TOP
|
特許
|
意匠
|
商標
特許ウォッチ
Twitter
他の特許を見る
10個以上の画像は省略されています。
公開番号
2025163808
公報種別
公開特許公報(A)
公開日
2025-10-30
出願番号
2024067346
出願日
2024-04-18
発明の名称
走査光学系及び光学処理装置
出願人
株式会社ディスコ
代理人
個人
,
個人
,
個人
,
個人
,
個人
,
個人
主分類
G02B
13/00 20060101AFI20251023BHJP(光学)
要約
【課題】それぞれが所定の波長範囲に属し、かつ、互いに異なる波長を有する光の色収差を小さくすることが可能な走査光学系を提供する。
【解決手段】光を被走査面において集束するためのfθレンズを含む走査光学系であって、fθレンズは、ミラー側から順に並ぶように配設される、正の屈折力を有する第1レンズ群と、負の屈折力を有する第2レンズ群と、正の屈折力を有する第3レンズ群と、正の屈折力を有する第4レンズ群と、から構成される。第1レンズ群は、ミラー側から順に並ぶように配設される、光の入射側が凸面である第1正レンズと、光の射出側が凹面である第1負レンズと、を有する。第2レンズ群は、ミラー側から順に並ぶように配設される、両凹レンズである第2負レンズと、両凸レンズであり、かつ、光の入射側の凸面が第2負レンズの光の射出側の凹面に貼り合わせられている第2正レンズと、を有する。
【選択図】図3
特許請求の範囲
【請求項1】
それぞれが所定の波長範囲に属し、かつ、互いに異なる波長を有する光を反射するためのミラーと、該ミラーによって反射された該光が所定の角度範囲において偏向するように該ミラーを変位させるための駆動源と、該ミラーによって反射された該光を被走査面において集束するためのfθレンズと、を含む走査光学系であって、
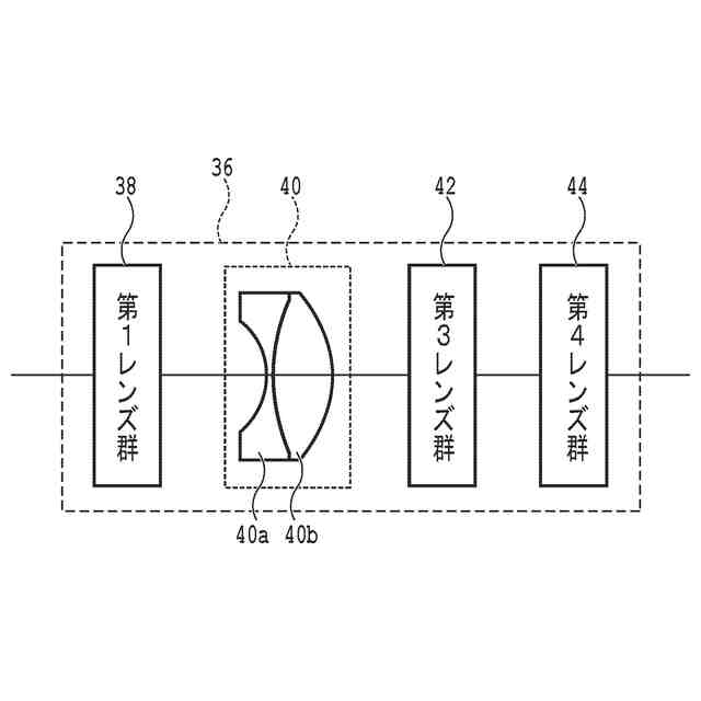
該fθレンズは、該ミラー側から順に並ぶように配設される、正の屈折力を有する第1レンズ群と、負の屈折力を有する第2レンズ群と、正の屈折力を有する第3レンズ群と、正の屈折力を有する第4レンズ群と、から構成され、
該第1レンズ群は、該ミラー側から順に並ぶように配設される、該光の入射側が凸面である第1正レンズと、該光の射出側が凹面である第1負レンズと、を有し、
該第2レンズ群は、該ミラー側から順に並ぶように配設される、両凹レンズである第2負レンズと、両凸レンズであり、かつ、該光の入射側の凸面が該第2負レンズの該光の射出側の凹面に貼り合わせられている第2正レンズと、を有する走査光学系。
続きを表示(約 1,900 文字)
【請求項2】
波長が587.6nmのd線に対する該fθレンズの合成焦点距離をF、該d線に対する該第1レンズ群の合成焦点距離をF1、該d線に対する該第2レンズ群の合成焦点距離をF2、該d線に対する該第3レンズ群の合成焦点距離をF3、該d線に対する該第4レンズ群の合成焦点距離をF4としたときに、下記の数式(1)~(4)の全てを充足する請求項1に記載の走査光学系。
TIFF
2025163808000024.tif
