TOP
|
特許
|
意匠
|
商標
特許ウォッチ
Twitter
他の特許を見る
10個以上の画像は省略されています。
公開番号
2025158329
公報種別
公開特許公報(A)
公開日
2025-10-17
出願番号
2024060760
出願日
2024-04-04
発明の名称
船舶の積み付け計画作成装置、船舶の積み付け計画作成方法、およびプログラム
出願人
三菱重工業株式会社
代理人
弁理士法人酒井国際特許事務所
主分類
G06Q
10/04 20230101AFI20251009BHJP(計算;計数)
要約
【課題】固定部材の数を最適に設定した、船舶における貨物の積み付け計画を作成する。
【解決手段】船舶の積み付け計画作成装置は、積み付けの対象となる複数の貨物の大きさの情報を含む貨物情報と、船舶において貨物が配置される領域で延在する複数のレーンの情報であるレーン情報とを取得する貨物情報取得部と、レーンに貨物を配置する際の制約条件を取得する制約条件取得部と、貨物の大きさの情報に基づいて、制約条件を満たすように、船舶において貨物を固定する固定部材の数が最適となる最適化計算を行って、最適化計算の結果が最適となる際のそれぞれの貨物について、配置するレーンとレーン上の位置を設定する最適化計算実行部と、を含む。
【選択図】図2
特許請求の範囲
【請求項1】
積み付けの対象となる複数の貨物の大きさの情報を含む貨物情報と、船舶において前記貨物が配置される領域で延在する複数のレーンの情報であるレーン情報とを取得する貨物情報取得部と、
前記レーンに前記貨物を配置する際の制約条件を取得する制約条件取得部と、
前記貨物の大きさの情報に基づいて、前記制約条件を満たすように、前記船舶において前記貨物を固定する固定部材の数が最適となる最適化計算を行って、前記最適化計算の結果が最適となる際のそれぞれの前記貨物について、配置する前記レーンと前記レーン上の位置を設定する最適化計算実行部と、
を含む
船舶の積み付け計画作成装置。
続きを表示(約 1,900 文字)
【請求項2】
各前記レーンを、第1端部から第2端部への長さに応じた所定の数で区切った際の、前記区切られた1つの領域をメッシュとすると、
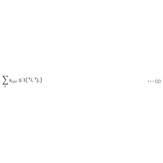
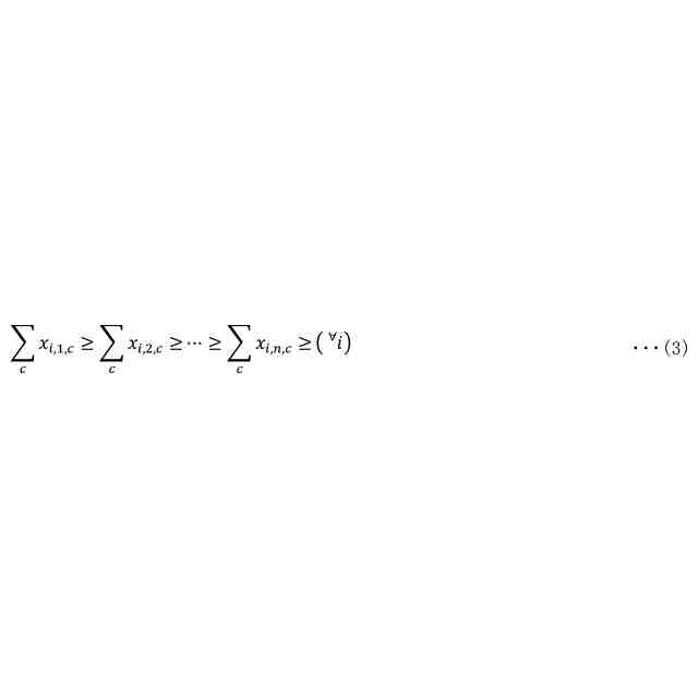
前記制約条件が、1つの前記メッシュには2つ以上の貨物を配置しないことと、前記貨物は、前記レーンの前記第1端部側から詰めて配置することと、搬出優先度が高い貨物程、前記レーンの前記第1端部側に配置することと、前記貨物のうちで予め決められた特殊貨物を、予め決められた特殊メッシュに配置することと、
を含む、
請求項1に記載の船舶の積み付け計画作成装置。
【請求項3】
前記最適化計算実行部は、前記貨物を固定する固定部材の数と、前記貨物を搭載した前記船舶の重心位置と理想重心の位置とのずれ量と、有人貨物を配置する前記レーン数と、ターンテーブル上に配置する貨物数と、前記レーンからはみ出して配置された前記貨物数と、前記レーンに配置された急ぎ指定貨物数とを目的関数として、前記最適化計算を行う、
請求項2に記載の船舶の積み付け計画作成装置。
【請求項4】
