TOP
|
特許
|
意匠
|
商標
特許ウォッチ
Twitter
他の特許を見る
公開番号
2025148797
公報種別
公開特許公報(A)
公開日
2025-10-08
出願番号
2024049098
出願日
2024-03-26
発明の名称
ビーム追従システム
出願人
国立大学法人 東京大学
代理人
弁理士法人フィールズ国際特許事務所
主分類
H04W
16/28 20090101AFI20251001BHJP(電気通信技術)
要約
【課題】O-RANを用いて、移動体通信装置に対して高い精度でビーム追従できる。
【解決手段】O-RAN(Open Radio Access Network)で構築されたシステムであって、広域で接続できる第1無線通信を介して、移動体通信装置が測定した実測位置情報を含む移動情報を第1時間ごとに取得する取得部と、前記実測位置情報と道路情報を用いて、前記第1時間より短い第2時間経過後の前記移動体通信装置の推定位置を推定する推定処理を行う推定部と、前記推定位置に応じたビーム放射パターンを決定する決定部と、前記第2時間経過後に前記決定したビーム放射パターンでビームを放射するよう制御する制御部と、を有する制御装置と、前記制御装置の制御に応じて、前記移動体通信装置にビームを放射する放射装置と、を有する。
【選択図】図3
特許請求の範囲
【請求項1】
O-RAN(Open Radio Access Network)で構築されたシステムであって、
広域で接続できる第1無線通信を介して、移動体通信装置が測定した実測位置情報を含む移動情報を第1時間ごとに取得する取得部と、
前記実測位置情報と道路情報を用いて、前記第1時間より短い第2時間経過後の前記移動体通信装置の推定位置を推定する推定処理を行う推定部と、
前記推定位置に応じたビーム放射パターンを決定する決定部と、
前記第2時間経過後に前記決定したビーム放射パターンでビームを放射するよう制御する制御部と、を有する制御装置と、
前記制御装置の制御に応じて、前記移動体通信装置にビームを放射する放射装置と、を有する
ビーム追従システム。
続きを表示(約 580 文字)
【請求項2】
前記推定部は、前記推定処理において、前記推定位置と前記道路情報を用いて、さらに前記第2時間経過したときの前記移動体通信装置の位置の推定を行い、前記第1時間が経過して次の実測位置情報を取得するまで前記推定処理を繰り返す
請求項1記載のビーム追従システム。
【請求項3】
前記移動情報は、前記移動体通信装置の移動速度及び移動方向に関する情報を含み、
前記推定部は、前記推定処理において、前記移動速度及び前記移動方向を使用し、さらに、前記第2時間経過後の前記移動体通信装置の推定移動速度及び推定移動方向を推定し、
前記繰り返す前記推定処理において、前記推定移動速度及び前記推定移動方向を使用する
請求項2記載のビーム追従システム。
【請求項4】
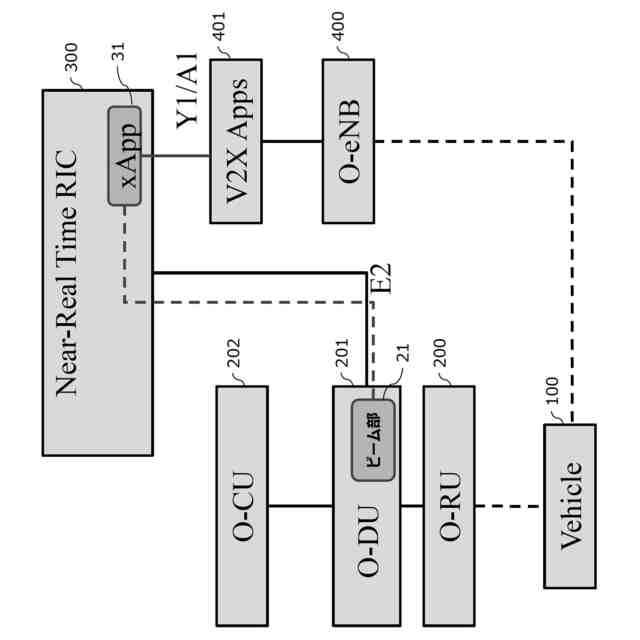
前記制御装置は、ビーム制御用アプリケーションを有するNear-Real Time RICであり、
前記放射装置は、O-DUであり、配下のO-RUを制御することでビームを放射する
請求項1記載のビーム追従システム。
【請求項5】
さらに、第2制御装置を有し、
前記第2制御装置は、前記道路情報を有し、前記第1時間間隔での前記ビームの制御を行うことができる
請求項1記載のビーム追従システム。
発明の詳細な説明
【技術分野】
【0001】
本発明は、ビーム追従システムに関する。
続きを表示(約 1,300 文字)
【背景技術】
【0002】
近年、O-RAN(Open Radio Access Network)の導入により、さまざまなベンダーが参画しやすいオープンな通信システムが形成されている。O-RANにおいて、サードパーティーのアプリケーションとRANとを接続するインタフェースとして、RIC(RAN Intelligent Controller)の標準化がワーキンググループで議論されている。
【0003】
しかし、ワーキンググループの議論では、RICについては、RAN情報を利用した取り組みに重点が置かれており、SON(Self-organizing Network)における議論と大きな差異がない。その結果、RICが有する機能であるxAPP(external Application)を十分に活用できていない。