11
128
TIFF
2025163808000025.tif
12
129
TIFF
2025163808000026.tif
12
129
TIFF
2025163808000027.tif
13
127
【請求項3】
該第1正レンズの該光の射出側の面と該第1負レンズの該光の入射側の面とは、貼り合わされており、
該第3レンズ群は、該ミラー側から順に並ぶように配設される、該光の入射側が凹面である第3負レンズと、該光の射出側が凸面であり、かつ、該光の入射側の面が該第3負レンズの該光の射出側の面に貼り合わせられている第3正レンズと、を有する請求項2に記載の走査光学系。
【請求項4】
該第1正レンズと該第1負レンズとは、離隔するように配設され、
該第3レンズ群は、該ミラー側から順に並ぶように配設される、該光の入射側が凹面である第3負レンズと、該光の射出側が凸面であり、かつ、該光の入射側の面が該第3負レンズの該光の射出側の面に貼り合わせられている第3正レンズと、を有する請求項2に記載の走査光学系。
【請求項5】
該第4レンズ群は、複数の正レンズを有する請求項2乃至4のいずれかに記載の走査光学系。
【請求項6】
該第1正レンズの該光の射出側の面と該第1負レンズの該光の入射側の面とは、貼り合わされており、
該第3レンズ群は、該光の入射側が凹面である正メニスカスレンズを有する請求項2に記載の走査光学系。
【請求項7】
それぞれが所定の波長範囲に属し、かつ、互いに異なる波長を有する光を射出するための光源と、
該光を反射するためのミラーと、該ミラーによって反射された該光が所定の角度範囲において偏向するように該ミラーを変位させるための駆動源と、該ミラーによって反射された該光を被走査面において集束するためのfθレンズと、を含む走査光学系と、を備える光学処理装置であって、
該fθレンズは、該ミラー側から順に並ぶように配設される、正の屈折力を有する第1レンズ群と、負の屈折力を有する第2レンズ群と、正の屈折力を有する第3レンズ群と、正の屈折力を有する第4レンズ群と、から構成され、
該第1レンズ群は、該ミラー側から順に並ぶように配設される、該光の入射側が凸面である第1正レンズと、該光の射出側が凹面である第1負レンズと、を有し、
該第2レンズ群は、該ミラー側から順に並ぶように配設される、両凹レンズである第2負レンズと、両凸レンズであり、かつ、該光の入射側の凸面が該第2負レンズの該光の射出側の凹面に貼り合わせられている第2正レンズと、を有する光学処理装置。
【請求項8】
光電変換器と、該光電変換器から電気信号が入力されるコントローラと、をさらに備え、
該光源は、該波長範囲に属する非単波長の光を射出し、
該非単波長の光は、該走査光学系によって集束されて該被走査面に位置する薄膜に照射され、
該光電変換器は、該薄膜の表面及び裏面のそれぞれにおいて反射されて干渉した該非単波長の光のスペクトルを示す該電気信号を出力し、
該コントローラは、該電気信号に基づいて該薄膜の厚さを特定する請求項7に記載の光学処理装置。
【請求項9】
コントローラをさらに備え、
該光源は、
該波長範囲に属する第1波長の第1レーザービームを射出するための第1発振器と、