前記最適化計算実行部は、前記船舶において前記貨物を固定する固定部材の数が出来るだけ少なくなり、前記貨物を搭載した前記船舶の重心が、前記船舶の理想重心位置に出来るだけ近づき、有人貨物を配置する前記レーン数が出来るだけ少なくなり、ターンテーブル上の貨物数が出来るだけ少なくなり、前記レーンからはみ出して配置された前記貨物数が出来るだけ少なくなり、かつ、前記レーンに配置された急ぎ指定貨物数の前記レーンごとの差が出来るだけ小さくなるように、最適化計算を行う、
請求項3に記載の船舶の積み付け計画作成装置。
【請求項5】
前記最適化計算実行部は、前記貨物を搭載した前記船舶の重心位置と理想重心の位置とのずれ量と、有人貨物を配置する前記レーン数と、ターンテーブル上に配置する貨物数と、前記レーンからはみ出して配置する貨物数と、前記レーンに配置された前記搬出優先度が高い貨物数とを初期目的関数として、前記制約条件を満たすように最適化計算を行って初期解を算出し、
前記最適化計算実行部は、前記初期解と、前記初期目的関数に前記貨物を固定する固定部材の数を加えた目的関数とを用いて、前記制約条件を満たし、かつ前記船舶において前記貨物を固定する固定部材の数が最適となる前記最適化計算を行って最適解を算出する、
請求項2から請求項4のいずれか1項に記載の船舶の積み付け計画作成装置。
【請求項6】
前記積み付け作業を実施中に、前記貨物情報取得部が前記貨物の到着遅れを示す情報である貨物到着遅れ情報を取得した場合、前記貨物情報取得部は、前記積み付け対象となる複数の前記貨物から、前記積み付け作業が完了した前記貨物を除外した前記貨物を示す情報を、新たな前記貨物情報として取得し、
前記貨物情報取得部は、前記船舶において前記貨物を配置する前記複数のレーンの前記メッシュから、前記積み付け作業が完了した前記メッシュを除いた前記複数のレーンの情報を、新たな前記レーン情報として取得し、
前記最適化計算を行う、
請求項5に記載の船舶の積み付け計画作成装置。
【請求項7】
積み付けの対象となる複数の貨物の大きさの情報を含む貨物情報と、船舶において前記貨物が配置される領域で延在する複数のレーンの情報であるレーン情報とを取得するステップと、
前記レーンに前記貨物を配置する際の制約条件を取得するステップと、
前記貨物の大きさの情報に基づいて、前記制約条件を満たすように、前記船舶において前記貨物を固定する固定部材の数が最適となる最適化計算を行って、前記最適化計算の結果が最適となる際の、それぞれの前記貨物について、配置する前記レーンと前記レーン上の位置を設定するステップと、
を含む船舶の積み付け計画作成方法。
【請求項8】
積み付けの対象となる複数の貨物の大きさの情報を含む貨物情報と、船舶において前記貨物が配置される領域で延在する複数のレーンの情報であるレーン情報とを取得するステップと、
前記レーンに前記貨物を配置する際の制約条件を取得するステップと、
前記貨物の大きさの情報に基づいて、前記制約条件を満たすように、前記船舶において前記貨物を固定する固定部材の数が最適となる最適化計算を行って、前記最適化計算の結果が最適となる際の、それぞれの前記貨物について、配置する前記レーンと前記レーン上の位置を設定するステップと、
をコンピュータに実行させるプログラム。
発明の詳細な説明
【技術分野】
【0001】
本開示は、船舶の積み付け計画作成装置、船舶の積み付け計画作成方法、およびプログラムに関する。
続きを表示(約 1,900 文字)
【背景技術】
【0002】
積み荷を運搬する船舶においては、運航の安全を担保しつつ、貨物を最大限積載することが重要である。特許文献1には、航路において予想される海象から、船舶に生じる実波浪モーメントを見積り、その実波浪モーメントの予測値に基づいて貨物の積み付け計画を作成する方法が記載されている。
