TOP
|
特許
|
意匠
|
商標
特許ウォッチ
Twitter
他の特許を見る
10個以上の画像は省略されています。
公開番号
2025147006
公報種別
公開特許公報(A)
公開日
2025-10-03
出願番号
2025129346,2021139044
出願日
2025-08-01,2021-08-27
発明の名称
表示装置、プログラム及び表示方法
出願人
沖電気工業株式会社
代理人
弁理士法人きさ特許商標事務所
主分類
G01S
3/808 20060101AFI20250926BHJP(測定;試験)
要約
【課題】複数の検出方法による検出結果を表示する場合であっても一度に従来よりも多くの情報を表示できるようにした表示装置、プログラム及び表示方法を提供する。
【解決手段】表示装置は、音波を受信する受波器アレイの出力に基づき、音波に含まれる非定常音の検出結果を表示する表示装置であって、ある検出方法を用いて、受波器アレイの出力に基づいて非定常音の検出結果である検出値を算出し、検出値に基づいて階調値を算出し、階調値と、該検出方法に設定された色とを有するデータ点を出力する複数の出力部を備える演算部と、複数の出力部で出力された複数のデータ点が有する色及び階調値を足し合わせたデータ点を、複数の出力部で算出された非定常音の検出結果として表示する表示部とを備え、複数の出力部は、それぞれ異なる物理量に基づいて非定常音を検出する検出方法を用いて非定常音の検出結果である検出値を算出する。
【選択図】図5
特許請求の範囲
【請求項1】
音波を受信する受波器アレイの出力に基づき、前記音波に含まれる非定常音の検出結果を表示する表示装置であって、
ある検出方法を用いて、前記受波器アレイの出力に基づいて非定常音の検出結果である検出値を算出し、前記検出値に基づいて階調値を算出し、前記階調値と、該検出方法に設定された色とを有するデータ点を出力する複数の出力部を備える演算部と、
前記複数の出力部で出力された複数の前記データ点が有する前記色及び前記階調値を足し合わせたデータ点を、前記複数の出力部で算出された非定常音の検出結果として表示する表示部と
を備え、
前記複数の出力部は、それぞれ異なる物理量に基づいて非定常音を検出する前記検出方法を用いて前記非定常音の検出結果である検出値を算出する、表示装置。
続きを表示(約 1,500 文字)
【請求項2】
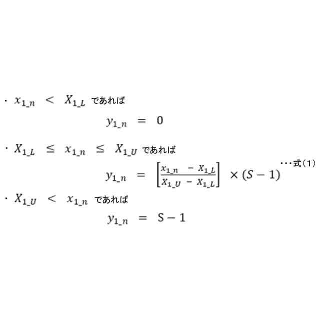
前記演算部は、前記検出方法毎に設定された検出結果の下限値及び上限値に基づいて、前記検出方法による前記検出値から前記階調値を算出する、請求項1に記載の表示装置。
【請求項3】
前記演算部は、前記検出値が前記下限値以下の場合には、前記階調値を最低の値とし、前記検出値が前記上限値以上の場合には、前記階調値を最高の値とする、請求項2に記載の表示装置。
【請求項4】
前記演算部は、前記受波器アレイの出力の特定方位に指向性を形成する整相処理を行う整相処理部をさらに備え、
前記表示部は、前記整相処理部の出力を識別する指標を第1軸に対応させ、前記第1軸と第2軸とを有する表示形態で、前記複数の出力部で算出された非定常音の検出結果を表示する、請求項1に記載の表示装置。
【請求項5】