該波長範囲に属し、かつ、該第1波長と異なる第2波長の第2レーザービームを射出するための第2発振器と、を有し、
該第1レーザービーム及び該第2レーザービームのそれぞれは、該走査光学系によって集束されて該被走査面に位置する被加工物に照射され、
該コントローラは、該第1レーザービーム又は該第2レーザービームのいずれかが選択的に該被加工物に照射されるように該第1発振器及び該第2発振器を制御する請求項7に記載の光学処理装置。
発明の詳細な説明
【技術分野】
【0001】
本発明は、ミラーとミラーを変位させるための駆動源とミラーによって反射された光を被走査面において集束するためのfθレンズとを含む走査光学系と、光源と走査光学系とを備える光学処理装置と、に関する。
続きを表示(約 2,900 文字)
【背景技術】
【0002】
半導体製造工程においては、所定の単波長を有する光を利用して所望の処理を行う光学処理装置が利用されている。例えば、半導体ウェーハ等の被加工物上に形成された薄膜に含有されている吸光剤によって吸収される波長のレーザービームを利用して、この薄膜の厚さを測定することが可能な光学処理装置が知られている(例えば、特許文献1参照)。また、被加工物においてアブレーションを生じさせる、又は、その素材を変質させるレーザービームを利用して、被加工物を加工することが可能な光学処理装置も知られている。
【0003】
光学処理装置においては、一般的に、ミラーとミラーを変位させるための駆動源とミラーによって反射された光を被走査面において集束するためのfθレンズとを含む走査光学系が利用されている(例えば、特許文献2参照)。そして、所定の単波長を有する光を走査光学系によって集束して被加工物に照射する場合、光学処理装置における処理(例えば、薄膜の厚さの測定又は被加工物の加工等)を精度よく行うことが可能になる。
【先行技術文献】
【特許文献】
【0004】
特開2012-104532号公報
特開2015-102623号公報
【発明の概要】
【発明が解決しようとする課題】
【0005】
光学処理装置における処理は、それぞれが所定の波長範囲に属し、かつ、互いに異なる波長を有する光を利用して行われることがある。例えば、薄膜の厚さは、その表面及び裏面のそれぞれにおいて反射されて干渉した非単波長の光のスペクトルに基づいて、すなわち、分光干渉法を利用して測定されることがある。また、被加工物は、その素材等に応じて波長が異なる2種以上のレーザービームのいずれかが選択的に照射されることによって加工されることもある。
【0006】
ただし、非単波長の光又は波長が異なる2種以上の波長のレーザービームを被走査面において集束するために共通の走査光学系が利用される場合、大きな色収差が生じて光学処理装置における処理を精度良く行うことが困難になるおそれがある。この点に鑑み、本発明の目的は、それぞれが所定の波長範囲に属し、かつ、互いに異なる波長を有する光の色収差を小さくすることが可能な走査光学系と、所望の処理を精度良く行うことが可能な光学処理装置と、を提供することである。
【課題を解決するための手段】
