TOP
|
特許
|
意匠
|
商標
特許ウォッチ
Twitter
他の特許を見る
公開番号
2025168012
公報種別
公開特許公報(A)
公開日
2025-11-07
出願番号
2024073100
出願日
2024-04-26
発明の名称
GLP-1分泌促進用組成物
出願人
学校法人明治大学
,
株式会社明治
代理人
弁理士法人特許事務所サイクス
主分類
A61K
31/23 20060101AFI20251030BHJP(医学または獣医学;衛生学)
要約
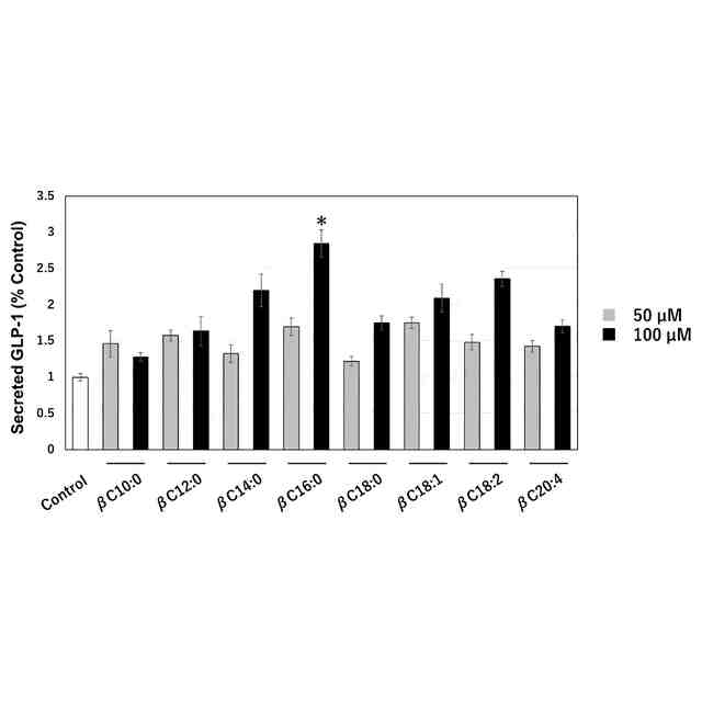
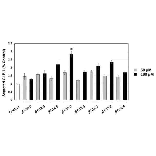
【課題】GLP-1の分泌を促進できる成分を提供する。また食経験のある成分の新規な機能を明らかにする。
【解決手段】パルミチン酸又はミリスチン酸がβ位に結合したアシルグリセロール、好ましくはパルミチン酸がβ位に結合したモノグリセリドを有効成分として含む、GLP-1分泌促進用組成物を提供する。
【選択図】図1
特許請求の範囲
【請求項1】
パルミチン酸又はミリスチン酸がβ位に結合したアシルグリセロールを含む、GLP-1分泌促進用組成物。
続きを表示(約 760 文字)
【請求項2】
インスリン分泌促進、グルカゴン分泌抑制、膵β細胞の分化・増殖促進、膵β細胞のアポトーシス抑制、血糖値低下、インスリン抵抗性の処置、肥満の処置、糖尿病の処置、食欲抑制、胃排泄及び胃酸分泌の抑制、血圧降下、血管保護から選択されるいずれか1つ以上のためのものである、請求項1に記載の組成物。
【請求項3】
アシルグリセロールが、モノグリセリドである、請求項1又は2に記載の組成物。
【請求項4】
アシルグリセロールが、パルミチン酸がβ位に結合したアシルグリセロールである、請求項1又は2に記載の組成物。
【請求項5】
経口により対象に摂取させるための、請求項1又は2に記載の組成物。
【請求項6】
パルミチン酸又はミリスチン酸がβ位に結合したアシルグリセロールを含む、GPR40及びGPR119の少なくとも一方を活性化するための組成物。
【請求項7】
インスリン分泌促進、グルカゴン分泌抑制、膵β細胞の分化・増殖促進、膵β細胞のアポトーシス抑制、糖尿病の処置、食欲抑制、胃排泄及び胃酸分泌の抑制、血圧降下、血管保護から選択されるいずれか1つ以上のためのものである、請求項6に記載の組成物。
【請求項8】
アシルグリセロールがモノグリセリドである、請求項6又は7に記載の組成物。
【請求項9】
アシルグリセロールが、パルミチン酸がβ位に結合したアシルグリセロール、又はパルミチン酸がβ位に結合したモノグリセリドである、請求項6又は7に記載の組成物。
【請求項10】
経口により対象に摂取させるための、請求項6又は7に記載の組成物。
(【請求項11】以降は省略されています)
発明の詳細な説明
【技術分野】
【0001】
本発明は、GLP-1分泌促進用組成物に関する。
続きを表示(約 4,400 文字)
【背景技術】
【0002】
グルカゴン様ペプチド-1(GLP-1)は、小腸内分泌L細胞から分泌される消化管ホルモンであり、インスリン分泌を担う膵β細胞の保護作用や、膵β細胞からのグルコース濃度依存的なインスリン分泌を促進する。また、胃内容排出遅延、満腹中枢の刺激等の作用を有する。よって、GLP-1受容体作動薬は、肥満やII型糖尿病患者における体重減少や血糖コントロールのための治療に使用されている。
【0003】
さらに近年、GLP-1受容体作動薬は内臓脂肪蓄積や肝異所性脂肪に対する改善効果があることが報告されている(非特許文献1)。GLP-1は母乳中にも含まれており、摂食調節等の乳児の成長や発達に寄与していると考えられている(非特許文献2)。
【0004】
