TOP
|
特許
|
意匠
|
商標
特許ウォッチ
Twitter
他の特許を見る
10個以上の画像は省略されています。
公開番号
2025176059
公報種別
公開特許公報(A)
公開日
2025-12-03
出願番号
2025140939,2022555946
出願日
2025-08-27,2021-03-16
発明の名称
抗薬物抗体アッセイにおける標的干渉の軽減方法
出願人
リジェネロン・ファーマシューティカルズ・インコーポレイテッド
,
REGENERON PHARMACEUTICALS, INC.
代理人
個人
,
個人
,
個人
,
個人
,
個人
,
個人
,
個人
,
個人
,
個人
,
個人
,
個人
,
個人
主分類
G01N
33/53 20060101AFI20251126BHJP(測定;試験)
要約
【課題】医薬の投与によって誘導される抗薬物抗体を、検出、定量化または特徴付けるための方法およびシステムを提供する。
【解決手段】試料中の抗薬物抗体を同定する方法であって、以下:試料を第1の標識された薬物と接触させることと;試料を第2の標識された薬物と接触させることと;試料を標的の結合パートナーと接触させることと;第1の標識された薬物と抗薬物抗体と第2の標識された薬物とを含む複合体の存在を検出することとを含み、試料が、抗薬物抗体および標的を含み、標的が、薬物の結合パートナーである、方法。
【選択図】図1
特許請求の範囲
【請求項1】
試料中の抗薬物抗体を同定する方法であって、以下:
前記試料を第1の標識された薬物と接触させることと;
前記試料を第2の標識された薬物と接触させることと;
前記試料を標的の結合パートナーと接触させることと;
前記第1の標識された薬物と前記抗薬物抗体と前記第2の標識された薬物とを含む複合体の存在を検出することと
を含み、
前記試料が、前記抗薬物抗体および前記標的を含み、
前記標的が、前記薬物の結合パートナーである、方法。
続きを表示(約 540 文字)
【請求項2】
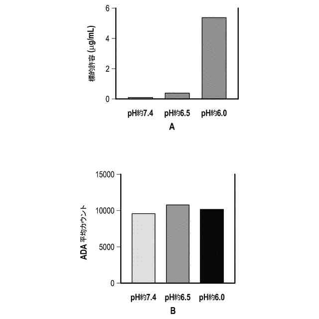
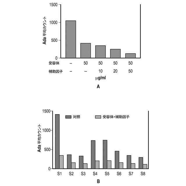
前記標的と前記標的の前記結合パートナーとの間の結合を強化するために、前記試料を補助因子と接触させることをさらに含む、請求項1に記載の方法。
【請求項3】
弱酸性アッセイpH下で実施される、請求項1に記載の方法。
【請求項4】
抗標的抗体を使用して前記標的を除去することをさらに含む、請求項1に記載の方法。
【請求項5】
前記抗標的抗体が、固体支持体に付着している、請求項4に記載の方法。
【請求項6】
前記第1の標識された薬物が、ルテニウム標識された薬物またはビオチン化薬物である、請求項1に記載の方法。
【請求項7】
前記第2の標識された薬物が、ルテニウム標識された薬物またはビオチン化薬物である、請求項1に記載の方法。
【請求項8】
前記標的の前記結合パートナーが、天然の結合パートナーである、請求項1に記載の方法。
【請求項9】
前記標的の前記結合パートナーが、前記標的の受容体である、請求項1に記載の方法。
【請求項10】
前記標的が、可溶性多量体標的である、請求項1に記載の方法。
(【請求項11】以降は省略されています)
発明の詳細な説明
【技術分野】
【0001】
分野
本発明は、概して、医薬の投与によって誘導される抗薬物抗体を、特徴付け、同定し、かつ/または測定するための方法およびシステムに関する。これらの方法およびシステムは、競合リガンド結合に基づいている。
続きを表示(約 2,500 文字)
【背景技術】
【0002】
背景
抗薬物抗体(ADA)は、薬物有効性の低減、内因性タンパク質への交差反応、または治療用タンパク質の薬物動態の変化などのいくつかの臨床的結果に寄与する可能性があるため、医薬の投与によって、例えば、ADAの誘導によって誘導される抗体の存在に起因する、薬物有効性および患者の安全性について懸念がある。FDAは、安全性および有効性に影響する、治療用タンパク質製品と関連する有害な免疫学的関連応答に関する免疫応答を、評価および軽減するためのリスクベースのアプローチを採用することを推奨している。(Guidance for Industry:Immunogenicity Assessment for Therapeutic Protein Products,August 2014,U.S.Department of Health and Human Services,Food and Drug Administration(非特許文献1))
【0003】
モノクローナル抗体、酵素製品、サイトカイン、成長因子および毒素を含む免疫原性データを評価および報告するために、121品目のFDA承認生物製剤の処方情報およびFDAの臨床薬理学的レビューが再検討された。最も報告頻度が高かったのは、免疫原性の発生についてであった。ADAの臨床的意義は不明であった。全体的に、製品の全身クリアランスの増加とADAと関連する有効性の低減との間に、顕著な一致があった。(Wang et al.,Evaluating and Reporting the Immunogenicity Impacts for Biological Products-a Clinical Pharmacology Perspective.The AAPS Journal.2016;18(2):395-403(非特許文献2))