前記表示部は、ある時刻において前記整相処理部において前記特定方位に指向性を形成した出力に基づいて前記演算部において出力された複数の前記データ点が有する前記色及び前記階調値を足し合わせたデータ点を、前記複数の出力部で算出された非定常音の検出結果として表示する、請求項4に記載の表示装置。
【請求項6】
オペレータからの検出方法それぞれの表示の有無の入力を受付ける操作部をさらに有し、
前記演算部は、前記操作部で表示を行わないとされた前記検出方法を用いた前記データ点の出力を行わない、請求項1に記載の表示装置。
【請求項7】
前記検出方法は、
音圧分布の歪度に基づいて前記非定常音を検出する歪度検出と、
周波数成分のレベルに基づいて前記非定常音を検出する有色性検出と、
エネルギーに基づいて前記非定常音を検出するエネルギー検出と、
のいずれかである請求項1~6のいずれか一項に記載の表示装置。
【請求項8】
コンピュータを、音波を受信する受波器アレイの出力に基づき、前記音波に含まれる非定常音の検出結果を表示する表示装置として機能させるためのプログラムであって、
コンピュータを、
ある検出方法を用いて、前記受波器アレイの出力に基づいて非定常音の検出結果である検出値を算出し、前記検出値に基づいて階調値を算出し、前記階調値と、該検出方法に設定された色とを有するデータ点を出力する複数の出力部を備える演算部と、
前記複数の出力部で出力された複数の前記データ点が有する前記色及び前記階調値を足し合わせたデータ点を、前記複数の出力部で算出された非定常音の検出結果として表示する表示部と
として機能させ、
前記複数の出力部は、それぞれ異なる物理量に基づいて非定常音を検出する前記検出方法を用いて前記非定常音の検出結果である検出値を算出する、プログラム。
【請求項9】
音波を受信する受波器アレイの出力に基づき、前記音波に含まれる非定常音の検出結果を表示するコンピュータによって実行される表示方法であって、
複数の検出方法を用いて、前記受波器アレイの出力に基づいて非定常音の検出結果である検出値を算出し、前記検出値に基づいて階調値を算出し、前記階調値と、該検出方法毎にそれぞれ設定された色とを有するデータ点を出力する第1のステップと、
前記第1のステップで出力された複数の前記データ点が有する前記色及び前記階調値を足し合わせたデータ点を、前記第1のステップで算出された非定常音の検出結果として表示する第2のステップと
を含み、
前記第1のステップは、それぞれ異なる物理量に基づいて非定常音を検出する前記検出方法を用いて前記非定常音の検出結果である検出値を算出する、表示方法。
発明の詳細な説明
【技術分野】
【0001】
本開示は、例えばソーナー等で受信した音響信号について、非定常音の検出処理を行った結果を表示する表示装置、プログラム及び表示方法に関する。
続きを表示(約 3,800 文字)
【背景技術】
【0002】
従来、音波中の非定常音の検出結果を表示する表示装置は、例えば、受波器アレイを備えた船艦等に設置されて他の船艦などの物体(以下、対象という場合がある)を探知するために使用される。ここで、非定常音とは、対象が発する例えば探信音のような非定常的な音響成分をいう。受波器アレイは、船体から距離を離して設置され、対象の方位がわかるように複数の受波器で構成されている。非定常音の検出結果を表示する表示装置において、歪度検出、有色性検出およびエネルギー検出といった複数の検出方法での検出結果を表示するものがある(例えば、非特許文献1参照)。
【0003】