【0007】
本発明の一側面によれば、それぞれが所定の波長範囲に属し、かつ、互いに異なる波長を有する光を反射するためのミラーと、該ミラーによって反射された該光が所定の角度範囲において偏向するように該ミラーを変位させるための駆動源と、該ミラーによって反射された該光を被走査面において集束するためのfθレンズと、を含む走査光学系であって、該fθレンズは、該ミラー側から順に並ぶように配設される、正の屈折力を有する第1レンズ群と、負の屈折力を有する第2レンズ群と、正の屈折力を有する第3レンズ群と、正の屈折力を有する第4レンズ群と、から構成され、該第1レンズ群は、該ミラー側から順に並ぶように配設される、該光の入射側が凸面である第1正レンズと、該光の射出側が凹面である第1負レンズと、を有し、該第2レンズ群は、該ミラー側から順に並ぶように配設される、両凹レンズである第2負レンズと、両凸レンズであり、かつ、該光の入射側の凸面が該第2負レンズの該光の射出側の凹面に貼り合わせられている第2正レンズと、を有する走査光学系が提供される。
【0008】
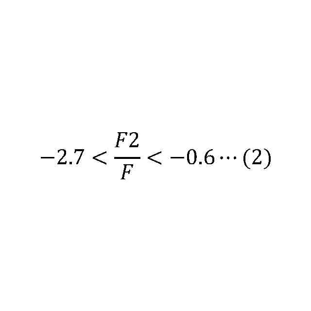
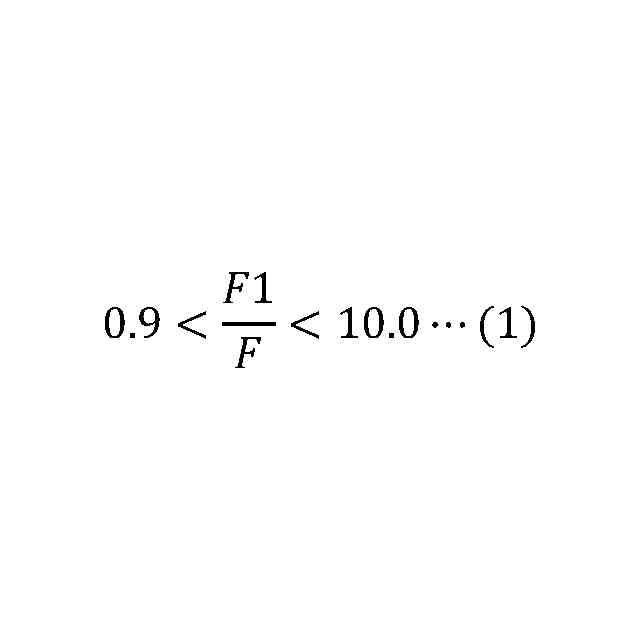
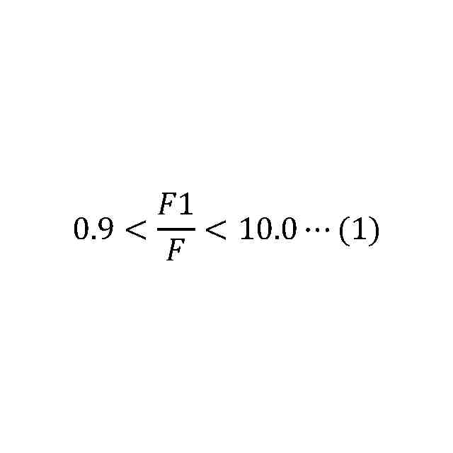
さらに、本発明の走査光学系においては、波長が587.6nmのd線に対する該fθレンズの合成焦点距離をF、該d線に対する該第1レンズ群の合成焦点距離をF1、該d線に対する該第2レンズ群の合成焦点距離をF2、該d線に対する該第3レンズ群の合成焦点距離をF3、該d線に対する該第4レンズ群の合成焦点距離をF4としたときに、下記の数式(1)~(4)の全てを充足することが好ましい
TIFF
2025163808000002.tif
14
128
TIFF
2025163808000003.tif
14
128
TIFF
2025163808000004.tif
14
128
TIFF
2025163808000005.tif
14
128
【0009】
なお、本発明の走査光学系においては、例えば、該第1正レンズの該光の射出側の面と該第1負レンズの該光の入射側の面とは、貼り合わされており、該第3レンズ群は、該ミラー側から順に並ぶように配設される、該光の入射側が凹面である第3負レンズと、該光の射出側が凸面であり、かつ、該光の入射側の面が該第3負レンズの該光の射出側の面に貼り合わせられている第3正レンズと、を有してもよい。あるいは、本発明の走査光学系においては、該第1正レンズと該第1負レンズとは、離隔するように配設され、該第3レンズ群は、該ミラー側から順に並ぶように配設される、該光の入射側が凹面である第3負レンズと、該光の射出側が凸面であり、かつ、該光の入射側の面が該第3負レンズの該光の射出側の面に貼り合わせられている第3正レンズと、を有してもよい。さらに、本発明の走査光学系においては、該第4レンズ群は、複数の正レンズを有してもよい。あるいは、本発明の走査光学系においては、該第1正レンズの該光の射出側の面と該第1負レンズの該光の入射側の面とは、貼り合わされており、該第3レンズ群は、該光の入射側が凹面である正メニスカスレンズを有してもよい。
