TOP
|
特許
|
意匠
|
商標
特許ウォッチ
Twitter
他の特許を見る
10個以上の画像は省略されています。
公開番号
2025152980
公報種別
公開特許公報(A)
公開日
2025-10-10
出願番号
2024055201
出願日
2024-03-29
発明の名称
電力変換器、充電装置及び車両
出願人
株式会社GSユアサ
代理人
個人
,
個人
主分類
H02M
3/28 20060101AFI20251002BHJP(電力の発電,変換,配電)
要約
【課題】大電力化を実現できるマルチフェーズ型の電力変換器を提供する。
【解決手段】N個のLLC回路10
n
を備える。LLC回路10
n
は、共振インダクタLra、Lrb、トランスTの一次巻線Pa、Pb及び共振キャパシタCrを含む直列共振回路が第1スイッチングレッグの出力点と第2スイッチングレッグの出力点との間に接続される。N個のLLC回路10
n
を360°/Nの位相差を有するN相のマルチフェーズで動作させる制御部20を備える。LLC回路10
n
は、共振キャパシタCrの一端に接続された相間接続用の共振キャパシタCrxと、共振キャパシタCrの他端に接続された相間接続用の共振キャパシタCryとを備える。
【選択図】図2
特許請求の範囲
【請求項1】
直列に接続された上スイッチ素子及び下スイッチ素子をそれぞれ含む第1スイッチングレッグと第2スイッチングレッグとを有し、直流電圧の正極と負極との間に、前記第1スイッチングレッグと前記第2スイッチングレッグとが接続され、共振インダクタ、トランスの一次巻線及び第1共振キャパシタを含む直列共振回路が前記第1スイッチングレッグの出力点と前記第2スイッチングレッグの出力点との間に接続された、N個(Nは2以上の自然数)のフルブリッジLLCコンバータと、
N個の前記フルブリッジLLCコンバータを360°/Nの位相差を有するN相のマルチフェーズで動作させる制御部と、を備え、
前記フルブリッジLLCコンバータは、前記第1共振キャパシタの一端に接続された相間接続用の第2共振キャパシタと、
前記第1共振キャパシタの他端に接続された相間接続用の第3共振キャパシタと、を備える電力変換器。
続きを表示(約 1,200 文字)
【請求項2】
前記第1共振キャパシタの一端は、前記第2共振キャパシタを介して第1中性点に接続され、
前記第1共振キャパシタの他端は、前記第3共振キャパシタを介して第2中性点に接続される請求項1記載の電力変換器。
【請求項3】
前記第1中性点に一端が接続された第1相異常検知キャパシタと、
前記第2中性点に一端が接続された第2相異常検知キャパシタと、
互いに接続された前記第1相異常検知キャパシタ及び前記第2相異常検知キャパシタの他端と共通電位との間に接続された相異常検知抵抗と、を含む相異常検知回路を備える請求項2記載の電力変換器。
【請求項4】
前記第2共振キャパシタは、他の相の前記第2共振キャパシタとΔ結線され、
前記第3共振キャパシタは、他の相の前記第3共振キャパシタとΔ結線される請求項1記載の電力変換器。
【請求項5】
Δ結線された前記第2共振キャパシタとΔ結線された前記第3共振キャパシタとの少なくともいずれか一方の各辺のそれぞれに一端が接続された相異常検知キャパシタと、
互いに接続された前記相異常検知キャパシタの他端と共通電位との間に接続された相異常検知抵抗と、を含む相異常検知回路を備える請求項4記載の電力変換器。
【請求項6】
各相の前記トランスの二次巻線の一端にそれぞれ接続され、前記二次巻線に誘起される交流を整流してダイオードブリッジ回路と、
前記ダイオードブリッジ回路の正側出力端子と負側出力端子との間に接続される出力キャパシタと、
互いに接続された各相の前記二次巻線の他端と前記ダイオードブリッジ回路の前記負側出力端子との間に直列に接続された倍電圧用キャパシタ及び切替スイッチと、を含む整流平滑回路を備える請求項1記載の電力変換器。
