TOP
|
特許
|
意匠
|
商標
特許ウォッチ
Twitter
他の特許を見る
公開番号
2025179098
公報種別
公開特許公報(A)
公開日
2025-12-09
出願番号
2025140359,2024225319
出願日
2025-08-26,2024-05-22
発明の名称
ポリビニルアセタール樹脂
出願人
積水化学工業株式会社
代理人
弁理士法人WisePlus
主分類
C08F
16/38 20060101AFI20251202BHJP(有機高分子化合物;その製造または化学的加工;それに基づく組成物)
要約
【課題】エタノールの割合が多い溶媒を使用した場合でも粘度変化が少なく、耐シートアタック性に優れるポリビニルアセタール樹脂、及び、該ポリビニルアセタール樹脂を用いたセラミックグリーンシート用スラリー、セラミックグリーンシート及び積層セラミックコンデンサを提供する。
【解決手段】示差屈折率検出器を用いたGPC測定における、移動相にTHFを使用して得られる重量平均分子量Mw(THF)及び数平均分子量Mn(THF)と、移動相にNMPを使用して得られる重量平均分子量Mw(NMP)及び数平均分子量Mn(NMP)とを用いて、特定の式から算出される分子量分布差が0.01以上0.45以下であり、かつ、
13
C-NMRで測定した水酸基を有する構成単位の2連鎖からなる2連子のピーク積分値の割合が0.30以上0.36以下である、ポリビニルアセタール樹脂。
【選択図】なし
特許請求の範囲
【請求項1】
示差屈折率検出器を用いたGPC測定における、移動相にTHFを使用して得られる重量平均分子量Mw(THF)及び数平均分子量Mn(THF)と、移動相にNMPを使用して得られる重量平均分子量Mw(NMP)及び数平均分子量Mn(NMP)とを用いて、下記式(1)から算出される分子量分布差が0.5以下であり、かつ、
13
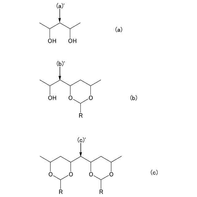
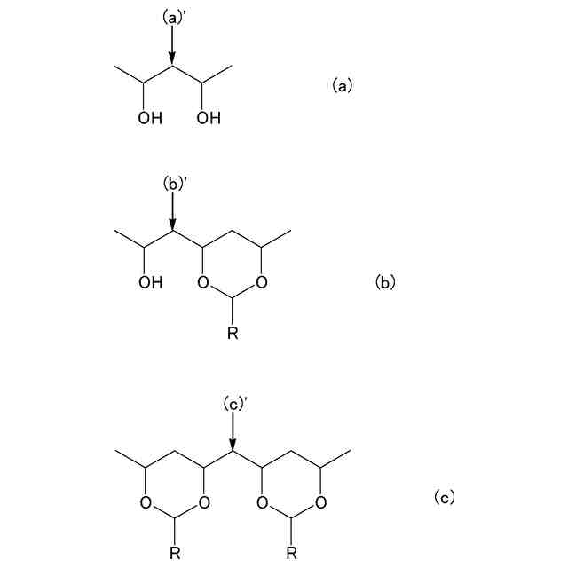
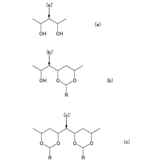
C-NMR(核磁気共鳴)測定によって得られる、下記式(b)及び下記式(c)で表される2連子の(b)’及び(c)’に示すメチレンC原子のピーク積分値の合計に対する下記式(a)で表される2連子の(a)’に示すメチレンC原子のピーク積分値の割合が0.29以上0.37以下である、ポリビニルアセタール樹脂。
[Mw(THF)/Mn(THF)]-[Mw(NMP)/Mn(NMP)] (1)
TIFF
2025179098000005.tif
149
156
式(b)及び式(c)におけるRは、それぞれ独立して、水素又は炭素数1以上20以下の炭化水素基である。
続きを表示(約 400 文字)
【請求項2】
水酸基量が28モル%以上35モル%以下である、請求項1記載のポリビニルアセタール樹脂。
【請求項3】
重量平均分子量Mw(THF)が200,000以上500,000以下である、請求項1又は2記載のポリビニルアセタール樹脂。
【請求項4】
重量平均分子量Mw(NMP)が270,000以上である、請求項1又は2記載のポリビニルアセタール樹脂。
【請求項5】
請求項1又は2に記載のポリビニルアセタール樹脂と、有機溶剤と、セラミック粉末とを含有する、セラミックグリーンシート用スラリー。
【請求項6】
請求項5に記載のセラミックグリーンシート用スラリーを用いてなる、セラミックグリーンシート。
【請求項7】
請求項6に記載のセラミックグリーンシートを用いて得られる、積層セラミックコンデンサ。
発明の詳細な説明
【技術分野】
【0001】
本発明は、ポリビニルアセタール樹脂、セラミックグリーンシート用スラリー、セラミックグリーンシート及び積層セラミックコンデンサに関する。
続きを表示(約 3,500 文字)
【背景技術】
【0002】
