TOP
|
特許
|
意匠
|
商標
特許ウォッチ
Twitter
他の特許を見る
10個以上の画像は省略されています。
公開番号
2025170216
公報種別
公開特許公報(A)
公開日
2025-11-18
出願番号
2025070753
出願日
2025-04-22
発明の名称
スポーツ用床材
出願人
モンド・ソシエタ・ペル・アチオニ
,
MONDO S.p.A.
,
ポリテクニコ ディ ミラノ
,
POLITECNICO DI MILANO
代理人
個人
,
個人
,
個人
主分類
E01C
13/00 20060101AFI20251111BHJP(道路,鉄道または橋りょうの建設)
要約
【課題】高効率な表面を得る目的で、FR値が製造条件及び/又は施工条件に関係なく一定であるスポーツ活動のための床材を提供する。
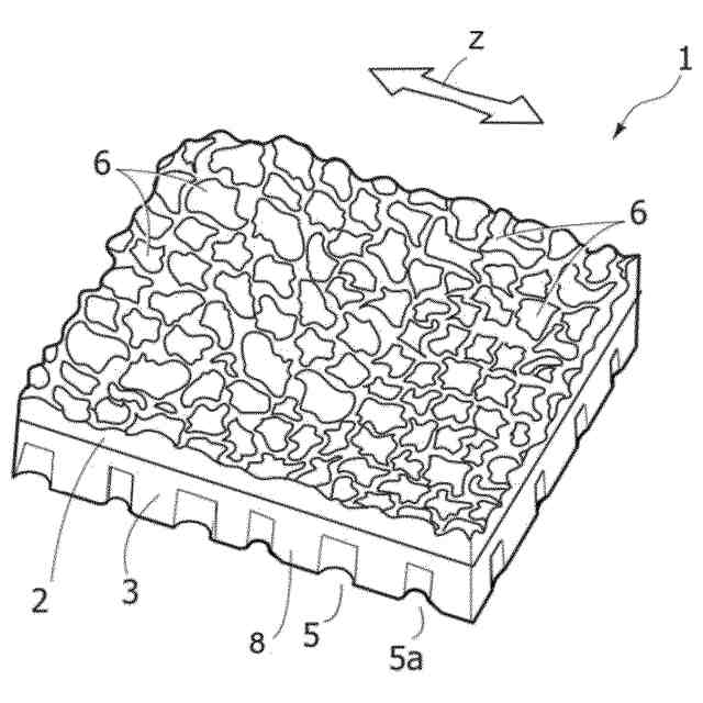
【解決手段】エラストマー材料の少なくとも1層を含むトレッディング層(2)、及びエラストマー材料の少なくとも1層を含む支持層(3)を含む、スポーツ用床材であって、支持層(3)は、楕円断面(5)を有する空隙の第1の配列を含む。
【選択図】図1
特許請求の範囲
【請求項1】
エラストマー材料の少なくとも1層を含むトレッディング層(2)、及び
エラストマー材料の少なくとも1層を含む支持層(3)
を含む、スポーツ用床材(1)であって、
支持層(3)は、楕円断面(5)を有する空隙の第1の配列を含む、スポーツ用床材(1)。
続きを表示(約 1,200 文字)
【請求項2】
請求項1に記載のスポーツ用床材(1)であって、
支持層(3)は、楕円断面(5)を有する空隙の第1の配列を含み、
楕円断面は、床材の長手方向(Z)に向いた長軸(A)を有する、スポーツ用床材(1)。
【請求項3】
請求項1又は2に記載のスポーツ用床材(1)であって、
支持層(3)は、楕円断面(5a)を有する空隙の第2の配列を含み、
楕円断面(5a)は、空隙の第1の配列の空隙の楕円断面の長軸(A)と直交し、かつ、共平面にある第1の軸(a)及び第2の軸(b)を有する、スポーツ用床材(1)。
【請求項4】
請求項3に記載のスポーツ用床材(1)であって、
前記第1の軸(a)及び前記第2の軸(b)は同じ長さを有する、スポーツ用床材(1)。
【請求項5】
請求項3又は4に記載のスポーツ用床材(1)であって、
前記第1の軸(a)及び前記第2の軸(b)は、空隙の第1の配列の空隙(5)の楕円断面の長軸(A)よりも短い長さを有する、スポーツ用床材(1)。
【請求項6】
請求項1~5のいずれか一項に記載のスポーツ用床材(1)であって、
各空隙(5a)は、楕円断面を有し、
第1の軸(a)の長さと第2の軸(b)の長さとの比が、1~2、好ましくは1~1.2である、スポーツ用床材(1)。
【請求項7】
請求項1~6のいずれか一項に記載のスポーツ用床材(1)であって、
支持層(3)は、楕円断面(5)を有する空隙の第1の配列を含み、この楕円断面は、6mm~18mm、好ましくは9mm~15mm、より好ましくは11mm~15mmの長軸(A)を有する、スポーツ用床材(1)。
【請求項8】
請求項1~7のいずれか一項に記載のスポーツ用床材(1)であって、
支持層(3)は、楕円断面(5)を有する空隙の第1の配列を含み、この楕円断面は、6mm~12mm、好ましくは6mm~10mm、より好ましくは7mm~10mmの短軸(B)を有する、スポーツ用床材(1)。
【請求項9】