食事性脂質において主要な脂質成分であるトリアシルグリセロール(TAG)は、腸管で膵リパーゼによりα位に結合する脂肪酸が優先的に加水分解されて、1分子のTAGから2分子の遊離脂肪酸と1分子のβ位モノアシルグリセロール(β位MAG)が生じる。
【0005】
β位に結合する脂肪酸に関し、sn-2位(β位)のパルミチン酸の割合が高いトリアシルグリセロールが、健常人の食後脂質血症を低下させることが報告されている(非特許文献3)。また、トリアシルグリセロールのsn-2位(β位)に含まれるパルミチン酸の健康な男女におけるインスリン分泌やグルコースホメオスタシスへの影響が報告されている(非特許文献4)。さらに、特許文献1には、グリセロール骨格の2位にC14~C18飽和脂肪酸が結合したアシルグリセロールを有効成分とする、又はそのようなアシルグリセロールを含有する油脂組成物を有効成分とする、GIPの上昇抑制機能に基づく、食後の消化促進剤、胃もたれ改善剤、肥満抑制剤が記載されている。
【先行技術文献】
【特許文献】
【0006】
特開2016-47805号公報
【非特許文献】
【0007】
PLoS One;18(8):e0289616., 2023.
Obesity (Silver Spring);21(7):1451-8., 2013.
The American Journal of Clinical Nutrition;94(6): 1433-1441., 2011
Eur J Clin Nutr.;68(9):1036-41., 2014
【発明の概要】
【発明が解決しようとする課題】
【0008】
GLP-1の分泌を促進できる成分があれば望ましい。またそのような機能を有する成分が、食経験のある成分であれば望ましい。
【課題を解決するための手段】
【0009】
本発明は、以下を提供する。
[1] パルミチン酸又はミリスチン酸がβ位に結合したアシルグリセロールを含む、GLP-1分泌促進用組成物。
[2] インスリン分泌促進、グルカゴン分泌抑制、膵β細胞の分化・増殖促進 、膵β細胞のアポトーシス抑制、血糖値低下、インスリン抵抗性の処置、肥満の処置、糖尿病の処置 、食欲抑制、胃排泄及び胃酸分泌の抑制、血圧降下、血管保護から選択されるいずれか1つ以上のためのものである、1に記載の組成物。
[3] アシルグリセロールが、モノグリセリドである、1又は2に記載の組成物。
[4] アシルグリセロールが、パルミチン酸がβ位に結合したアシルグリセロールである、1から3のいずれか1項に記載の組成物。
[5] 経口により対象に摂取させるための、1から4のいずれか1項に記載の組成物。
[6] パルミチン酸又はミリスチン酸がβ位に結合したアシルグリセロールを含む、GPR40及びGPR119の少なくとも一方を活性化するための組成物。
[7] インスリン分泌促進、グルカゴン分泌抑制、膵β細胞の分化・増殖促進、膵β細胞のアポトーシス抑制、糖尿病の処置、食欲抑制、胃排泄及び胃酸分泌の抑制、血圧降下、血管保護から選択されるいずれか1つ以上のためのものである、6に記載の組成物。
[8] アシルグリセロールがモノグリセリドである、6又は7に記載の組成物。
[9] アシルグリセロールが、パルミチン酸がβ位に結合したアシルグリセロール、又はパルミチン酸がβ位に結合したモノグリセリドである、6から8のいずれか1項に記載の組成物。
[10] 経口により対象に摂取させるための、6から9のいずれか1項に記載の組成物。
[11] パルミチン酸又はミリスチン酸がβ位に結合したモノグリセリドを含む、グルカゴン分泌抑制、膵β細胞の分化・増殖促進、膵β細胞のアポトーシス抑制、食欲抑制、胃排泄及び胃酸分泌の抑制、血圧降下、血管保護から選択されるいずれか1つ以上のための、組成物。
[12] 乳幼児用、又は高齢者用である、1から11のいずれか1項に記載の組成物。