近年、種々の電子機器に搭載される電子部品の小型化、積層化が進んでおり、多層回路基板、積層コイル、積層セラミックコンデンサ等の積層型電子部品が広く使用されている。
なかでも、積層セラミックコンデンサは、一般に次のような工程を経て製造されている。
まず、ポリビニルブチラール樹脂やポリ(メタ)アクリル酸エステル系樹脂等のバインダー樹脂を有機溶剤に溶解した溶液に可塑剤、分散剤等を添加した後、セラミック原料粉末を加え、ビーズミル、ボールミル等の混合装置により均一に混合し、脱泡後に一定粘度を有するセラミックスラリー組成物を得る。このスラリー組成物をドクターブレード、リバースロールコーター等を用いて、離型処理したポリエチレンテレフタレートフィルム、又はSUSプレート等の支持体面に流延して、これを加熱等により、溶剤等の揮発分を溜去させた後、支持体から剥離してセラミックグリーンシートを得る。
次に、得られたセラミックグリーンシート上に、内部電極となる導電ペーストをスクリーン印刷により塗布したものを交互に複数枚積み重ね、加熱圧着して積層体を作製する。その後、積層体中に含まれるバインダー樹脂成分等を熱分解して除去する処理、いわゆる脱脂処理を行い、焼成して得られるセラミック焼結体の端面に外部電極を焼結する工程を経て積層セラミックコンデンサが得られる。
【0003】
例えば、特許文献1には、セラミック・バインダーとして好適なポリビニルアセタール樹脂として、所定の重合度、ビニルエステル単位の含有率、アセタール化度を有し、アセトアルデヒドによりアセタール化された部分とブチルアルデヒドによってアセタール化された部分とのモル比が所定の範囲であるポリビニルアセタール樹脂が記載されている。
また、特許文献2には、所定の重合度、ビニルエステル単位の含有率、アセタール化度を有し、特定の構成単位を有するポリビニルアセタール樹脂が記載されている。
【先行技術文献】
【特許文献】
【0004】
特開2011-236304号公報
国際公開第2012/023517号
【発明の概要】
【発明が解決しようとする課題】
【0005】
ポリビニルアセタール樹脂は、エタノールとトルエンの混合溶剤に良好な溶解性を示す観点からも、積層セラミックコンデンサ用セラミックスラリーのバインダーに幅広く使用されている。しかしながら、トルエンはその有害性により環境への規制が存在することに加え、エタノールに比べて沸点が高く、溶剤乾燥に必要なエネルギーが大きい。そのため、エタノールの割合が多い溶媒でも良好な溶解性を示すバインダーが求められている。その一方で、誘電層のバインダーが電極層に溶出することで発生する、シートアタックの問題もある。
【0006】
本発明は、エタノールの割合が多い溶媒を使用した場合でも粘度変化が少なく、耐シートアタック性に優れるポリビニルアセタール樹脂、及び、該ポリビニルアセタール樹脂を用いたセラミックグリーンシート用スラリー、セラミックグリーンシート及び積層セラミックコンデンサを提供することを目的とする。
【課題を解決するための手段】
【0007】
本開示1は、示差屈折率検出器を用いたGPC測定における、移動相にTHFを使用して得られる重量平均分子量Mw(THF)及び数平均分子量Mn(THF)と、移動相にNMPを使用して得られる重量平均分子量Mw(NMP)及び数平均分子量Mn(NMP)とを用いて、下記式(1)から算出される分子量分布差が0.5以下であり、かつ、
13
C-NMR(核磁気共鳴)測定によって得られる、下記式(b)及び下記式(c)で表される2連子の(b)’及び(c)’に示すメチレンC原子のピーク積分値の合計に対する下記式(a)で表される2連子の(a)’に示すメチレンC原子のピーク積分値の割合が0.29以上0.37以下である、ポリビニルアセタール樹脂である。
[Mw(THF)/Mn(THF)]-[Mw(NMP)/Mn(NMP)] (1)
TIFF
2025179098000001.tif
149
156
式(b)及び式(c)におけるRは、それぞれ独立して、水素又は炭素数1以上20以下の炭化水素基である。