請求項1~8のいずれか一項に記載のスポーツ用床材(1)であって、
支持層(3)は、楕円断面(5a)を有する空隙の第2の配列を含み、
この第2の配列は、0mm~8mm、好ましくは2mm~6mm、より好ましくは3mm~5mmの第1の軸(a)を有する、スポーツ用床材(1)。
【請求項10】
請求項1~9のいずれか一項に記載のスポーツ用床材(1)であって、
支持層(3)は、楕円断面(5a)を有する空隙の第2の配列を含み、
この第2の配列は、0mm~8mm、好ましくは2mm~6mm、より好ましくは3mm~5mmの第2の軸(b)を有する、スポーツ用床材(1)。
(【請求項11】以降は省略されています)
発明の詳細な説明
【技術分野】
【0001】
本開示の対象を形成するのは、例えば、陸上競技用トラックを作るのに使用するスポーツ用床材(又はスポーツ用フローリング:sports flooring)である。
続きを表示(約 1,700 文字)
【背景技術】
【0002】
本出願人の名義で出願されたEP-0913524、EP-1096080又はEP-2055833等の文献は、エラストマーから構成されたトレッディング層(踏面層:treading layer)、及び、エラストマーから構成された支持層を含むスポーツ用床材を説明する。支持層は、その下側に、即ちトレッディング層とは反対の側に、様々な性質の支持リブ(ribbing)を有する。
【0003】
上記で特定したタイプの床材は、運動場、運動グラウンド及び体育館等のスポーツ活動用の建物において長年に亘って広く使用されてきた。
【0004】
上記の床材は、エラストマーの混合物から出発して、例えば、混合、押し出し、及びカスケード式カレンダー処理のうちの1以上の操作を経て製造される。このようにして、上面にて滑り止め機能、及び下側にて衝撃吸収機能を主に果たす凹凸を有する、全体として波状パターンをトレッディング層の上面に付与できる。
【0005】
文献EP-0913524で説明されている解決策において、床材の下側には、トレッディング層に対して傾斜する横方向のリブが設けられ、このリブは、隣接する横方向のリブを接続するブリッジのように延びる形状に実質的に類似する長手方向リブによって一体に接続されている。2つの異なるタイプのリブを含む不均一なメッシュを用いることにより、床材の走行方向(direction of running)に従って異なるコンプライアンス(通常は、弾性種のレジリエンス(又は復元力)の意味で理解される)の特性を示す床材を製造することが可能である。
【0006】
また、文献EP-1096080で説明されている解決策において、支持層は、トレッディング層に対して傾斜するリブを含む。これらの傾斜するリブは、対で配置され、床材に対しての吸盤固定構造を形成するのに共同する。これらの傾斜するリブは、全体としてわずかな程度で弾性コンプライアンスの特性に寄与し、それゆえに、床材用の支持機能に寄与する。代わりに、この機能は、主にトレッディング層に対して実質的に長手方向である方向で延伸する他のリブに委ねられる。
【0007】
ランニング向けのスポーツ用床材といえば、「横方向(transverse)」及び「縦方向(longitudinal)」という用語は、床材上における走行方向を参照することを意図する。問題となる床材をロール状に巻かれたシートの形態で通常生産する限り、走行方向は、固有の方法で特定できる。シートは、次々と「縦方向」(即ち、長さ又は延長方向)に床上で展開され、シートの長手方向は、まさに走行方向で延伸している。また、この方向は、カレンダー処理を行う方向に通常対応する。
