TOP
|
特許
|
意匠
|
商標
特許ウォッチ
Twitter
他の特許を見る
10個以上の画像は省略されています。
公開番号
2025164281
公報種別
公開特許公報(A)
公開日
2025-10-30
出願番号
2024068110
出願日
2024-04-19
発明の名称
情報処理装置、情報処理方法及びプログラム
出願人
東京エレクトロン株式会社
代理人
個人
,
個人
主分類
H01L
21/02 20060101AFI20251023BHJP(基本的電気素子)
要約
【課題】処理容器内の温度の予測精度を向上する。
【解決手段】第1の基板処理装置が備える処理容器内の温度を予測する学習済みモデルを取得するモデル取得部と、第2の基板処理装置が備える処理容器内の温度を測定したセンサデータを取得するデータ取得部と、学習済みモデル及びセンサデータに基づいて、第1の基板処理装置と第2の基板処理装置との温度応答性の差を示すパラメータを最適化する最適化部と、学習済みモデル及びパラメータに基づいて、第2の基板処理装置が備える処理容器内の温度を予測する予測部と、を備える情報処理装置が提供される。
【選択図】図4
特許請求の範囲
【請求項1】
第1の基板処理装置が備える処理容器内の温度を予測する学習済みモデルを取得するように構成されているモデル取得部と、
第2の基板処理装置が備える処理容器内の温度を測定したセンサ値を示すセンサデータを取得するように構成されているデータ取得部と、
前記学習済みモデル及び前記センサデータに基づいて、前記第1の基板処理装置と前記第2の基板処理装置との温度応答性の差を示すパラメータを最適化するように構成されている最適化部と、
前記学習済みモデル及び前記パラメータに基づいて、前記第2の基板処理装置が備える処理容器内の温度を予測するように構成されている予測部と、
を備える情報処理装置。
続きを表示(約 1,200 文字)
【請求項2】
請求項1に記載の情報処理装置であって、
前記予測部は、前記学習済みモデルに基づいて予測した前記温度の予測値を、前記パラメータを用いて補正する、
情報処理装置。
【請求項3】
請求項2に記載の情報処理装置であって、
前記最適化部は、前記予測値を示す予測データと前記センサデータとの差に基づいて、前記パラメータを更新するように構成されている、
情報処理装置。
【請求項4】
請求項3に記載の情報処理装置であって、
前記最適化部は、ベイズ最適化により前記パラメータを最適化するように構成されている、
情報処理装置。
【請求項5】
請求項1から4のいずれかに記載の情報処理装置であって、
前記パラメータは、前記処理容器の温度制御に関する設定情報と、前記処理容器内の温度差との関係を示す、
情報処理装置。
【請求項6】
請求項5に記載の情報処理装置であって、
前記処理容器は、複数のゾーンに分割されており、
前記パラメータは、前記ゾーンそれぞれにおける前記設定情報と前記温度差との関係を示す、
情報処理装置。
【請求項7】
請求項5に記載の情報処理装置であって、
前記設定情報は、前記処理容器の内部を加熱する加熱部の電力及び前記処理容器の内部を冷却する冷却部の出力を含む、
情報処理装置。
【請求項8】
請求項1から4のいずれかに記載の情報処理装置であって、
前記センサデータは、設定温度が異なる複数のプロセスを含むレシピを実行したときに測定した前記温度の時系列データである、
情報処理装置。
【請求項9】
請求項1から4のいずれかに記載の情報処理装置であって、
前記最適化部は、第1の時点で測定された前記センサデータに基づいて最適化した前記パラメータを、第2の時点で測定された前記センサデータに基づいて最適化するように構成されている、
情報処理装置。
【請求項10】
情報処理装置が、
第1の基板処理装置が備える処理容器内の温度を予測する学習済みモデルを取得する手順と、
第2の基板処理装置が備える処理容器内の温度を測定したセンサデータを取得する手順と、
前記学習済みモデル及び前記センサデータに基づいて、前記第1の基板処理装置と前記第2の基板処理装置との温度応答性の差を示すパラメータを最適化する手順と、
前記学習済みモデル及び前記パラメータに基づいて、前記第2の基板処理装置が備える処理容器内の温度を予測する手順と、
を実行する情報処理方法。
(【請求項11】以降は省略されています)
発明の詳細な説明
【技術分野】
【0001】
本開示は、情報処理装置、情報処理方法及びプログラムに関する。
続きを表示(約 1,600 文字)
【背景技術】
【0002】
被処理体を処理する処理容器内の温度を予測する技術が知られている。例えば、特許文献1には、被処理体を収容する処理容器と複数のヒータと複数の温度センサとを備え、温度センサの出力から処理容器内の被処理体の温度を推定するための熱モデルを記憶し、温度センサの出力から、該熱モデルを用いて、処理容器内の被処理体の温度を予想し、予想した温度に基づいてヒータを制御することにより、被処理体に熱処理を施す熱処理装置の校正方法が開示されている。
【先行技術文献】
【特許文献】
【0003】
