TOP
|
特許
|
意匠
|
商標
特許ウォッチ
Twitter
他の特許を見る
10個以上の画像は省略されています。
公開番号
2025144978
公報種別
公開特許公報(A)
公開日
2025-10-03
出願番号
2024044934
出願日
2024-03-21
発明の名称
ドローンを用いた配送システム
出願人
国立大学法人 東京大学
,
三井不動産株式会社
代理人
弁理士法人瑛彩知的財産事務所
主分類
G06Q
10/083 20240101AFI20250926BHJP(計算;計数)
要約
【課題】 無人航空機を用いて建物の上下階間で荷物の配送を行うための仕組みを提供する。
【解決手段】 配送システムは、吹き抜けを有する複数階の建物内において、無人航空機を用いた上下階間の荷物の配送を管理する管理手段を有し、荷物の配送に利用される無人航空機の台数は、建物の構造、無人航空機の仕様、単位時間あたりの配送の要求回数のうち、少なくとも1つに基づいて決定されることを特徴とする。
【選択図】 図1
特許請求の範囲
【請求項1】
配送システムであって、
吹き抜けを有する複数階の建物内において、無人航空機を用いた上下階間の荷物の配送を管理する管理手段を有し、
荷物の配送に利用される前記無人航空機の台数は、前記建物の構造、前記無人航空機の仕様、単位時間あたりの配送の要求回数のうち、少なくとも1つに基づいて決定される
ことを特徴とする配送システム。
続きを表示(約 1,100 文字)
【請求項2】
前記建物の構造には、前記建物の階数、前記建物の階高、各階の世帯数のうち、少なくとも1つが含まれることを特徴とする、請求項1に記載の配送システム。
【請求項3】
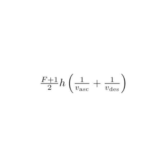
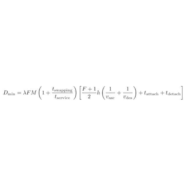
前記無人航空機の仕様には、前記無人航空機の上昇速度、前記無人航空機の下降速度、前記無人航空機に荷物を取り付ける時間、前記無人航空機から荷物を取り外す時間、前記無人航空機のバッテリの交換時間、前記無人航空機が1回のバッテリ交換で飛行可能な時間のうち、少なくとも1つが含まれることを特徴とする、請求項1に記載の配送システム。
【請求項4】
前記建物は、平面視で略矩形の吹き抜けを有し、
平面視で前記吹き抜け内の対角に位置するように1以上の階に設置された一対の発着場をさらに有する
ことを特徴とする、請求項1に記載の配送システム。
【請求項5】
前記吹き抜け内に設置された複数の発着場であって、隣接する上下階間で、平面視で重ならないように設置された複数の発着場をさらに有することを特徴とする、請求項1に記載の配送システム。
【請求項6】
配送システムであって、
吹き抜けを有する複数階の建物内において、無人航空機を用いた上下階間の荷物の配送を管理する管理手段を有し、
前記建物はエレベータを有し、
前記管理手段は、単位時間あたりの配送の要求回数が所定値を超えた場合に、前記無人航空機に代えて前記エレベータを用いて荷物を配送するよう制御を行う
ことを特徴とする配送システム。
【請求項7】
前記所定値は、前記建物の構造、前記無人航空機の仕様、前記無人航空機の台数のうち、少なくとも1つに基づいて決定されることを特徴とする、請求項6に記載の配送システム。
【請求項8】
前記建物の構造には、前記建物の階数、前記建物の階高、各階の世帯数のうち、少なくとも1つが含まれることを特徴とする、請求項7に記載の配送システム。
【請求項9】
前記無人航空機の仕様には、前記無人航空機の上昇速度、前記無人航空機の下降速度、前記無人航空機に荷物を取り付ける時間、前記無人航空機から荷物を取り外す時間、前記無人航空機のバッテリの交換時間、前記無人航空機が1回のバッテリ交換で飛行可能な時間のうち、少なくとも1つが含まれることを特徴とする、請求項7に記載の配送システム。
