TOP
|
特許
|
意匠
|
商標
特許ウォッチ
Twitter
他の特許を見る
10個以上の画像は省略されています。
公開番号
2025146805
公報種別
公開特許公報(A)
公開日
2025-10-03
出願番号
2025046482
出願日
2025-03-21
発明の名称
パラバクテロイデス属細菌の増殖制御用組成物
出願人
株式会社明治
代理人
弁理士法人特許事務所サイクス
主分類
A23L
33/125 20160101AFI20250926BHJP(食品または食料品;他のクラスに包含されないそれらの処理)
要約
【課題】腸内細菌叢における、Parabacteroides属細菌及びBifidobacterium属細菌の占有率を増加させる組成物を提供する。
【解決手段】トレハルロース、イソマルツロース、ツラノース、及びマルツロース、並びにこれらのいずれかを構成糖とするオリゴ糖より選択されるいずれかを含む、腸内細菌叢改善用組成物を提供する。
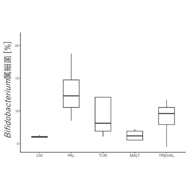
【選択図】図1
特許請求の範囲
【請求項1】
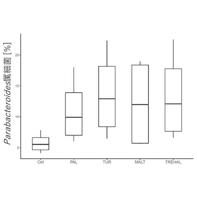
トレハルロース、イソマルツロース、ツラノース、及びマルツロース、並びにこれらのいずれかを構成糖とするオリゴ糖から選択されるいずれかを含む、パラバクテロイデス(Parabacteroides)属細菌の増殖制御用組成物。
続きを表示(約 870 文字)
【請求項2】
ビフィドバクテリウム(Bifidobacterium)属細菌の増殖促進用である、請求項1に記載の組成物。
【請求項3】
プレバイオティクス又はシンバイオティクスとして使用するための、請求項1に記載の組成物。
【請求項4】
トレハルロース、イソマルツロース、ツラノース、及びマルツロース、並びにこれらのいずれかを構成糖とするオリゴ糖から選択されるいずれかを含む、炎症、慢性閉塞性肺疾患、肥満、糖代謝異常、多発性硬化症、肝脂肪症、及びがんからなる群より選択されるいずれかの処置のための組成物。
【請求項5】
処置が、腸内のParabacteroides属細菌の増殖促進によるものである、請求項4に記載の組成物。
【請求項6】
トレハルロース、イソマルツロース、ツラノース、及びマルツロース、並びにこれらのいずれかを構成糖とするオリゴ糖から選択されるいずれかを含む、腸内のParabacteroides属細菌の増殖促進により改善される疾患又は状態の処置のための組成物。
【請求項7】
Parabacteroides属細菌が、Parabacteroides distasonisを含む、請求項1に記載の組成物。
【請求項8】
トレハルロース、イソマルツロース、ツラノース、及びマルツロース、並びにこれらのいずれかを構成糖とするオリゴ糖から選択されるいずれかを含む、ビフィドバクテリウム(Bifidobacterium)属細菌の増殖制御用組成物。
【請求項9】
トレハルロース、イソマルツロース、ツラノース、及びマルツロース、並びにこれらのいずれかを構成糖とするオリゴ糖から選択されるいずれかを含む、ミネラル吸収促進及び整腸のいずれかのための組成物。
【請求項10】
腸内のBifidobacterium属細菌の増殖促進による、請求項9に記載の組成物。
(【請求項11】以降は省略されています)
発明の詳細な説明
【技術分野】
【0001】
本発明は、パラバクテロイデス(Parabacteroides)属細菌の増殖制御用組成物に関する。
続きを表示(約 6,100 文字)
【背景技術】
【0002】
近年、生活習慣及びストレスなどに起因して、リーキーガットと称される腸管のバリア機能不全が問題視されている。リーキーガットによる炎症は、血管を介して全身に有害物質がいきわたるため、腸炎症にとどまらず肥満、糖尿病といった生活習慣病の発症や進行にも関与することが示唆されている。リーキーガットの改善策の一つとして、腸内細菌叢の改善が検討されている。
【0003】
Parabacteroides属細菌は腸内に生息する細菌の一つである。Parabacteroides属細菌に関し、例えば非特許文献1では、Hirsutella sinensis菌糸体(HSM)及び多糖類を含む分離画分が、腸内細菌叢の構成を調節することによって、食事誘発性肥満及び2型糖尿病を予防する可能性が検討されている。この文献は、特定の画分が、高脂肪食(HFD)給餌マウスでそのレベルが減少していた常在菌であるParabacteroides goldsteiniiの増殖を選択的に促進し、またHFD餌付けしたマウスに生きたP. goldsteiniiを経口投与すると肥満が減少し、脂肪組織の熱発生の増加、腸の健全性の向上、炎症とインスリン抵抗性のレベルの減少に関連したことを報告する。