特開2005-026397号公報
【発明の概要】
【発明が解決しようとする課題】
【0004】
本開示は、処理容器内の温度の予測精度を向上する技術を提供する。
【課題を解決するための手段】
【0005】
本開示の一の態様によれば、第1の基板処理装置が備える処理容器内の温度を予測する学習済みモデルを取得するモデル取得部と、第2の基板処理装置が備える処理容器内の温度を測定したセンサデータを取得するデータ取得部と、学習済みモデル及びセンサデータに基づいて、第1の基板処理装置と第2の基板処理装置との温度応答性の差を示すパラメータを最適化する最適化部と、学習済みモデル及びパラメータに基づいて、第2の基板処理装置が備える処理容器内の温度を予測する予測部と、を備える情報処理装置が提供される。
【発明の効果】
【0006】
一つの側面では、処理容器内の温度の予測精度を向上できる。
【図面の簡単な説明】
【0007】
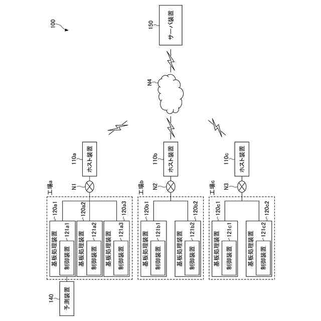
基板処理システムの全体構成の一例を示すブロック図である。
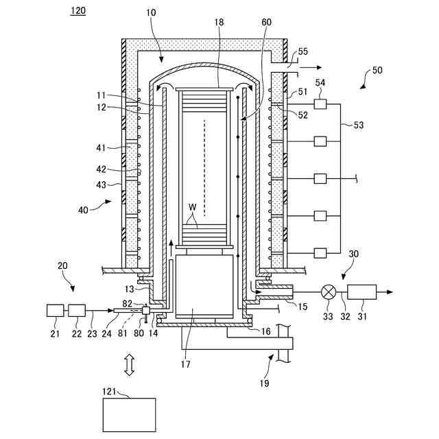
基板処理装置の一例を示す概略断面図である。
コンピュータのハードウェア構成の一例を示すブロック図である。
予測装置の機能構成の一例を示すブロック図である。
最適化処理の一例を示すフローチャートである。
予測処理の一例を示すフローチャートである。
予測装置の運用フローの一例を示す図である。
ベイズ最適化による探索過程の一例を示す図である。
最適化前後の予測誤差の比較結果の一例を示す図である。
最適化前の予測精度の一例を示す図である。
最適化後の予測精度の一例を示す図である。
【発明を実施するための形態】
【0008】
以下、図面を参照して本開示を実施するための形態について説明する。各図面において、同一構成部分には同一符号を付し、重複した説明を省略する場合がある。
【0009】
[実施形態]
本開示の一実施形態は、被処理体の一例である基板を処理する基板処理システムである。本実施形態では、基板処理システムは、基板の一例である半導体ウェハを処理容器内で熱処理する基板処理装置を含む。また、基板処理システムは、半導体ウェハを熱処理する処理容器内の温度(以下、「炉内温度」とも呼ぶ)を予測する予測装置を含む。
【0010】
従来、炉内温度を予測する予測モデルは、基準となる基板処理装置(以下、「基本装置」とも呼ぶ)に設けられた温度センサで測定したセンサ値を示すセンサデータに基づいて構築されている。個々の基板処理装置の間には差が存在するため、基本装置以外の基板処理装置(以下、「対象装置」とも呼ぶ)を対象として炉内温度を予測すると、予測精度が低下することがある。以下、基本装置のセンサデータを用いて構築された予測モデルを、「基本モデル」とも呼ぶ。基本装置は、第1の基板処理装置の一例である。対象装置は、第2の基板処理装置の一例である。
(【0011】以降は省略されています)
この特許をJ-PlatPat(特許庁公式サイト)で参照する
関連特許
東京エレクトロン株式会社
基板処理装置
4日前
東京エレクトロン株式会社
成膜方法及び成膜装置
3日前
東京エレクトロン株式会社
熱処理装置及び熱処理方法
3日前
東京エレクトロン株式会社
基板処理装置及び静電チャック
3日前
東京エレクトロン株式会社
液処理装置、液処理方法及び記憶媒体
3日前
東京エレクトロン株式会社
ハイブリッド接合を用いてダイを積層するためのパッド及びその方法
4日前
東京エレクトロン株式会社
基板処理装置、およびコイルの周囲にフェライトシールド部を設ける方法
3日前
東京エレクトロン株式会社
基板処理方法及び基板処理システム
3日前
東京エレクトロン株式会社
プラズマ処理方法およびプラズマ処理装置
3日前
東ソー株式会社
絶縁電線
1か月前
APB株式会社
蓄電セル
1か月前
個人
フレキシブル電気化学素子
1か月前
日新イオン機器株式会社
イオン源
1か月前
マクセル株式会社
電源装置
24日前
ローム株式会社
半導体装置
1か月前
株式会社東芝
端子台
24日前
株式会社ユーシン
操作装置
1か月前
ローム株式会社
半導体装置
1か月前
株式会社GSユアサ
蓄電装置
17日前
三菱電機株式会社
回路遮断器
11日前
株式会社GSユアサ
蓄電装置
25日前
株式会社GSユアサ
蓄電設備
1か月前
株式会社GSユアサ
蓄電装置
25日前
株式会社GSユアサ
蓄電設備
1か月前
株式会社GSユアサ
蓄電装置
3日前
オムロン株式会社
電磁継電器
1か月前
富士電機株式会社
電磁接触器
3日前
太陽誘電株式会社
コイル部品
1か月前
株式会社ホロン
冷陰極電子源
1か月前
日東電工株式会社
積層体
1か月前
トヨタ自動車株式会社
バッテリ
1か月前
ノリタケ株式会社
熱伝導シート
1か月前
サクサ株式会社
電池の固定構造
1か月前
日本特殊陶業株式会社
保持装置
16日前
トヨタ自動車株式会社
冷却構造
1か月前
トヨタ自動車株式会社
蓄電装置
25日前
続きを見る
他の特許を見る