TOP
|
特許
|
意匠
|
商標
特許ウォッチ
Twitter
他の特許を見る
10個以上の画像は省略されています。
公開番号
2025172633
公報種別
公開特許公報(A)
公開日
2025-11-26
出願番号
2024078250
出願日
2024-05-13
発明の名称
合成開口レーダシステム
出願人
個人
代理人
個人
,
個人
,
個人
,
個人
主分類
G01S
13/90 20060101AFI20251118BHJP(測定;試験)
要約
【課題】衛星と観測点でマイクロ波の送信・反射・受信を複数回繰り返すことで、観測点の空間分解能を向上させることが可能な合成開口レーダシステムを提供する。
【解決手段】合成開口レーダシステムは、衛星において、レーダ信号生成装置が所定のタイミングでレーダ信号を生成して、レーダ信号に基づいてレーダ波が生成されて地表に照射され、衛星において地表で反射されたレーダ波が受信されて、それを増幅し再び地表に照射され、再び地表で反射され、再び衛星において地表で反射されたレーダ波が受信されるというシーケンスを複数繰り返すことにより、レーダ信号生成装置でレーダ信号を生成したときのタイミングを用いて、レーダ信号生成装置で生成されたレーダ信号と、地表で反射されたレーダ波に基づくレーダ信号とに基づいて地表における点散乱体に関する画像データが生成されることを特徴とする。
【選択図】図3
特許請求の範囲
【請求項1】
移動体において、レーダ信号生成装置とレーダ波送信部とレーダ波受信部とレーダ信号増幅装置とレーダ信号混合装置とレーダ信号処理装置とを備える合成開口レーダシステムであって、
所定のタイミングでレーダ信号を生成するレーダ信号生成装置と、
前記レーダ信号に基づいてレーダ波を生成し、生成された前記レーダ波を地表に照射するレーダ波送信部と、
前記レーダ波送信部から送信され、地表で反射された前記レーダ波を受信し、受信した前記レーダ波をレーダ信号に変換するレーダ波受信部と、
変換された前記レーダ信号を増幅するレーダ信号増幅装置と、
前記レーダ信号増幅装置で増幅されたレーダ信号と、前記レーダ信号生成装置で生成されたレーダ信号とを混合して合成レーダ信号を生成するレーダ信号混合装置と、
地表で複数回反射した前記レーダ波に基づくレーダ信号と、前記レーダ信号生成装置で生成された前記レーダ信号に基づいて地表における点散乱体に関する画像データを生成するレーダ信号処理装置と、
を備え、
前記レーダ波送信部は、前記レーダ信号混合装置で生成された前記合成レーダ信号に基づいて前記レーダ波を生成し、生成された前記レーダ波を地表に照射することを特徴とする合成開口レーダシステム。
続きを表示(約 470 文字)
【請求項2】
前記レーダ波受信部は、前記移動体に代えて、前記移動体とは別の第2移動体に設けられ、
前記第2移動体は、レーダ信号送信装置を備え、
前記移動体は、レーダ信号受信部を更に備え、
前記レーダ信号送信装置は、前記第2移動体に設けられた前記レーダ波受信部で受信されたレーダ波からレーダ信号を抽出し、抽出された前記レーダ信号を前記移動体に送信し、
前記レーダ信号受信部は、前記第2移動体から送信された前記レーダ信号を受信し、
前記レーダ信号増幅装置は、前記レーダ信号受信部で受信された前記レーダ信号を増幅し、