【0004】
免疫応答の生物学的複雑性は、ADAの薬物動態への影響を評価する際の課題を提示するが、これは、薬物動態曝露が、ADA効果を評価するための有効性エンドポイントよりも感度が高くなり得るためである。ADAを特徴付け、識別し、かつ/または測定するための方法およびシステム、例えば、ADA検出の方法およびシステムを改善するための必要性が存在することが、認識されるであろう。これらの方法およびシステムは、薬物投与、例えば生物製剤の投与のための薬物動態、有効性、および安全性に関連する臨床薬理学における免疫原性影響に関する貴重な情報を提供することができる。
【先行技術文献】
【非特許文献】
【0005】
Guidance for Industry:Immunogenicity Assessment for Therapeutic Protein Products,August 2014,U.S.Department of Health and Human Services,Food and Drug Administration
Wang et al.,Evaluating and Reporting the Immunogenicity Impacts for Biological Products-a Clinical Pharmacology Perspective.The AAPS Journal.2016;18(2):395-403
【発明の概要】
【0006】
概要
モノクローナル抗体などの生物学的製剤は、がん、心血管疾患、感染症または自己免疫障害などの広範囲の病態にわたって臨床応用を有する治療用タンパク質である。タンパク質医薬の免疫原性の発生は、タンパク質医薬の投与によって誘導される抗体、例えば、抗薬物抗体(ADA)の存在を特徴付けることに対する需要の増加をもたらした。ADAの特徴付けおよび測定データは、薬物の安全性を向上させるための医薬の免疫原性の理解を提供することができる。
【0007】
本明細書に開示される例示的な実施形態は、医薬の投与によって誘導されるADAを特徴付け、同定し、かつ/または測定するための方法およびシステムを提供することによって、前述の需要を満たす。本開示は、試料中の抗薬物抗体を同定する方法であって、以下:
試料を第1の標識された薬物と接触させることと;
試料を第2の標識された薬物と接触させることと;
試料を標的の結合パートナーと接触させることと;
第1の標識された薬物と抗薬物抗体と第2の標識された薬物とを含む複合体の存在を検出することと
を含み、試料が抗薬物抗体および標的を含み、標的が薬物の結合パートナーである、方法を提供する。
【0008】
いくつかの例示的な実施形態において、試料中の抗薬物抗体を同定する方法は、標的と標的の結合パートナーとの間の結合を強化するために、試料を補助因子と接触させることをさらに含む。いくつかの態様において、試料中の抗薬物抗体を同定する方法は、弱酸性のアッセイpH下で実施される。
【0009】
いくつかの態様において、試料中の抗薬物抗体を同定する方法は、抗標的抗体を使用して標的を除去することをさらに含み、抗標的抗体は、固体支持体に結合される。
【0010】
いくつかの態様において、本方法の第1の標識された薬物または第2の標識された薬物は、ルテニウム標識された薬物またはビオチン化薬物である。いくつかの態様において、本方法の標的の結合パートナーは、天然結合パートナーまたは標的の受容体であり、標的は、可溶性多量体標的である。
(【0011】以降は省略されています)
この特許をJ-PlatPat(特許庁公式サイト)で参照する
関連特許
日本精機株式会社
検出装置
29日前
個人
採尿及び採便具
1か月前
個人
アクセサリー型テスター
1か月前
個人
高精度同時多点測定装置
1か月前
個人
計量機能付き容器
24日前
株式会社ミツトヨ
測定器
1か月前
日本精機株式会社
発光表示装置
7日前
株式会社カクマル
境界杭
14日前
甲神電機株式会社
電流検出装置
29日前
株式会社トプコン
測量装置
6日前
アズビル株式会社
電磁流量計
1か月前
大成建設株式会社
風洞実験装置
24日前
日本特殊陶業株式会社
ガスセンサ
6日前
愛知電機株式会社
軸部材の外観検査装置
1か月前
大和製衡株式会社
組合せ計量装置
1か月前
個人
計量具及び計量機能付き容器
24日前
大和製衡株式会社
組合せ計量装置
1か月前
個人
非接触による電磁パルスの測定方法
27日前
ローム株式会社
半導体装置
1か月前
ローム株式会社
半導体装置
1か月前
双庸電子株式会社
誤配線検査装置
1か月前
日本信号株式会社
距離画像センサ
27日前
個人
システム、装置及び実験方法
1か月前
日本特殊陶業株式会社
ガスセンサ
今日
愛知時計電機株式会社
ガスメータ
1か月前
日本特殊陶業株式会社
ガスセンサ
22日前
本陣水越株式会社
車載式計測標的物
1日前
トヨタ自動車株式会社
測定システム
1か月前
日東精工株式会社
振動波形検査装置
1か月前
キーコム株式会社
画像作成システム
14日前
日本特殊陶業株式会社
センサ
1か月前
株式会社デンソー
電流センサ
1か月前
日本特殊陶業株式会社
センサ
8日前
株式会社不二越
X線測定装置
27日前
株式会社タイガーカワシマ
揚穀装置
6日前
個人
液位検視及び品質監視システム
22日前
続きを見る
他の特許を見る