また非特許文献2では、HFD給餌マウスの体重増加、高血糖、及び肝脂肪症の減少に対するParabacteroides distasonis(PD)の代謝的効果が検討されている。この文献は、P. distasonisをHFD給餌マウスに投与すると、リトコール酸及びウルソデオキシコール酸が増加し、胆汁酸プロファイルに劇的な変化がみられ、また腸内のコハク酸レベルが上昇したことを報告する。さらに非特許文献3は、P. distasonis膜画分(PdMb)が大腸がん細胞株において、炎症性サイトカインの産生を強固に抑制し、大腸菌リポ多糖によって誘導されるMyD88及びpAkt(ser473)の発現量を低下させ、さらに、PdMbは大腸がん細胞株でアポトーシスを誘導し、レポーター株でTLR4の活性化を阻害したことを報告する。この文献は、これらの結果から、P. distasonisは、TLR4及びAktシグナルの抑制、ならびにアポトーシスの促進を介したと考えられる抗炎症及び抗がん作用を有することが示唆されたと述べている。
【0004】
さらに非特許文献4では、多発性硬化症(MS)患者ではP. distasonisが減少していることが言及されており、また非特許文献5は、多変量解析の結果、Oscillospira属細菌、Rickenellaceae属細菌、Parabacteroides属細菌等の組み合わせで、非アルコール性脂肪性肝疾患(NAFLD)患者と健康対照者(CTRLs)とを識別できることを報告する。また非特許文献6は、喫煙誘発性の慢性閉塞性肺疾患(COPD)モデルマウスにおいて、体重減少や肺組織における炎症性サイトカインの上昇を、Parabacteroides goldsteiniiの経口投与が改善したことを報告する。またこの文献は、その機序として、腸内細菌由来の炎症性ヘキサアシル型リポ多糖によるTLR4受容体の活性化を、Parabacteroides goldsteiniiの細胞壁成分であるペンタアシル型リポ多糖がアンタゴナイズすることを示唆している。
【0005】
一方、トレハルロース、イソマルツロース、ツラノース、及びマルツロースにはいくつかの機能が知られている。例えば特許文献1には、トレハルロース、イソマルツロース等が腸内細菌環境整備を行うプレバイオティクス成分として挙げられている。また特許文献2には、ヒト又は動物の身体の悪性腫瘍疾患の治療及び/又は予防のための機能性食品の製造のための低グリセミック食品組成物の使用が記載されており、食品組成物が低グリセミック炭水化物供給源として、イソマルツロース、ロイクロース、トレハルロース及び/又はツラノースを単独で又は糖アルコール、イヌリン、ポリデキストロース及び/又は難消化性デンプンと組み合わせて含有することが記載されている。さらに特許文献3には、マイクロバイオーム制御因子を含む組成物を含む投与剤形であって、前記投与剤形が、実質的に胃、小腸、又は大腸のうちの1つ以上における前記組成物の放出を標的とするものが記載されており、マイクロバイオーム制御因子として、ツラノース、マルツロース等の種々の糖及び糖アルコールが挙げられている。
【0006】
他方、フラクトオリゴ糖は特定保健用食品の関与成分として用いられており、その摂取が大腸内に存在するビフィズス菌を増殖させ、ビフィズス菌が増殖すること自体により、あるいはビフィズス菌が産生する短鎖脂肪酸の作用により、整腸作用が発現することが知られている。また短鎖脂肪酸が生成されると大腸内のpHが低下し、その結果、ミネラルの溶解性が高まり、粘膜細胞を通過しやすくなり、細胞への吸収が促進されることが知られている(非特許文献7)。
【先行技術文献】
【特許文献】
【0007】
特開2005-34135号公報
WO2007/107295(特表2009-530326号公報)
特開2018-513196号公報
【非特許文献】
【0008】
Gut commensal Parabacteroides goldsteinii plays a predominant role in the anti-obesity effects of polysaccharides isolated from Hirsutella sinensis. Gut. 2019 Feb;68(2):248-262
Parabacteorides distasonis alleviates obesity and metabolic dysfunctions via production of succinate and secondary bile acids. Cell Rep. 2019 Jan 2;26(1):222-235