前記レーダ信号混合装置は、前記レーダ信号増幅装置で増幅されたレーダ信号と、前記レーダ信号生成装置で生成されたレーダ信号とを混合して合成レーダ信号を生成することを特徴とする請求項1に記載の合成開口レーダシステム。
【請求項3】
前記レーダ信号処理装置は、前記移動体に代えて、地上に設置された地上設備に設けられる請求項1に記載の合成開口レーダシステム。
発明の詳細な説明
【技術分野】
【0001】
本発明は、合成開口レーダシステムに関するものである。
続きを表示(約 1,900 文字)
【背景技術】
【0002】
合成開口レーダ衛星は、衛星に合成開口レーダ(SAR)を搭載することにより、広範囲の地表の状況を把握することができる。合成開口技術は、衛星に搭載されるレーダアンテナからマイクロ波を送信し、地上からの後方散乱波を軌道に沿って受信し、その信号を再合成することにより、搭載したアンテナよりも大開口のアンテナを用いたときと同等の分解能を獲得する技術である。また、軌道進行方向と直交する方向(レンジ方向)には、チャープ信号とよばれる周波数が時間とともに変化する信号を使うことにより、地上の位置を識別している。このチャープ信号の帯域幅が、相関幅を決めており、この相関幅がレンジ方向の分解能を決めている。一方、合成開口技術により獲得されたアジマス方向の分解能は、衛星の速度によって決まるドップラー効果による周波数変化を利用している。
【0003】
例えば、下記の非特許文献1には、軌道上移動する2つの移動体において、一方から送信され、地上で反射されたレーダ波を他方の移動体で受信することで合成開口レーダ画像を生成する技術について開示されている。
【先行技術文献】
【非特許文献】
【0004】
“Bistatic SAR System and Signal Processing Technology”,Robert Wang,Yunkai Deg Springer,2018
【発明の概要】
【発明が解決しようとする課題】
【0005】
上記のように、合成開口レーダの分解能はアジマス方向及びレンジ方向、いずれについても、送信するマイクロ波の周波数変化の大きさ、いわゆる周波数帯域幅に依存している。一般的に帯域幅と分解能は正の相関をもち、高分解能を達成するには帯域幅を増大する必要がある。
【0006】
しかしながら、一方で、レンジ方向の帯域幅は電波法で規定された限界、アジマス方向については、衛星の対地速度に依存するドップラー効果による限界があるため、分解能もこれにより制約を受けている現状がある。
【0007】
したがって、合成開口レーダ衛星が使用するマイクロ波の帯域幅が対地速度もしくは電波法に制約されているために、合成開口レーダの分解能を向上させることができないという問題がある。
【0008】
本発明は、このような事情に鑑みてなされたものであって、等価的に周波数の帯域を広域化させ、時間分解能を向上させることにより、高空間分解能を実現することが可能な合成開口レーダシステムを提供することを目的とする
【課題を解決するための手段】
【0009】
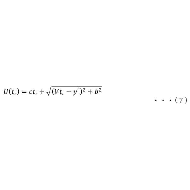
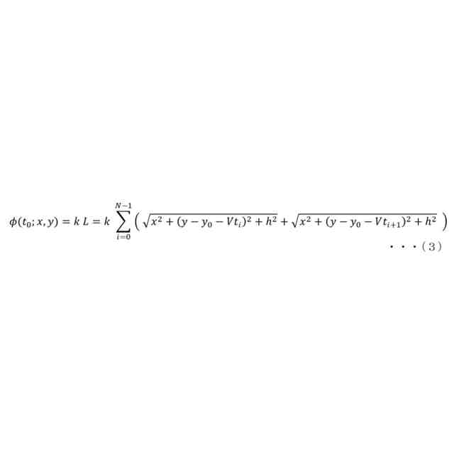
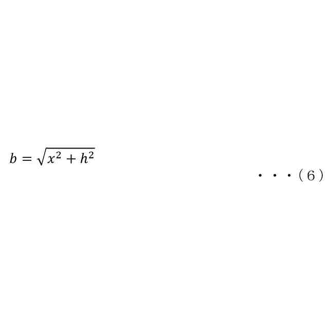
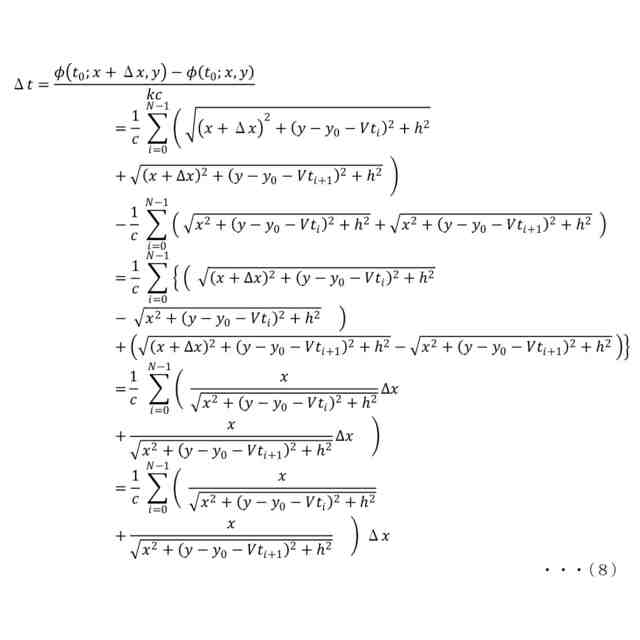