非特許文献1に開示される従来の表示装置のフロー図を図1に示す。非特許文献1に開示された従来の表示装置は、以下に示す整相処理と、非定常成分抽出処理と、各検出方法による非定常音検出処理と、検出結果を表示する検出表示処理と、を行う構成とされている。
整相処理は、受波器アレイからの出力波形が入力されると、受波器ごとに重みと時間遅延とを与えて位相調整し、結果を複数の受波器について加算することによって指向性を形成し、水平方位ごとの波形データを出力する。
非定常成分抽出処理は、整相処理の出力が入力されると、外部から選択された1方位について、定常的な成分を直前の観測データから予測し、現在の観測データから予測値を減算することによってSNR(Signal to Noise power Ratio)を改善した信号を、3つの非定常音検出処理に出力する。
3つの非定常音検出処理のそれぞれは、非定常成分抽出処理の出力が入力されると、以下の非定常音の検出処理を行い、検出結果として検出値を、検出表示処理に出力する。
(a)歪度検出を行う非定常音検出処理は、非定常音が発生している時間帯には音圧分布にゆがみがあることを利用して非定常音を検出する。
(b)有色性検出を行う非定常音検出処理は、非定常音が発生している時間帯には周波数成分のレベルが一定でないことを利用して非定常音を検出する。
(c)エネルギー検出を行う非定常音検出処理は、非定常音が発生している時間帯にはエネルギーが高いことを利用して非定常音を検出する。
検出表示処理は、3つの非定常音検出処理からの出力が入力されると、設定された閾値と入力された検出値とを比較し、検出値が閾値を超える時間帯をその検出方法による非定常音の検出時間として、非検出時間と区別して表示する。非特許文献1に開示される従来の表示装置における検出結果の表示画面を図2に示す。
【先行技術文献】
【非特許文献】
【0004】
Melvin J. Hinich, “Testing for Dependence in the Input to A Linear Time Series Model”, Journal of Nonparametric Statistics Volume 6 1996, pp.205-221
【発明の概要】
【発明が解決しようとする課題】
【0005】
しかしながら、非特許文献1に開示されるような従来の表示装置では、画面上に、非定常音の検出結果が、指定された1方位の信号のみについて検出方法ごとに表示される構成とされているので、オペレータは、同時に複数の信号についての検出結果を知ることができない。よって、従来の表示装置では、複数の検出方法による検出結果を表示する場合に、一度に表示される情報量が制限されるといった課題があった。
【0006】
本開示は、上記のような課題を解決するためになされたもので、複数の検出方法による検出結果を表示する場合であっても一度に従来よりも多くの情報を表示できるようにした表示装置、プログラム及び表示方法を提供することを目的とする。
【課題を解決するための手段】
【0007】
本発明に係る表示装置は、音波を受信する受波器アレイの出力に基づき、前記音波に含まれる非定常音の検出結果を表示する表示装置であって、ある検出方法を用いて、前記受波器アレイの出力に基づいて非定常音の検出結果である検出値を算出し、前記検出値に基づいて階調値を算出し、前記階調値と、該検出方法に設定された色とを有するデータ点を出力する複数の出力部を備える演算部と、前記複数の出力部で出力された複数の前記データ点が有する前記色及び前記階調値を足し合わせたデータ点を、前記複数の出力部で算出された非定常音の検出結果として表示する表示部とを備え、前記複数の出力部は、それぞれ異なる物理量に基づいて非定常音を検出する前記検出方法を用いて前記非定常音の検出結果である検出値を算出する。