Parabacteroides distasonis attenuates toll-like receptor 4 signaling and Akt activation and blocks coon tumor formation in high-fat diet-fed azoxymethane-treated mice. Koh et al., Int. J. Cancer. 2018;143(7):1797-1805
Gut bacteria from multiple sclerosis patients modulate human T cells and exacerbate symptoms in mouse models. Cekanaviciute et al., Proc. Natl. Acad. Sci. USA. 2017;114(70):10713-10718
Gut microbiota profiling of pediatric nonalcoholic fatty liver disease and obese patients unveiled by an integrated meta-omics-based approach. Del Chierico et al, Hepatology. 2017;65(2):451-464
Gut microbiota modulates COPD pathogenesis: role of anti-inflammatory Parabacteroides goldsteinii lipopolysaccharide. Gut microbiota 2022;71,
難消化性糖質(フラクトオリゴ糖)のミネラル吸収促進作用. 日本栄養・食糧学会誌 第52巻 第6号 387-395
【発明の概要】
【発明が解決しようとする課題】
【0009】
Parabacteroides属細菌は、有用腸内細菌の一つであると考えられる。しかし、Parabacteroides属細菌はプロバイオティクスとして一般的ではない菌種であり、食経験も少ないことから、Parabacteroides属細菌を含む組成物の経口摂取は、安全性や消化管通過性が不明である。また、ビフィズス菌は経口摂取しても腸に届きにくい。腸内細菌叢におけるこれらの菌の占有率を特定のプレバイオティクスによって増加させることは、実用において有用な手段であると考えられる。
【課題を解決するための手段】
【0010】
本発明は以下を提供する:
[1] トレハルロース、イソマルツロース、ツラノース、及びマルツロース、並びにこれらのいずれかを構成糖とするオリゴ糖から選択されるいずれかを含む、パラバクテロイデス(Parabacteroides)属細菌の増殖制御用組成物。
[2] ビフィドバクテリウム(Bifidobacterium)属細菌の増殖促進用である、1に記載の組成物。
[3] プレバイオティクス又はシンバイオティクスとして使用するための、1又は2に記載の組成物。
[4] トレハルロース、イソマルツロース、ツラノース、及びマルツロース、並びにこれらのいずれかを構成糖とするオリゴ糖から選択されるいずれかを含む、炎症、慢性閉塞性肺疾患、肥満、糖代謝異常、多発性硬化症、肝脂肪症、及びがんからなる群より選択されるいずれかの処置のための組成物。
[5] 処置が、腸内のParabacteroides属細菌の増殖促進によるものである、4に記載の組成物。
[6] トレハルロース、イソマルツロース、ツラノース、及びマルツロース、並びにこれらのいずれかを構成糖とするオリゴ糖から選択されるいずれかを含む、腸内のParabacteroides属細菌の増殖促進により改善される疾患又は状態の処置のための組成物。
[7] Parabacteroides属細菌が、Parabacteroides distasonisを含む、1から6のいずれか1項に記載の組成物。
[8] トレハルロース、イソマルツロース、ツラノース、及びマルツロース、並びにこれらのいずれかを構成糖とするオリゴ糖から選択されるいずれかを含む、ビフィドバクテリウム(Bifidobacterium)属細菌の増殖制御用組成物。
[9] トレハルロース、イソマルツロース、ツラノース、及びマルツロース、並びにこれらのいずれかを構成糖とするオリゴ糖から選択されるいずれかを含む、ミネラル吸収促進及び整腸のいずれかのための組成物。
[10] 腸内のBifidobacterium属細菌の増殖促進による、9に記載の組成物。
[11] トレハルロース、イソマルツロース、ツラノース、及びマルツロース、並びにこれらのいずれかを構成糖とするオリゴ糖から選択されるいずれかを含む、腸内のBifidobacterium属細菌の増殖促進により改善される疾患又は状態の処置のための組成物。
[12] トレハルロース、イソマルツロース、ツラノース、及びマルツロース、並びにこれらのいずれかを構成糖とするオリゴ糖から選択されるいずれかを、ショ糖を含む組成物にグルカンスクラーゼを作用させて得られる、トレハルロース、及びイソマルツロースのいずれかを含む組成物として含む、1から11のいずれか1項に記載の組成物。