【請求項10】
前記管理手段は、同一の階から所定時間内に複数の配送要求があった場合に、前記無人航空機に代えて前記エレベータを用いて荷物を配送するよう制御を行うことを特徴とする、請求項6に記載の配送システム。
(【請求項11】以降は省略されています)
発明の詳細な説明
【技術分野】
【0001】
本発明は、ドローンを用いた配送システムに関する。
続きを表示(約 2,200 文字)
【背景技術】
【0002】
本技術分野の背景技術を開示する文献として、特表2019-507075号公報(特許文献1)がある。この公報には、「本開示は、無人航空機(UAV)の離着陸に適合するように設計された、複階層(ML)配送センターを対象とする。配送センターは、都心部及び/または他の人口が密集した都市部に位置してもよい。従来の配送センターとは異なり、ML配送センターは、それぞれの区域の区画規制で認められた多数の階層(例えば、階、床等)を含んでもよい。配送センターは、配送センターからの物品の少なくとも一部を顧客に関連する場所に配送してもよいUAVに適合するための、1つまたは複数の着陸位置及び1つまたは複数の機動位置を有してもよい。」と記載されている(段落[0006]参照)。
【先行技術文献】
【特許文献】
【0003】
特表2019-507075号公報
【発明の概要】
【発明が解決しようとする課題】
【0004】
上記の特許文献1には配送センターが記載されている。この配送センターは複数の階層を有し、UAVの離着陸に適合するように設計されている。しかし、この配送センターは、あくまで荷物を発送するための拠点であって、発送された荷物を受け取るための施設ではない。そのため特許文献1では、1つの建物内で荷物の発送と受け取りを完結させるような仕組みは想定されていない。
本発明は、このような事情に鑑みてなされたものであり、無人航空機を用いて建物の上下階間で荷物の配送を行うための仕組みを提供する。
【課題を解決するための手段】
【0005】
上記課題を解決するために、例えば、特許請求の範囲に記載の構成を採用する。
本願は上記課題を解決する手段を複数含んでいるが、その一例を挙げるならば、配送システムであって、吹き抜けを有する複数階の建物内において、無人航空機を用いた上下階間の荷物の配送を管理する管理手段を有し、荷物の配送に利用される前記無人航空機の台数は、前記建物の構造、前記無人航空機の仕様、単位時間あたりの配送の要求回数のうち、少なくとも1つに基づいて決定されることを特徴とする配送システムである。
【発明の効果】
【0006】
本発明によれば、無人航空機を用いて建物の上下階間で荷物の配送を行うための仕組みを提供することができる。
上記した以外の課題、構成及び効果は、以下の実施形態の説明により明らかにされる。
【図面の簡単な説明】
【0007】
図1は、高層ビル内の自動配送システムの概略の一例を示す。
図2は、ドローンベースの配送システムのシミュレーション結果の一例を示す。
図3は、世帯あたりのリクエストレートと稼働中のドローンの台数Dに応じた配達の待ち時間の例を示す。
図4は、エレベータベースの配送システムのシミュレーション結果の一例を示す。
図5は、各条件下における1つの荷物あたりの平均待ち時間と消費電力量の違いの例を示す。
図6は、建物のX階の平面図の一例である。
図7は、建物600のX+1階の平面図の一例である。
図8は、建物600の縦断面図の一例である。
図9は、建物600の1階の平面図の一例である。
図10は、建物600のX+1階の平面図の一例である。
図11は、管理装置の構成例を示す。
【発明を実施するための形態】
【0008】
本発明の実施例について説明する前に、本実施例の基となった研究結果について説明する。
【0009】
1.ドローン配送システムについての研究