[13] 油脂組成物である、1から12のいずれか1項に記載の組成物。
【0010】
[101] GLP-1の分泌促進方法において使用するための、パルミチン酸又はミリスチン酸がβ位に結合したアシルグリセロール又はそれを含む組成物。パルミチン酸又はミリスチン酸がβ位に結合したアシルグリセロールの、GLP-1の分泌促進のための組成物の製造における使用。パルミチン酸又はミリスチン酸がβ位に結合したアシルグリセロール又はそれを含む組成物を対象に投与する工程を含む、GLP-1の分泌促進のための方法又は非治療的方法。パルミチン酸又はミリスチン酸がβ位に結合したアシルグリセロール、又はそれを含む組成物の、GLP-1の分泌促進のための使用又は非治療的使用。
[102] インスリン分泌促進、グルカゴン分泌抑制、膵β細胞の分化・増殖促進 、膵β細胞のアポトーシス抑制、血糖値低下、インスリン抵抗性の処置、肥満の処置、糖尿病の処置 、食欲抑制、胃排泄及び胃酸分泌の抑制、血圧降下、血管保護から選択されるいずれか1つ以上のための、101に記載の組成物、製造における使用、方法又は非治療的方法、使用又は非治療的方法。
[103] アシルグリセロールが、モノグリセリドである、101又は102に記載の組成物、製造における使用、方法又は非治療的方法、使用又は非治療的方法。
[104] アシルグリセロールが、パルミチン酸がβ位に結合したアシルグリセロールである、101から103のいずれか1項に記載の組成物、製造における使用、方法又は非治療的方法、使用又は非治療的方法。
[105] 経口により対象に摂取させるための、101から104のいずれか1項に記載の組成物。
[106] GPR40及びGPR119の少なくとも一方を活性化する方法において使用するための、パルミチン酸又はミリスチン酸がβ位に結合したアシルグリセロール又はそれを含む組成物。パルミチン酸又はミリスチン酸がβ位に結合したアシルグリセロール又はそれを含む組成物の、GPR40及びGPR119の少なくとも一方を活性化するための組成物の製造における使用。パルミチン酸又はミリスチン酸がβ位に結合したアシルグリセロール又はそれを含む組成物を対象に投与する工程を含む、GPR40及びGPR119の少なくとも一方を活性化する方法又は非治療的方法。パルミチン酸又はミリスチン酸がβ位に結合したアシルグリセロール又はそれを含む組成物の、GPR40及びGPR119の少なくとも一方を活性化するための使用又は非治療的方法。
[107] インスリン分泌促進、グルカゴン分泌抑制、膵β細胞の分化・増殖促進、膵β細胞のアポトーシス抑制、糖尿病の処置、食欲抑制、胃排泄及び胃酸分泌の抑制、血圧降下、血管保護から選択されるいずれか1つ以上のためのものである、106に記載の組成物、製造における使用、方法又は非治療的方法、使用又は非治療的方法。
[108] アシルグリセロールがモノグリセリドである、106又は107に記載の組成物、製造における使用、方法又は非治療的方法、使用又は非治療的方法。
[109] アシルグリセロールが、パルミチン酸がβ位に結合したアシルグリセロール、又はパルミチン酸がβ位に結合したモノグリセリドである、106から108のいずれか1項に記載の組成物、製造における使用、方法又は非治療的方法、使用又は非治療的方法。
[110] 組成物が、経口により対象に摂取させるためのものである、106から109のいずれか1項に記載の組成物、製造における使用、方法又は非治療的方法、使用又は非治療的方法。