【先行技術文献】
【特許文献】
【0003】
特許第6742549号公報
【発明の概要】
【発明が解決しようとする課題】
【0004】
貨物を船舶に積み付ける際には、所定の位置に貨物を配置した後、荷崩れ防止のために、ケーブルなどの固定部材により、貨物を船舶に固縛するラッシング作業が行われる。しかしながら、ラッシング作業に用いる固定部材の数が過少だと、荷崩れが起きる可能性があり、固定部材の数が過大だと、本来不要な工数が発生するおそれがある。特許文献1に記載された積み付け計画作成方法は、海象の情報と、船舶の構造に関する情報から実波浪モーメントを予測し、その予測値から船舶の貨物積載量を計画することができるが、固縛する固定部材の数については考慮できていない。従って、固定部材の数を適切に設定することが求められている。
【0005】
本開示は、上記に鑑みてなされたものであって、固定部材の数を適切に設定可能な、船舶の積み付け計画作成装置、船舶の積み付け計画作成方法、およびプログラムを提供することを目的とする。
【課題を解決するための手段】
【0006】
本開示に係る船舶の積み付け計画作成装置は、積み付けの対象となる複数の貨物の大きさの情報を含む貨物情報と、船舶において前記貨物が配置される領域で延在する複数のレーンの情報であるレーン情報とを取得する貨物情報取得部と、前記レーンに前記貨物を配置する際の制約条件を取得する制約条件取得部と、前記貨物の大きさの情報に基づいて、前記制約条件を満たすように、前記船舶において前記貨物を固定する固定部材の数が最適となる最適化計算を行って、前記最適化計算の結果が最適となる際のそれぞれの前記貨物について、配置する前記レーンと前記レーン上の位置を設定する最適化計算実行部とを含むことを特徴とする。
【0007】
本開示に係る船舶の積み付け計画作成方法は、積み付けの対象となる複数の貨物の大きさの情報を含む貨物情報と、船舶において前記貨物が配置される領域で延在する複数のレーンの情報であるレーン情報とを取得するステップと、前記レーンに前記貨物を配置する際の制約条件を取得するステップと、前記貨物の大きさの情報に基づいて、前記制約条件を満たすように、前記船舶において前記貨物を固定する固定部材の数が最適となる最適化計算を行って、前記最適化計算の結果が最適となる際の、それぞれの前記貨物について、配置する前記レーンと前記レーン上の位置を設定するステップとを含むことを特徴とする。
【0008】
本開示に係るプログラムは、積み付けの対象となる複数の貨物の大きさの情報を含む貨物情報と、船舶において前記貨物が配置される領域で延在する複数のレーンの情報であるレーン情報とを取得するステップと、前記レーンに前記貨物を配置する際の制約条件を取得するステップと、前記貨物の大きさの情報に基づいて、前記制約条件を満たすように、前記船舶において前記貨物を固定する固定部材の数が最適となる最適化計算を行って、前記最適化計算の結果が最適となる際の、それぞれの前記貨物について、配置する前記レーンと前記レーン上の位置を設定するステップとをコンピュータに実行させることを特徴とする。
【発明の効果】
【0009】
本開示によれば、船舶の構造、及び貨物固有の制約条件を満足しながら、貨物固縛用の固定部材を適切な数に設定された貨物の積み付け計画を作成する、船舶の積み付け計画作成装置、船舶の積み付け計画作成方法、およびプログラムを提供することができる。
