TOP
|
特許
|
意匠
|
商標
特許ウォッチ
Twitter
他の特許を見る
10個以上の画像は省略されています。
公開番号
2025176455
公報種別
公開特許公報(A)
公開日
2025-12-04
出願番号
2024082626
出願日
2024-05-21
発明の名称
顕微分析システム及び試料の観察方法
出願人
株式会社生体分子計測研究所
代理人
個人
,
個人
,
個人
主分類
G01Q
30/02 20100101AFI20251127BHJP(測定;試験)
要約
【課題】分解能に優れ且つ試料内部の空間情報を高精度に計測することが可能な顕微分析システム、及び試料の観察方法を提供する。
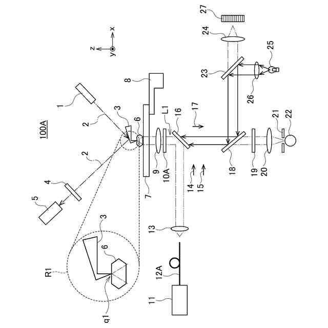
【解決手段】試料6を走査するカンチレバー3を備え、カンチレバー3の挙動を検出して、試料6の形状を測定するAFM顕微鏡101と、試料6に照明光を照射し、その反射光を測定して試料6を可視化する光学顕微鏡102を備える。更に、カンチレバー3による力学的な外部刺激、及び照明光による光化学的な外部刺激のうちの少なくとも一方が与えられているときに試料6を可視化する。
【選択図】図1
特許請求の範囲
【請求項1】
試料を走査するカンチレバーを備え、前記カンチレバーの挙動を検出して、前記試料の形状を測定するAFM顕微鏡と、
前記試料に照明光を照射し、その反射光を測定して前記試料を可視化する光学顕微鏡と、を備え、
前記カンチレバーによる力学的な外部刺激、及び照明光による光化学的な外部刺激のうちの少なくとも一方が与えられているときに、前記試料を可視化する
顕微分析システム。
続きを表示(約 850 文字)
【請求項2】
前記光学顕微鏡は、走査型顕微鏡であり、
前記走査型顕微鏡は、前記試料に力学的又は光化学的な外部刺激を与えているときに、前記試料の構造の変化、及び前記試料の物理化学特性の変化、の少なくとも一方を可視化する
請求項1に記載の顕微分析システム。
【請求項3】
前記試料に力学的又は光化学的な外部刺激を与えているときに、前記試料の構造の変化、及び前記試料の物理化学特性の変化が可逆的である
請求項2に記載の顕微分析システム。
【請求項4】
カンチレバーの先端が照明領域内にあるときと、カンチレバーの先端が照明領域外にあるときの可視化画像の変化を比較できる
請求項3に記載の顕微分析システム。
【請求項5】
前記光学顕微鏡は、走査型顕微鏡であり、
前記走査型顕微鏡は、2以上の波長を含む照明光を前記試料に照射する
請求項1に記載の顕微分析システム。
【請求項6】
前記走査型顕微鏡は、2つの波長の照明光の一部を空間的に重複して前記試料に照射する
請求項5に記載の顕微分析システム。
【請求項7】
前記走査型顕微鏡は、少なくとも1つの波長の照明光のビーム形状を制御して、前記試料に照射する
請求項5に記載の顕微分析システム。
【請求項8】
前記光学顕微鏡の光源から照射される照明光の偏光状態を制御する偏光子
を更に備えた請求項1に記載の顕微分析システム。
【請求項9】
前記光学顕微鏡の光源は、コヒーレント光を照射する
請求項1に記載の顕微分析システム。
【請求項10】
前記光学顕微鏡の光源から生成される少なくとも1つの照明光は、集光したときに、空間的に極小値を持つように整形されている
請求項1に記載の顕微分析システム。
(【請求項11】以降は省略されています)
発明の詳細な説明
【技術分野】
【0001】
本発明は、AFM顕微鏡と光学顕微鏡の利点を兼ね備えた顕微分析システム、及びこれを用いた試料の観察方法に係り、物質の構造及び物理化学的性質の変化を可視化する技術に関する。
続きを表示(約 1,800 文字)
【背景技術】
【0002】
電磁気学的、光化学的な外部刺激、及び力学的な外部刺激により、構造を変化させる分子が存在する。電磁気学的な外部刺激により物性と構造を変化させるものとしては、フォトクロミック分子が代表的である。例えば図15に示すように、アゾベンゼンのように異なる2波長の可視光を照射することで、分子の空間構造を可逆的に変形させることができ(シス-トランス変化)、その分子長を2倍程度まで広げることができる(非特許文献1参照)。
【0003】
また、図16に示すように生体分子の一つであるレチナールもフォトクロミック分子であり、遺伝子レベルでロドプシンタンパクに組み込まれ、2波長の可視光により可逆的にタンパクを変形駆動することができる。これらの変化は、例えば、原子間力顕微鏡(AFM)によりリアルタイムで空間計測ができている(非特許文献2参照)。
【0004】
一方、力学的な外部刺激を加えると、分光学的な特性を変化させる分子も存在する。その例として、ポリジアセチレンはπ共役結合部が捻じれると電子構造の変化により吸収帯の波長位置がシフトする。その結果として、着色と共に蛍光を発するようになる。この現象は、AFMの触診針により分子鎖に応力を与えることで、分光特性が確認できる(非特許文献3参照)。