また、本開示のプログラムは、コンピュータを、音波を受信する受波器アレイの出力に基づき、前記音波に含まれる非定常音の検出結果を表示する表示装置として機能させるためのプログラムであって、コンピュータを、ある検出方法を用いて、前記受波器アレイの出力に基づいて非定常音の検出結果である検出値を算出し、前記検出値に基づいて階調値を算出し、前記階調値と、該検出方法に設定された色とを有するデータ点を出力する複数の出力部を備える演算部と、前記複数の出力部で出力された複数の前記データ点が有する前記色及び前記階調値を足し合わせたデータ点を、前記複数の出力部で算出された非定常音の検出結果として表示する表示部ととして機能させ、前記複数の出力部は、それぞれ異なる物理量に基づいて非定常音を検出する前記検出方法を用いて前記非定常音の検出結果である検出値を算出する。
また、本開示の表示方法は、音波を受信する受波器アレイの出力に基づき、前記音波に含まれる非定常音の検出結果を表示するコンピュータによって実行される表示方法であって、複数の検出方法を用いて、前記受波器アレイの出力に基づいて非定常音の検出結果である検出値を算出し、前記検出値に基づいて階調値を算出し、前記階調値と、該検出方法毎にそれぞれ設定された色とを有するデータ点を出力する第1のステップと、前記第1のステップで出力された複数の前記データ点が有する前記色及び前記階調値を足し合わせたデータ点を、前記第1のステップで算出された非定常音の検出結果として表示する第2のステップとを含み、前記第1のステップは、それぞれ異なる物理量に基づいて非定常音を検出する前記検出方法を用いて前記非定常音の検出結果である検出値を算出する。
【発明の効果】
【0008】
本開示によれば、演算部の複数の出力部が、ある検出方法を用いて、受波器アレイの出力に基づいて非定常音の検出結果である検出値を算出し、検出値に基づいて階調値を算出し、階調値と、該検出方法に設定された色とを有するデータ点を出力する。ここで、複数の出力部は、それぞれ異なる物理量に基づいて非定常音を検出する検出方法を用いて非定常音の検出結果である検出値を算出する。そして、表示部は、複数の出力部で出力された複数のデータ点が有する色及び階調値を足し合わせたデータ点を、複数の出力部で算出された非定常音の検出結果として表示する。したがって、検出方法の異なる複数のデータ点を一つのデータ点で同時に表示することができるので、複数の検出方法による検出結果を表示する場合であっても一度に従来よりも多くの情報を表示することができる。
【図面の簡単な説明】
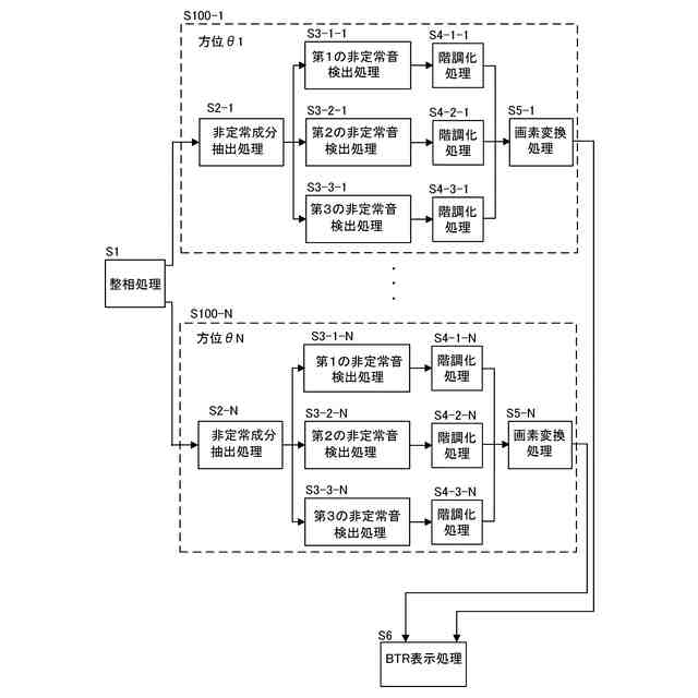
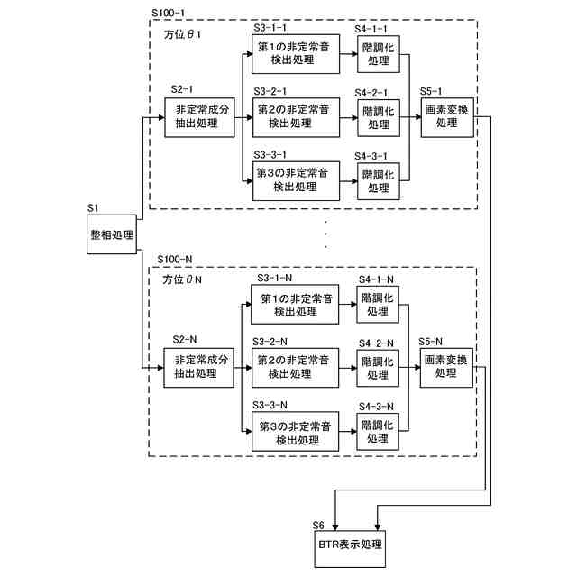
【0009】
従来の表示装置の動作手順を示すフロー図である。
従来の表示装置の表示画面を示す図である。
実施の形態1に係る表示装置を適用した表示システムの一構成例を示すブロック図である。
図3の表示装置の表示部におけるBTR表示の一例を示す図である。
