズ除去方法及びノイズ除去プログラム
1か月前
株式会社竹中工務店
鉄筋コンクリート躯体と鉄骨柱との接合構造
1か月前
株式会社竹中工務店
CaCO3量推定方法及び炭酸化度判定方法
今日
株式会社竹中工務店
ジオポリマー組成物及びジオポリマー硬化体
1か月前
株式会社竹中工務店
パラメータ探索装置及びパラメータ探索方法
今日
株式会社竹中工務店
輝度分布推定装置及び輝度分布推定プログラム
1か月前
株式会社竹中工務店
水硬性組成物及び水硬性組成物硬化体の製造方法
1か月前
株式会社竹中工務店
信号処理装置、信号処理方法、及び信号処理プログラム
8日前
株式会社竹中工務店
熱中症リスク評価支援装置及び熱中症リスク評価支援プログラム
1か月前
日本製鉄株式会社
セメント硬化体補強用鋼繊維及びセメント組成物
1か月前
株式会社竹中工務店
地盤改良用セメントスラリー組成物及びソイルセメントスラリーの調製方法
1か月前
株式会社竹中工務店
木質柱仕口部材接合構造、プレキャスト仕口部材の施工方法、及びプレキャスト仕口部材
1か月前
続きを見る