【0005】
また、フルオレニリデン-アクリダンも力学的な刺激を加えると着色するので、刺激箇所を着色領域として光学顕微鏡で確認できることを示している。これらの分子は、メカノクロミック分子と呼ばれる(非特許文献4参照)。
【0006】
上述したAFM、及び光学顕微鏡で計測される情報の質は本質的に大きく異なる。AFMで得られる情報は、基本的に試料表面の触診針の接触点における弾性応答であるので、試料の3次元的空間形状と剛体性といった力学的な物理量(表面形状、弾性)が計測対象となる。一方、光学顕微鏡は試料内部の電磁気学的な物理量(透過、吸収、散乱、蛍光)が計測対象となる。
【0007】
上述したAFM、及び光学顕微鏡を用いた計測法は、それぞれ原理的に優れた特長、及び欠点を有している。AFMは、最高オングストロームの分解能が得られるという利点があるものの、試料内部の空間情報が得られないという欠点がある。一方、光学顕微鏡では、非侵襲で試料内部の空間情報を取得でき、特に、回折限界を上回る3次元分解能を有するSTED(Stimulated Emission Depletion)型超解像顕微鏡法が注目されている(非特許文献5参照)。
【先行技術文献】
【非特許文献】
【0008】
福田隆史、茨田大輔:応用物理第75巻 第 10号 1252(2006)
J. L. Knudsen, A. Kluge, A. V. Bochenkova, H. V. Kieferand L. H. Andersen: Phys.Chem. Chem. Phys.,20, 7190(2018).
杉原加織:生産研究、73巻3号147(2021)
T. Suzuki, H. Okada,T. Nakagawa, K. Komatsu, C. Fujimoto, H. Kagi, Y. Matsuo: Chem.Sci., 2017 14, 475(2017).
T. Klar, and S. Hell, Opt. Lett., 24, 954 (1999).
【発明の概要】
【発明が解決しようとする課題】
【0009】
しかし、非特許文献5に開示されている技術では、空間分解能は数十nmに留まっており、AFM顕微鏡と比較して空間分解能が低いという問題がある。この相反する特性に着目して、上述した非特許文献1~5の先行技術を集約すると、力学応答を光学顕微鏡で計測でき、光化学的な変化を原子間力顕微鏡で測定できることの必要性を示している。即ち、物質に対する分析において、相補的・補完的な計測技術であることが判る。
【0010】
それぞれの計測法で得られる情報の内容は大きく異なるが、共通の特長としては、何れの計測法においても水中の試料を計測することができるので、生物試料のライブ観察に適した顕微鏡として応用されている。
(【0011】以降は省略されています)
この特許をJ-PlatPat(特許庁公式サイト)で参照する
関連特許
日本精機株式会社
検出装置
29日前
個人
採尿及び採便具
1か月前
個人
高精度同時多点測定装置
1か月前
個人
計量機能付き容器
24日前
個人
アクセサリー型テスター
1か月前
日本精機株式会社
発光表示装置
7日前
株式会社ミツトヨ
測定器
1か月前
株式会社カクマル
境界杭
14日前
甲神電機株式会社
電流検出装置
29日前
株式会社トプコン
測量装置
6日前
アズビル株式会社
電磁流量計
1か月前
大成建設株式会社
風洞実験装置
24日前
ローム株式会社
半導体装置
1か月前
日本特殊陶業株式会社
ガスセンサ
今日
双庸電子株式会社
誤配線検査装置
1か月前
長崎県
形状計測方法
1か月前
大和製衡株式会社
組合せ計量装置
1か月前
個人
非接触による電磁パルスの測定方法
27日前
大和製衡株式会社
組合せ計量装置
1か月前
日本特殊陶業株式会社
ガスセンサ
6日前
ローム株式会社
半導体装置
1か月前
愛知電機株式会社
軸部材の外観検査装置
1か月前
愛知時計電機株式会社
ガスメータ
1か月前
日本特殊陶業株式会社
ガスセンサ
22日前
個人
計量具及び計量機能付き容器
24日前
個人
システム、装置及び実験方法
1か月前
日本信号株式会社
距離画像センサ
27日前
日本特殊陶業株式会社
センサ
1か月前
日本特殊陶業株式会社
センサ
8日前
トヨタ自動車株式会社
測定システム
1か月前
株式会社タイガーカワシマ
揚穀装置
6日前
日東精工株式会社
振動波形検査装置
1か月前
株式会社デンソー
電流センサ
1か月前
株式会社不二越
X線測定装置
27日前
本陣水越株式会社
車載式計測標的物
1日前
キーコム株式会社
画像作成システム
14日前
続きを見る
他の特許を見る