この研究の目的は、ドローン技術を使用して高層住宅または商業ビル内の1階から高層階まで商品を配送するという新しいコンセプトを研究し、評価することである。地理的に離れた地点間の配送については広範な研究が行われているが、単一の場所内での垂直輸送に関する理論的な研究は非常に限られている。本願発明者は、単一の建物向けのオンデマンドドローン配送システムについて検討した。例えば、何千人もの居住者が頻繁に1階の郵便ポストから郵便物や小包を取り出す必要がある高層住宅では、エレベータで1階に降下(または、1階から上昇)するのに時間がかかり、エネルギー的に非効率的である。このような状況でドローン配送を導入することで、効率性と利便性の向上が期待できる。居住者はバルコニーまたは指定されたドローンポートで直接商品を受け取ることができ、配送プロセスが大幅に合理化される。
【0010】
本研究は、高層ビル内でのドローン配送のパフォーマンスを理論的に評価し、単純なモデルを使用してこのアプローチの実現可能性を評価することを目的としている。本願発明者は、各フロアからの確率的な需要に対応するために必要なドローンの台数を検討するとともに、ドローン配送と従来のエレベータ配送の時間や消費電力を比較し、どのような条件でドローン配送が有利になるかを検討した。さらに、エレベータベースの配送と比較したドローン配送の輸送特性について報告する。
(【0011】以降は省略されています)
この特許をJ-PlatPat(特許庁公式サイト)で参照する
関連特許
国立大学法人 東京大学
力センサ
10日前
国立大学法人 東京大学
担持金属触媒
2か月前
国立大学法人 東京大学
ガス処理方法
1か月前
国立大学法人 東京大学
せん妄判定方法
3か月前
国立大学法人 東京大学
コンパレータ回路
1か月前
国立大学法人 東京大学
ビーム追従システム
1か月前
国立大学法人 東京大学
超音波モータシステム
2か月前
国立大学法人 東京大学
超音波モータシステム
2か月前
国立大学法人 東京大学
超音波モータシステム
2か月前
国立大学法人 東京大学
結晶、及びその製造方法
3か月前
国立大学法人 東京大学
肝臓オルガノイド成熟培地
1か月前
国立大学法人 東京大学
テラヘルツ帯同期検波回路
2か月前
国立大学法人 東京大学
推定装置、及びプログラム
2か月前
国立大学法人 東京大学
接着性細胞の浮遊培養用基材
1か月前
国立大学法人 東京大学
テラヘルツ波帯位相変調回路
2か月前
NTT株式会社
圧力センサ
2か月前
国立大学法人 東京大学
読出回路及び磁気メモリ装置
2か月前
国立大学法人 東京大学
情報処理装置、及びプログラム
2か月前
国立大学法人 東京大学
酸化腐食抑制能を有する電解液
23日前
国立大学法人 東京大学
蛍光測定装置及び蛍光測定方法
3日前
国立大学法人 東京大学
ドローンを用いた配送システム
1か月前
ダイキン工業株式会社
冷凍装置
23日前
ダイキン工業株式会社
冷凍装置
23日前
国立大学法人 東京大学
光デバイス及びコヒーレント受信器
2か月前
積水化学工業株式会社
酸素発生剤
2か月前
国立大学法人 東京大学
通信装置、制御方法、及びプログラム
1か月前
古河電気工業株式会社
超電導モータ
2か月前
国立大学法人 東京大学
ホウ素含有化合物及びそれを含む医薬
3か月前
京セラ株式会社
予測装置及び予測方法
18日前
国立大学法人 東京大学
静電容量式センサ及びロボットシステム
3か月前
国立大学法人 東京大学
手指アシスト装置および関節動作支援方法
2か月前
太平洋セメント株式会社
セメント組成物
2か月前
国立大学法人 東京大学
樹脂の製造方法、樹脂、薄膜及び複合薄膜
2日前
国立大学法人 東京大学
ガス成分検知装置及びガス成分計測システム
2か月前
国立大学法人 東京大学
学習プログラム、情報処理装置及び学習方法
1か月前
ダイキン工業株式会社
吸着器及び冷凍装置
23日前
続きを見る
他の特許を見る