図3の表示装置の動作手順を示すフロー図である。
実施の形態2に係る表示装置における演算部の動作手順を示すフロー図である。
図6の各出力処理のフロー図である。
図6の表示装置の表示部におけるELAZ表示の一例を示す図である。
実施の形態3に係る表示装置の動作手順を示すフロー図である。
実施の形態3に係る表示装置の表示画面の一例を示す図である。
【発明を実施するための形態】
【0010】
表示装置20の実施の形態を、図を参照して説明する。表示装置20は、複数の信号を受信し、それらの信号について分析をして結果を表示するものである。以下に説明する実施の形態1及び2では、表示装置20はソーナー装置の一部を構成し、表示装置20を含むソーナー装置が、対象からの音響信号を受信して分析するパッシブソーナー装置であるものとして説明する。なお、表示装置20は、自ら探信音を発するアクティブソーナー装置あるいはレーダー装置等に適用してもよい。また、以下に説明する実施の形態3では、表示装置20は、雑音信号を受信して分析するものである。
(【0011】以降は省略されています)
この特許をJ-PlatPat(特許庁公式サイト)で参照する
関連特許
沖電気工業株式会社
筐体
28日前
沖電気工業株式会社
印刷装置
3日前
沖電気工業株式会社
アンテナ
1か月前
沖電気工業株式会社
レーダ装置
28日前
沖電気工業株式会社
線材保持具
1か月前
沖電気工業株式会社
媒体処理装置
1か月前
沖電気工業株式会社
光導波路素子
1か月前
沖電気工業株式会社
媒体搬送装置
28日前
沖電気工業株式会社
媒体処理装置
1か月前
沖電気工業株式会社
媒体処理装置
1か月前
沖電気工業株式会社
媒体処理装置
1か月前
沖電気工業株式会社
光導波路素子
1か月前
沖電気工業株式会社
棒金収納装置
4日前
沖電気工業株式会社
紙幣処理装置
1か月前
沖電気工業株式会社
画像形成装置
7日前
沖電気工業株式会社
画像形成装置
7日前
沖電気工業株式会社
光導波路素子
1か月前
沖電気工業株式会社
情報処理装置
4日前
沖電気工業株式会社
定着装置及び画像形成装置
1か月前
沖電気工業株式会社
現金処理装置及び印字装置
17日前
沖電気工業株式会社
電源装置及び画像形成装置
27日前
沖電気工業株式会社
処理装置、プログラム及び方法
1か月前
沖電気工業株式会社
媒体識別装置及び媒体処理装置
1か月前
沖電気工業株式会社
画像形成装置及び画像処理方法
1か月前
沖電気工業株式会社
紙葉類取扱装置及び現金処理装置
11日前
沖電気工業株式会社
レーザー振動計及び振動測定方法
1か月前
沖電気工業株式会社
装置、設置方法、およびプログラム
28日前
沖電気工業株式会社
反り防止治具および半田リフロー装置
28日前
沖電気工業株式会社
情報処理装置、プログラムおよび方法
28日前
沖電気工業株式会社
転写ベルトユニット及び画像形成装置
1か月前
沖電気工業株式会社
部品管理装置、プログラムおよび方法
7日前
沖電気工業株式会社
印刷制御装置及び印刷制御プログラム
28日前
沖電気工業株式会社
情報処理装置、プログラムおよび方法
1か月前
沖電気工業株式会社
直流電源装置および二次電池充電方法
7日前
沖電気工業株式会社
情報処理装置、検証方法及びプログラム
1か月前
沖電気工業株式会社
収音装置、収音プログラム及び収音方法
1か月前
続きを見る
他の特許を見る