【0008】
従って、文献EP-0913524及びEP-1096080の具体的な対象を構成する解決策は、支持層の下側に設けられる空隙(又は空洞:cavity)が、種々の機能(支持リブ/固定リブ)及び/又は規格に適合する種々の特性を備えた種々の不均質(又は不均一)なメッシュを構成するリブにより区切られていることを特徴とする。
【0009】
長年に亘って、上述のタイプの床材の特性を正確かつ定量的に特定することを可能にする機器及び手順が開発されてきた。規格EN 14877は、屋外スポーツ施設用の床面に関して方法及びパラメーターを定め、仕様を規定している。規格EN 14904は、屋内マルチスポーツの床面を規制し、取り扱う。
【0010】
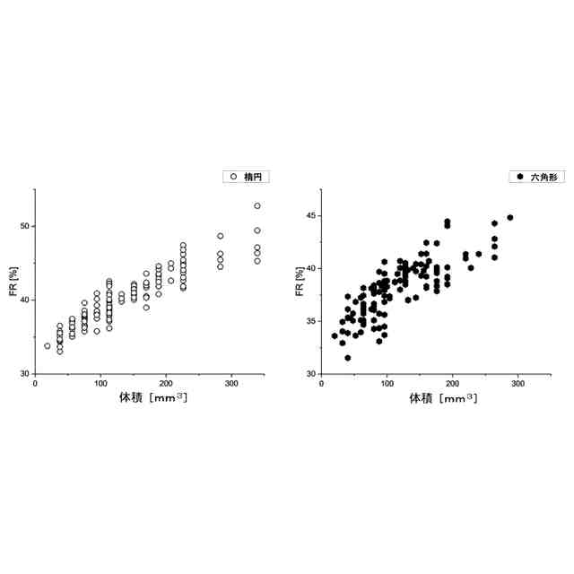
特に、規格EN 14808は、パラメーター、即ち「力の低減(force reduction)(FR)」の規定を可能にし、これは、標準的な寸法の重りを床に落とした場合に、同様の応力を受ける硬質の表面が示す挙動(behaviour)と比較して、パーセンテージで表す、床材の挙動の特性に実質的に対応する。
(【0011】以降は省略されています)
特許ウォッチbot のツイートを見る
この特許をJ-PlatPat(特許庁公式サイト)で参照する
関連特許
株式会社熊谷組
床版
1か月前
株式会社熊谷組
床版
1か月前
株式会社セイトク
防雪パネル
1か月前
白出商事株式会社
縁石銘板(名板)
1か月前
コスモテック株式会社
表示装置
19日前
株式会社NIPPO
斜面用ローラ
1か月前
株式会社NIPPO
斜面用ローラ
1か月前
株式会社 林物産発明研究所
道路安全体
6日前
株式会社ササキコーポレーション
作業機
1か月前
株式会社NIPPO
距離補正装置
1か月前
戸田建設株式会社
コンクリート構造
1か月前
株式会社NIPPO
切削用制御装置
1か月前
三信工業株式会社
床版架設装置
1か月前
桑名金属工業株式会社
融雪マットおよび融雪方法
1か月前
戸田建設株式会社
鋼製ブラケットの取付装置
1か月前
戸田建設株式会社
鋼製ブラケットの取付装置
1か月前
東亜グラウト工業株式会社
防護柵の支柱構造
1か月前
株式会社丸治コンクリート工業所
防護柵
今日
株式会社川金コアテック
橋梁用鋼弾塑性ダンパー
14日前
西尾レントオール株式会社
コーンベット型電源装置
1か月前
株式会社NIPPO
バンク用建設機械サポータ装置
1か月前
株式会社NIPPO
アスファルトスタッカ制御装置
1か月前
日鉄神鋼建材株式会社
補強金具、及び支柱取付構造
1か月前
日立建機株式会社
転圧機械
1か月前
日鉄建材株式会社
吊り材で支持された足場用床パネル
1か月前
鹿島建設株式会社
床版架設方法
1か月前
株式会社日本コンポジット工業
壁用構造体
1か月前
オリエンタル白石株式会社
補強鋼板及び排土方法
1か月前
宮地エンジニアリング株式会社
ワイヤブリッジの設置方法
1か月前
ダンレックス株式会社
表示装置
7日前
三井住友建設株式会社
床版拡幅工法
1か月前
株式会社プロテックエンジニアリング
衝撃吸収柵
1か月前
東日本旅客鉄道株式会社
横取り方法
1か月前
鹿島建設株式会社
橋、および橋の製造方法
1か月前
清水建設株式会社
床版架設装置および床版架設方法
6日前
愛知製鋼株式会社
磁気マーカの施工方法および施工用の補助工具
20日前
続きを見る
他の特許を見る