【0010】
本発明の別の側面によれば、それぞれが所定の波長範囲に属し、かつ、互いに異なる波長を有する光を射出するための光源と、該光を反射するためのミラーと、該ミラーによって反射された該光が所定の角度範囲において偏向するように該ミラーを変位させるための駆動源と、該ミラーによって反射された該光を被走査面において集束するためのfθレンズと、を含む走査光学系と、を備える光学処理装置であって、該fθレンズは、該ミラー側から順に並ぶように配設される、正の屈折力を有する第1レンズ群と、負の屈折力を有する第2レンズ群と、正の屈折力を有する第3レンズ群と、正の屈折力を有する第4レンズ群と、から構成され、該第1レンズ群は、該ミラー側から順に並ぶように配設される、該光の入射側が凸面である第1正レンズと、該光の射出側が凹面である第1負レンズと、を有し、該第2レンズ群は、該ミラー側から順に並ぶように配設される、両凹レンズである第2負レンズと、両凸レンズであり、かつ、該光の入射側の凸面が該第2負レンズの該光の射出側の凹面に貼り合わせられている第2正レンズと、を有する光学処理装置が提供される。
(【0011】以降は省略されています)
この特許をJ-PlatPat(特許庁公式サイト)で参照する
関連特許
株式会社ディスコ
焼成炉
1か月前
株式会社ディスコ
切削装置
26日前
株式会社ディスコ
加工装置
1か月前
株式会社ディスコ
研削装置
1か月前
株式会社ディスコ
加工装置
17日前
株式会社ディスコ
処理装置
1か月前
株式会社ディスコ
加工装置
1か月前
株式会社ディスコ
加工方法
1か月前
株式会社ディスコ
加工装置
20日前
株式会社ディスコ
加工装置
25日前
株式会社ディスコ
加工装置
1か月前
株式会社ディスコ
加工装置
1か月前
株式会社ディスコ
加工装置
5日前
株式会社ディスコ
加工装置
4日前
株式会社ディスコ
掃除器具
4日前
株式会社ディスコ
掃除器具
4日前
株式会社ディスコ
切削装置
1か月前
株式会社ディスコ
処理方法
4日前
株式会社ディスコ
搬送システム
1か月前
株式会社ディスコ
搬送システム
1か月前
株式会社ディスコ
搬送システム
4日前
株式会社ディスコ
搬送システム
1か月前
株式会社ディスコ
搬送システム
4日前
株式会社ディスコ
搬送システム
4日前
株式会社ディスコ
シート固着装置
19日前
株式会社ディスコ
レーザー加工装置
19日前
株式会社ディスコ
保護部材形成装置
1か月前
株式会社ディスコ
抗折強度測定装置
1か月前
株式会社ディスコ
液状樹脂供給装置
1か月前
株式会社ディスコ
保護部材形成装置
1か月前
株式会社ディスコ
配線引き抜き治具
1か月前
株式会社ディスコ
加工室の洗浄方法
28日前
株式会社ディスコ
スピンドルユニット
17日前
株式会社ディスコ
カーフチェック方法
1か月前
株式会社ディスコ
ウェーハの分割方法
1か月前
株式会社ディスコ
ウエーハの加工方法
1か月前
続きを見る
他の特許を見る