【0004】
O-RANに関する技術は、例えば、以下に開示されている。
【先行技術文献】
【特許文献】
【0005】
US11569398B1
【非特許文献】
【0006】
O-RAN.WG1.OAD-R003-v10.00
O-RAN.WG2.Non-RT-RIC-ARCH-R003-v04.00
O-RAN.WG3.E2GAP-R003-v04.01
【発明の概要】
【発明が解決しようとする課題】
【0007】
O-RANに関する技術として、自動車にV2X(Vehicle to Everything)通信におけるビームを追従させるビーム追従システムがある。しかし、ビーム追従システムでは、道路が湾曲している場合や車両の速度変化がある場合など、自動車の将来の位置を推定する精度が低く、ビームを正確に追従できないことがあった。
【0008】
そこで、一開示は、O-RANを用いて、移動体通信装置に対して高い精度でビーム追従できるビーム追従システムを提供する。
【課題を解決するための手段】
【0009】
O-RAN(Open Radio Access Network)で構築されたシステムであって、広域で接続できる第1無線通信を介して、移動体通信装置が測定した実測位置情報を含む移動情報を第1時間ごとに取得する取得部と、前記実測位置情報と道路情報を用いて、前記第1時間より短い第2時間経過後の前記移動体通信装置の推定位置を推定する推定処理を行う推定部と、前記推定位置に応じたビーム放射パターンを決定する決定部と、前記第2時間経過後に前記決定したビーム放射パターンでビームを放射するよう制御する制御部と、を有する制御装置と、前記制御装置の制御に応じて、前記移動体通信装置にビームを放射する放射装置と、を有する。
【発明の効果】
【0010】
一開示は、O-RANを用いて、移動体通信装置に対して高い精度でビーム追従できる。
【図面の簡単な説明】
(【0011】以降は省略されています)
この特許をJ-PlatPat(特許庁公式サイト)で参照する
関連特許
国立大学法人 東京大学
プロペラ
5か月前
国立大学法人 東京大学
ガス処理方法
17日前
国立大学法人 東京大学
担持金属触媒
1か月前
国立大学法人 東京大学
せん妄判定方法
2か月前
国立大学法人 東京大学
化学センサ用基材
5か月前
国立大学法人 東京大学
コンパレータ回路
21日前
国立大学法人 東京大学
ソフトエクソスーツ
5か月前
国立大学法人 東京大学
微粒子分離システム
4か月前
国立大学法人 東京大学
ビーム追従システム
12日前
国立大学法人 東京大学
光学装置及びレーザー
3か月前
国立大学法人 東京大学
振動変換器及び噴霧器
5か月前
国立大学法人 東京大学
超音波モータシステム
1か月前
国立大学法人 東京大学
超音波モータシステム
1か月前
国立大学法人 東京大学
超音波モータシステム
1か月前
国立大学法人 東京大学
結晶、及びその製造方法
2か月前
AGC株式会社
組成物
3か月前
国立大学法人 東京大学
粘性の測定装置及び方法
6か月前
国立大学法人 東京大学
テラヘルツ帯同期検波回路
1か月前
国立大学法人 東京大学
肝臓オルガノイド成熟培地
11日前
国立大学法人 東京大学
制御装置、および制御方法
6か月前
国立大学法人 東京大学
推定装置、及びプログラム
1か月前
国立大学法人 東京大学
生分解性ポリマー複合材料
5か月前
国立大学法人 東京大学
消化管幹細胞活性化用組成物
5か月前
国立大学法人 東京大学
テラヘルツ波帯位相変調回路
1か月前
NTT株式会社
圧力センサ
1か月前
国立大学法人 東京大学
読出回路及び磁気メモリ装置
1か月前
国立大学法人 東京大学
接着性細胞の浮遊培養用基材
17日前
国立大学法人 東京大学
嗅覚受容体の応答感度増強剤
3か月前
国立大学法人 東京大学
ドローンを用いた配送システム
17日前
住友化学株式会社
原子力電池
4か月前
国立大学法人 東京大学
炭酸カルシウム結晶の製造方法
5か月前
国立大学法人 東京大学
情報処理装置、及びプログラム
1か月前
株式会社アイシン
有機酸除去方法
4か月前
国立大学法人 東京大学
スピーカー及びオーディオシステム
6か月前
国立大学法人 東京大学
光デバイス及びコヒーレント受信器
1か月前
積水化学工業株式会社
酸素発生剤
1か月前
続きを見る
他の特許を見る