[111] グルカゴン分泌抑制、膵β細胞の分化・増殖促進、膵β細胞のアポトーシス抑制、食欲抑制、胃排泄及び胃酸分泌の抑制、血圧降下、血管保護から選択されるいずれか1つ以上において使用するための、パルミチン酸又はミリスチン酸がβ位に結合したモノグリセリド又はそれを含む組成物。パルミチン酸又はミリスチン酸がβ位に結合したモノグリセリド又はそれを含む組成物の、グルカゴン分泌抑制、膵β細胞の分化・増殖促進、膵β細胞のアポトーシス抑制、食欲抑制、胃排泄及び胃酸分泌の抑制、血圧降下、血管保護から選択されるいずれか1つ以上のための組成物の、製造における使用。パルミチン酸又はミリスチン酸がβ位に結合したモノグリセリド又はそれを含む組成物を対象に摂取させる工程を含む、グルカゴン分泌抑制、膵β細胞の分化・増殖促進、膵β細胞のアポトーシス抑制、食欲抑制、胃排泄及び胃酸分泌の抑制、血圧降下、血管保護から選択されるいずれか1つ以上のための方法又は非治療的方法。パルミチン酸又はミリスチン酸がβ位に結合したモノグリセリド又はそれを含む組成物の、グルカゴン分泌抑制、膵β細胞の分化・増殖促進、膵β細胞のアポトーシス抑制、食欲抑制、胃排泄及び胃酸分泌の抑制、血圧降下、血管保護から選択されるいずれか1つ以上のための使用又は非治療的使用。
[112] 乳幼児用、又は高齢者用である、101から111のいずれか1項に記載の組成物、製造における使用、方法又は非治療的方法、使用又は非治療的方法。
[113] 油脂組成物である、101から112のいずれか1項に記載の組成物、製造における使用、方法又は非治療的方法、使用又は非治療的方法。
【発明の効果】
(【0011】以降は省略されています)
この特許をJ-PlatPat(特許庁公式サイト)で参照する
関連特許
学校法人明治大学
粉末組成物
2か月前
学校法人明治大学
2型免疫の抑制剤
8か月前
学校法人明治大学
化合物及び有機半導体材料
6か月前
学校法人明治大学
GLP-1分泌促進用組成物
1か月前
ミサワホーム株式会社
複合梁
1か月前
ミサワホーム株式会社
建物躯体構造
6か月前
株式会社アドバンテスト
分泌物成分測定装置
8か月前
株式会社東芝
モータ電流制御装置及びモータ電流制御方法
6か月前
NTT株式会社
微生物の土壌中での生存性を調節する方法
2か月前
学校法人明治大学
アスパラガスの栽培方法および該栽培方法に用いられる液状マルチ剤
6か月前
日本電信電話株式会社
情報処理装置、情報処理方法、及びプログラム
10か月前
日本電信電話株式会社
微生物の生存率制御方法、微生物の生存率制御剤
9か月前
日本電信電話株式会社
微生物の生存率制御方法、微生物の生存率制御剤
9か月前
テーブルマーク株式会社
発酵種の製造方法及びベーカリー食品の製造方法
2か月前
国立研究開発法人防災科学技術研究所
免震装置、免震システム及び免震方法
9か月前
DIC株式会社
樹脂物性値を予測する方法、情報処理装置、及びプログラム
2か月前
学校法人明治大学
情報処理装置、情報処理システム、情報処理方法及びコンピュータープログラム
2か月前
一般財団法人カーボンニュートラル燃料技術センター
原油サンプルの特性情報をコンピュータにより予測する方法
17日前
キリンホールディングス株式会社
味覚提示装置及び味覚提示方法
3か月前
東雄技研株式会社
成形体、その製造方法、繊維強化プラスチック製品の製造方法及び抗菌性又は抗ウイルス性向上方法
25日前
北興化学工業株式会社
1,4-シネオール誘導体およびその中間体、上記誘導体を有効成分として含有する除草剤、除草剤の使用方法、ならびに農薬組成物を調製する方法
3か月前
個人
貼付剤
1か月前
個人
簡易担架
23日前
個人
短下肢装具
4か月前
個人
腋臭防止剤
23日前
個人
足踏み器具
1か月前
個人
前腕誘導装置
4か月前
個人
排尿補助器具
1か月前
個人
嚥下鍛錬装置
5か月前
個人
汚れ防止シート
2か月前
個人
腰ベルト
1か月前
個人
水分吸収性物品
2日前
個人
ウォート指圧法
1か月前
個人
バッグ式オムツ
5か月前
個人
矯正椅子
6か月前
個人
アイマスク装置
3か月前
続きを見る
他の特許を見る