[13] グルカンスクラーゼが、乳酸菌又はその処理物である、12に記載の組成物。
[14] ショ糖を含む組成物にグルカンスクラーゼを作用させることを特徴とする、トレハルロース、及びイソマルツロース、並びにこれらのいずれかを構成糖とするオリゴ糖から選択されるいずれかの製造方法。
[15] グルカンスクラーゼが、乳酸菌又はその処理物である、14に記載の製造方法。
[16] グルカンスクラーゼが、グルカンスクラーゼを発現する乳酸菌として用いられ、グルカンスクラーゼが菌体結合型である、14又は15に記載の製造方法。
[17] 乳酸菌が、リクオリラクトバチルス・サツメンシス(Liquorilactobacillus satsumensis)である、14から16のいずれか1項に記載の製造方法。
[18] 対象の腸内細菌叢の情報を取得する、情報取得部;
腸内細菌叢の情報に基づき、対象に提供する食品(food)の情報を導出する、導出部;及び
導出した食品情報を対象に提供する提供部
を備え、
情報取得部は、腸内細菌叢の情報からParabacteroides属細菌又はBifidobacterium属細菌の有無又は量の情報を取得し、導出部は、Parabacteroides属細菌の有無又は量の情報に基づき、トレハルロース、イソマルツロース、ツラノース、及びマルツロース、並びにこれらのいずれかを構成糖とするオリゴ糖から選択されるいずれかを含む組成物である食品の情報を導出する、食品情報提供装置。
[19] 提供する食品情報が、対象の端末に表示可能である、18に記載の装置。
[20] 提供する食品情報を表示する表示部をさらに含む、18又は19に記載の装置。
[21] 対象の腸内細菌叢の情報を取得し;
腸内細菌叢の情報に基づき、対象に提供する食品の情報を導出し;そして
導出した食品情報を対象に提供する
工程を含み、
情報を取得する工程では、腸内細菌叢の情報からParabacteroides属細菌又はBifidobacterium属細菌の有無又は量の情報を取得し、食品の情報を導出する工程では、Parabacteroides属細菌の有無又は量の情報に基づき、トレハルロース、イソマルツロース、ツラノース、及びマルツロース、並びにこれらのいずれかを構成糖とするオリゴ糖から選択されるいずれかを含む組成物である食品の情報を導出する、食品情報提供方法。
[22] 提供する食品情報を、対象の端末に表示する工程をさらに含む、21に記載の方法。
(【0011】以降は省略されています)
この特許をJ-PlatPat(特許庁公式サイト)で参照する
関連特許
株式会社明治
分析システム
5か月前
株式会社明治
機能推定装置
2か月前
株式会社明治
脳機能改善用組成物
2か月前
株式会社明治ゴム化成
ワイヤレス給電用部品
19日前
株式会社明治
細胞老化抑制用組成物
2か月前
株式会社明治
腸内細菌叢改善用組成物
1か月前
株式会社明治
筋分化促進用組成物、及び筋肉増強用組成物
2か月前
株式会社明治
パラバクテロイデス属細菌の増殖制御用組成物
1か月前
株式会社明治
67kDaラミニンレセプター活性化用組成物
2か月前
株式会社明治
血中総アミノ酸を高濃度に維持するための組成物
4か月前
学校法人明治大学
GLP-1分泌促進用組成物
9日前
株式会社明治
咀嚼対象物評価方法及び咀嚼対象物評価システム
2か月前
株式会社明治
咀嚼対象物評価方法及び咀嚼対象物評価システム
2か月前
株式会社明治
咀嚼対象物評価方法及び咀嚼対象物評価システム
2か月前
株式会社明治
速筋線維発現促進用組成物、及び筋肉速筋化促進用組成物
2か月前
株式会社明治
糖代謝改善用組成物
2か月前
株式会社明治
Bacteroides属細菌の増殖の促進のための組成物及びその利用
9日前
株式会社明治
ゲル状食品およびその製造方法、ゲル状食品に酸味を付与する方法、ならびにゲル状食品の機能性成分分解抑制剤
1か月前
国立大学法人東京農工大学
プロピオン酸菌発酵物含有組成物
23日前
個人
ペットフード
7か月前
個人
古代食品塩梅醤
5か月前
個人
健康促進霊芝茶
1か月前
個人
焼き魚の製造方法
7か月前
個人
血圧降下用組成物
7か月前
ライソン株式会社
焙煎機
5か月前
個人
具入り餅食品
6か月前
個人
ジャム
5か月前
不二製油株式会社
グミ類
2か月前
不二製油株式会社
組成物
1か月前
不二製油株式会社
油性食品
1か月前
個人
ヨーグルト等の発酵器
1か月前
不二製油株式会社
加工食品
2か月前
株式会社東洋新薬
飲料
1か月前
不二製油株式会社
光照射油脂
1か月前
第一工業製薬株式会社
組成物
7か月前
株式会社ソディック
計量装置
5か月前
続きを見る
他の特許を見る