【請求項7】
360°/Nの位相差を有するN相のマルチフェーズで動作するN個の前記フルブリッジLLCコンバータをM段(Mは2以上の自然数)構成とし、
同一相の前記トランスの二次巻線は、直列に接続される請求項1記載の電力変換器。
【請求項8】
前記制御部は、前記第1スイッチングレッグ及び前記第2スイッチングレッグにおける前記上スイッチ素子と前記下スイッチ素子とのいずれか一方を常時オン状態とし、他方を常時オフ状態とする常時オン動作で、1以上の段の前記フルブリッジLLCコンバータを駆動させる請求項7記載の電力変換器。
【請求項9】
蓄電池を充電する充電装置であって、
前記直流電圧を、前記蓄電池を充電する出力電圧に変換する請求項1に記載の電力変換器を備える充電装置。
【請求項10】
蓄電池が搭載された車両であって、
車外からの供給電力を、前記蓄電池を充電する出力電圧に変換する請求項1に記載の電力変換器を備える車両。
発明の詳細な説明
【技術分野】
【0001】
本発明は、直流電圧を所望の出力電圧に変換する電力変換器に関する。
続きを表示(約 1,800 文字)
【背景技術】
【0002】
電気自動車等に搭載された蓄電池(バッテリー)を充電する充電装置は、大電力化が求められている。大電力化を実現する電力変換器は、相数(動作フェーズ数)を複数にし、位相をずらして各相を駆動するマルチフェーズ型の電力変換器が知られている(例えば、特許文献1参照)。
【先行技術文献】
【特許文献】
【0003】
特許第6696617号公報
【発明の概要】
【発明が解決しようとする課題】
【0004】
さらなる大電力化を実現するためには、相数を増やすことが考えられる。しかしながら、相数が増えるほど、用意する相補スイッチの駆動信号(相補ゲートドライブ信号)も増加する。従って、相数の増加に伴う制御も複雑となり、制御に関わる回路が大規模化するなど、多相化による電力拡張は容易にできなかった。
【0005】
本発明の一態様は、駆動信号を増やすことなく、大電力化を実現できるマルチフェーズ型の電力変換器、充電装置及び車両を提供することにある。
【課題を解決するための手段】
【0006】
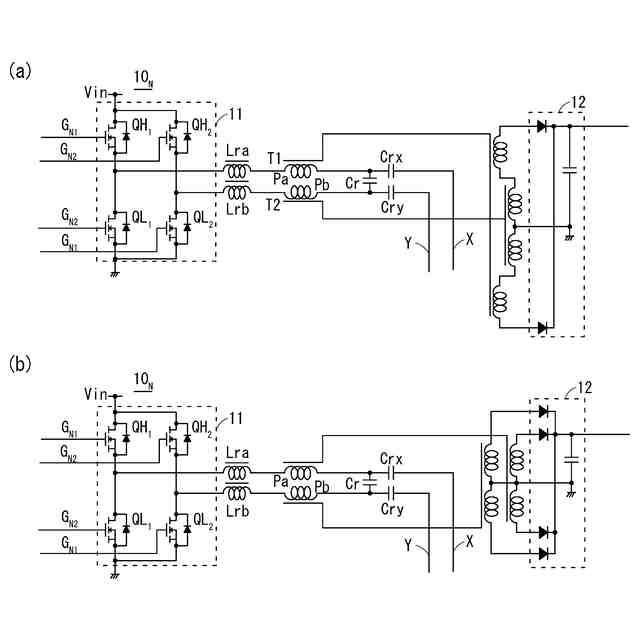
本発明の一態様に係る電力変換器は、N個(Nは2以上の自然数)のフルブリッジLLCコンバータを備える。フルブリッジLLCコンバータは、直列に接続された上スイッチ素子及び下スイッチ素子をそれぞれ含む第1スイッチングレッグと第2スイッチングレッグとを有する。フルブリッジLLCコンバータは、直流電圧の正極と負極との間に、第1スイッチングレッグと第2スイッチングレッグとが接続される。フルブリッジLLCコンバータは、共振インダクタ、トランスの一次巻線及び第1共振キャパシタを含む直列共振回路が第1スイッチングレッグの出力点と第2スイッチングレッグの出力点との間に接続される。電力変換器は、N個のフルブリッジLLCコンバータを360°/Nの位相差を有するN相のマルチフェーズで動作させる制御部を備える。フルブリッジLLCコンバータは、第1共振キャパシタの一端に接続された相間接続用の第2共振キャパシタと、第1共振キャパシタの他端に接続された相間接続用の第3共振キャパシタとを備える。
【発明の効果】
【0007】
本発明の一態様によれば、駆動信号を増やすことなく、大電力化を実現できる。フルブリッジLLCコンバータは、ハーフブリッジLLCコンバータに対して、同じ電力であれば、トランスTの1次側に流れる電流を1/2にでき、大電力化、高圧入力化に適する。
【図面の簡単な説明】
【0008】
電力変換器の充電装置としての使用例を示す図である。
電力変換器の構成例を示す図である。
制御部が出力する駆動信号を示す図である。
LLC回路の他の構成例を示す図である。
HVDC入力対応のフルブリッジ回路の構成例を示す図である。