本発明に係る合成開口レーダシステムは、移動体において、レーダ信号生成装置とレーダ波送信部とレーダ波受信部とレーダ信号増幅装置とレーダ信号混合装置とレーダ信号処理装置とを備える合成開口レーダシステムであって、所定のタイミングでレーダ信号を生成するレーダ信号生成装置と、前記レーダ信号に基づいてレーダ波を生成し、生成された前記レーダ波を移動体から地表に照射するレーダ波送信部と、前記レーダ波送信部から送信され、地表で反射された前記レーダ波を受信し、受信した前記レーダ波をレーダ信号に変換するレーダ波受信部と、変換された前記レーダ信号を増幅するレーダ信号増幅装置と、前記レーダ信号増幅装置で増幅された信号と、前記レーダ信号生成装置で生成されたレーダ信号とを混合して合成レーダ信号を生成するレーダ信号混合装置と、地表で複数回反射した前記レーダ波に基づくレーダ信号と前記レーダ信号生成装置で生成された前記レーダ信号に基づいて地表における点散乱体に関する画像データを生成するレーダ信号処理装置とを備え、前記レーダ波送信部は、前記レーダ信号混合装置で生成された前記合成レーダ信号に基づいて前記レーダ波を生成し、生成された前記レーダ波を地表に照射することを特徴とする。
【0010】
この構成によれば、移動体は、生成したレーダ信号からレーダ波を生成し、地表に照射する。移動体は、地表で反射したレーダ波を受信し、そのレーダ波を増幅して再び地表に照射する。この動作を複数回繰り返すことにより、等価的に帯域幅が拡大する。その結果、時間分解能が向上し、レーダ波を用いて構成された画像の分解能が向上する。
【発明の効果】
(【0011】以降は省略されています)
この特許をJ-PlatPat(特許庁公式サイト)で参照する
関連特許
個人
採尿及び採便具
29日前
日本精機株式会社
検出装置
23日前
個人
計量機能付き容器
18日前
個人
アクセサリー型テスター
1か月前
個人
高精度同時多点測定装置
1か月前
甲神電機株式会社
電流検出装置
23日前
株式会社ミツトヨ
測定器
1か月前
日本精機株式会社
発光表示装置
1日前
株式会社カクマル
境界杭
8日前
株式会社トプコン
測量装置
今日
アズビル株式会社
電磁流量計
1か月前
トヨタ自動車株式会社
監視装置
1か月前
大成建設株式会社
風洞実験装置
18日前
ダイキン工業株式会社
監視装置
1か月前
双庸電子株式会社
誤配線検査装置
24日前
個人
システム、装置及び実験方法
1か月前
個人
非接触による電磁パルスの測定方法
21日前
個人
計量具及び計量機能付き容器
18日前
愛知時計電機株式会社
ガスメータ
1か月前
ローム株式会社
半導体装置
1か月前
ローム株式会社
半導体装置
1か月前
日本特殊陶業株式会社
ガスセンサ
今日
TDK株式会社
磁気センサ
1か月前
愛知電機株式会社
軸部材の外観検査装置
1か月前
日本信号株式会社
距離画像センサ
21日前
日本特殊陶業株式会社
ガスセンサ
16日前
大和製衡株式会社
組合せ計量装置
1か月前
大和製衡株式会社
組合せ計量装置
1か月前
長崎県
形状計測方法
1か月前
株式会社デンソー
電流センサ
1か月前
多摩川精機株式会社
冗長エンコーダ
1か月前
ダイハツ工業株式会社
移動支援装置
1か月前
キーコム株式会社
画像作成システム
8日前
日本特殊陶業株式会社
センサ
2日前
日本特殊陶業株式会社
センサ
1か月前
個人
液位検視及び品質監視システム
16日前
続きを見る
他の特許を見る