【図面の簡単な説明】
【0010】
図1は、貨物の模式図である。
図2は、船舶の貨物室の模式的な平面図である。
図3は、図2のA-A’断面図である。
図4は、第1実施形態に係る積み付け計画作成装置の模式的なブロック図である。
図5は、第1実施形態に係る積み付け計画作成のフローチャートである。
図6は、第2実施形態に係る積み付け計画作成及びリスケジューリング実施時のフローチャートである。
【発明を実施するための形態】
(【0011】以降は省略されています)
この特許をJ-PlatPat(特許庁公式サイト)で参照する
関連特許
三菱重工業株式会社
加熱装置
2日前
三菱重工業株式会社
皮膜形成装置
9日前
三菱重工業株式会社
超音波探傷方法
9日前
三菱重工業株式会社
ポンプシステム
9日前
三菱重工業株式会社
メタン酸化触媒装置
9日前
三菱重工業株式会社
ガスタービン制御方法
2日前
三菱重工業株式会社
炭化炉及びその制御方法
9日前
三菱重工業株式会社
バーナ及びこれを備えたボイラ
9日前
三菱重工業株式会社
バーナ及びこれを備えたボイラ
9日前
三菱重工業株式会社
燃料噴射装置および往復動内燃機関
3日前
三菱重工業株式会社
水素製造システム及び水素製造方法
9日前
三菱重工業株式会社
洗浄装置、分離システム及び洗浄方法
9日前
三菱重工業株式会社
渦電流探傷装置、及び渦電流探傷方法
9日前
三菱重工業株式会社
蓄圧システム及び蓄圧システムの運転方法
10日前
三菱重工業株式会社
電解セルカートリッジおよびその製造方法
4日前
三菱重工業株式会社
電解モジュールの冷却方法及び電解システム
9日前
三菱重工業株式会社
接着剤の膜厚測定方法、および接合部材の製造方法
4日前
三菱重工業株式会社
制御装置、CO2回収装置、制御方法及びプログラム
2日前
三菱重工業株式会社
経路設定方法、移動体、管理システム及びプログラム
4日前
三菱重工業株式会社
劣化判定装置、劣化判定システム、および、劣化判定方法
2日前
三菱重工業株式会社
タービン架台及びタービン装置並びにタービン架台の製造方法
9日前
三菱重工業株式会社
粉砕テーブル及び固体燃料粉砕装置並びに粉砕テーブルの補修方法
9日前
三菱重工業株式会社
制御装置、ガスタービンの燃料供給系統、制御方法及びプログラム
5日前
三菱重工業株式会社
固体燃料粉砕装置及びボイラ設備並びに固体燃料粉砕装置の運転方法
10日前
三菱重工業株式会社
濃度算出装置、燃焼制御装置、濃度算出方法及び濃度算出プログラム
10日前
三菱重工業株式会社
船舶の積み付け計画作成装置、船舶の積み付け計画作成方法、およびプログラム
2日前
三菱重工業株式会社
熱電併給用蒸気生成システム及び熱電併給システム並びに熱電併給用蒸気生成方法
9日前
三菱重工業株式会社
ガスタービン制御装置、ガスタービン制御方法、及び、ガスタービン制御プログラム
5日前
三菱重工業株式会社
放射性廃棄物収納用セパレータ、放射性廃棄物収納容器および放射性廃棄物収納方法
5日前
三菱重工業株式会社
炭素強度演算装置、これを用いた合成燃料製造プラント、炭素強度演算方法及び炭素強度演算プログラム
9日前
三菱重工業株式会社
CO2回収装置用蒸気生成システム及びこれを備えたCO2回収装置並びにCO2回収装置用蒸気生成方法
9日前
個人
詐欺保険
5日前
個人
縁伊達ポイン
5日前
個人
工程設計支援装置
2か月前
個人
地球保全システム
18日前
個人
QRコードの彩色
9日前
続きを見る
他の特許を見る