相異常検知回路を備えた電力変換器の他の構成例を示す図である。
共振キャパシタの接続を変更した電力変換器の他の構成例を示す図である。
相異常検知回路の他の構成例を示す図である。
二次側回路の他の構成例を示す図である。
二次側回路の切替動作を示す図である。
3相/1相動作切替時の駆動信号を示す図である。
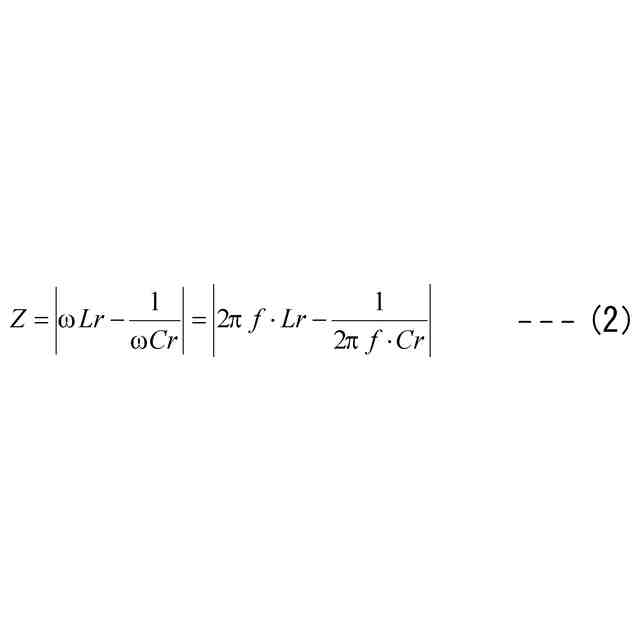
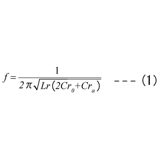
1相/3相動作の切り替えによる共振周波数変化を示す図である。
3次高調波の1次側共振電流を示す図である。
M段構成の電力変換器の構成例を示す図である。
常時オン動作時の電力変換器を示す図である。
インピーダンスの変化を示す図である。
各駆動モードの出力特性例を示す図である。
【発明を実施するための形態】
【0009】
以下、図を参照して本発明の実施の形態を詳細に説明する。以下の実施の形態において、同様の機能を示す構成には、同一の符号を付して適宜説明を省略する。
【0010】
本実施の形態の電力変換器1は、図1を参照すると、電気自動車等の車両2に搭載された蓄電池3(バッテリー)を充電する充電装置として用いられる。
(【0011】以降は省略されています)
この特許をJ-PlatPat(特許庁公式サイト)で参照する
関連特許
株式会社GSユアサ
蓄電設備
3日前
株式会社GSユアサ
蓄電装置
10日前
株式会社GSユアサ
PCS盤
4日前
株式会社GSユアサ
蓄電装置
14日前
株式会社GSユアサ
蓄電設備
3日前
株式会社GSユアサ
鉛蓄電池
6日前
株式会社GSユアサ
温度保護装置及び蓄電装置
18日前
株式会社GSユアサ
鉛蓄電池用極板及び鉛蓄電池
5日前
株式会社GSユアサ
鉛蓄電池用極板及び鉛蓄電池
5日前
株式会社GSユアサ
電力変換器、充電装置及び車両
3日前
株式会社GSユアサ
保護装置、蓄電装置、及び保護方法
24日前
株式会社GSユアサ
FETの駆動回路、保護装置及び蓄電装置
14日前
株式会社GSユアサ
全固体蓄電素子及び全固体蓄電素子の製造方法
12日前
株式会社GSユアサ
電力変換器、多脚トランス、充電装置及び車両
3日前
株式会社GSユアサ
コンバータ、パワーコンディショナ及び蓄電システム
14日前
株式会社GSユアサ
非水電解質蓄電素子、その使用方法及びその製造方法
5日前
株式会社GSユアサ
エネルギー貯蔵システム、蓄電バンクの初期充電方法
4日前
株式会社GSユアサ
電力変換器、電力変換器の制御方法、充電装置及び車両
3日前
株式会社GSユアサ
推定装置、推定システム、推定方法及び推定プログラム
24日前
株式会社GSユアサ
エネルギー貯蔵システム、蓄電池盤の満充電容量計測方法。
4日前
株式会社GSユアサ
蓄電設備の予防保全装置、予防保全方法、及びコンピュータプログラム
24日前
株式会社GSユアサ
コンバータシステム、コンバータシステムの制御方法及び無停電電源システム
14日前
株式会社GSユアサ
硫化物固体電解質及び全固体電池
18日前
株式会社GSユアサ
情報処理方法、オークションシステム、情報処理装置、及び、コンピュータプログラム
14日前
株式会社GSユアサ
電力変換器、充電装置、車両、電源装置、力率改善回路、DC-DCコンバータおよびインバータ
12日前
株式会社GSユアサ
充放電システム、及び、充放電システムの制御方法
14日前
個人
バッテリ内蔵直流電源
24日前
株式会社アイシン
ロータ
3日前
株式会社FUJI
制御盤
14日前
西部電機株式会社
充電装置
6日前
オムロン株式会社
電源回路
18日前
日本精機株式会社
サージ保護回路
6日前
オムロン株式会社
電源回路
18日前
西部電機株式会社
充電装置
6日前
オムロン株式会社
電源回路
18日前
トヨタ自動車株式会社
回転子
10日前
続きを見る
他の特許を見る