本開示2は、水酸基量が28モル%以上35モル%以下である、本開示1記載のポリビニルアセタール樹脂である。
本開示3は、重量平均分子量Mw(THF)が200,000以上500,000以下である、本開示1又は2記載のポリビニルアセタール樹脂である。
本開示4は、重量平均分子量Mw(NMP)が270,000以上である、本開示1又は2記載のポリビニルアセタール樹脂である。
本開示5は、本開示1又は2に記載のポリビニルアセタール樹脂と、有機溶剤と、セラミック粉末とを含有する、セラミックグリーンシート用スラリーである。
本開示6は、本開示5に記載のセラミックグリーンシート用スラリーを用いてなる、セラミックグリーンシートである。
本開示7は、本開示6に記載のセラミックグリーンシートを用いて得られる、積層セラミックコンデンサである。
以下に本発明を詳述する。
【0008】
本発明者らは、鋭意検討の結果、溶媒を変更して測定した重量平均分子量及び数平均分子量が所定の関係を満たし、かつ、
13
C-NMRで測定した上記式(b)及び上記式(c)で表される2連子の(b)’及び(c)’に示すメチレンC原子のピーク積分値の合計に対する上記式(a)で表される2連子の(a)’に示すメチレンC原子のピーク積分値の割合(水酸基を有する構成単位の2連鎖からなる2連子のピーク積分値の割合)が所定の範囲内であるポリビニルアセタール樹脂は、エタノールの割合が多い溶媒を使用した場合でも粘度変化が少なく、耐シートアタック性に優れるものとすることができ、信頼性に優れた積層セラミックコンデンサを作製できることを見出し、本発明を完成させるに至った。
【0009】
本発明のポリビニルアセタール樹脂は、移動相にTHFを使用して得られる重量平均分子量Mw(THF)及び数平均分子量Mn(THF)と、移動相にNMPを使用して得られる重量平均分子量Mw(NMP)及び数平均分子量Mn(NMP)とを用いて、下記式(1)から算出される分子量分布差が0.5以下である。
[Mw(THF)/Mn(THF)]-[Mw(NMP)/Mn(NMP)] (1)
上記範囲内とすることで、エタノールの割合が多い溶媒を使用した場合でも粘度変化が少ないものとすることができる。
上記分子量分布差は、0.48以下であることが好ましく、0.45以下であることがより好ましい。また、上記分子量分布差は、0.001以上であることが好ましく、0.01以上であることがより好ましい。
本発明において、分子量分布差は、水素結合量が少ないことの指標となる。
上記分子量分布差は、移動相としてテトラヒドロフランを用い、検出器として示差屈折率検出器を用いたゲル浸透クロマトグラフィー(GPC)測定により、重量平均分子量Mw(THF)及び数平均分子量Mn(THF)を測定した後、移動相としてN-メチルピロリドンを用い、検出器として示差屈折率検出器を用いたGPC測定により、重量平均分子量Mw(NMP)及び数平均分子量Mn(NMP)を測定し、[Mw(THF)/Mn(THF)]-[Mw(NMP)/Mn(NMP)]を計算することで算出することができる。
【0010】
本発明のポリビニルアセタール樹脂のz平均分子量Mz(THF)は、300,000以上2,000,000以下であることが好ましい。上記範囲内とすることで、得られるセラミックグリーンシートの耐シートアタック性を保持することができる。上記Mz(THF)は、400,000以上であることがより好ましく、1,200,000以下であることがより好ましい。
(【0011】以降は省略されています)
この特許をJ-PlatPat(特許庁公式サイト)で参照する
関連特許
積水化学工業株式会社
粘着テープ
5日前
積水化学工業株式会社
粘着テープ
5日前
積水化学工業株式会社
雨樋システム
1か月前
積水化学工業株式会社
配管の接続構造
1か月前
積水化学工業株式会社
太陽電池設置構造
21日前
積水化学工業株式会社
表示素子用封止剤
1日前
積水化学工業株式会社
太陽電池設置構造
21日前
積水化学工業株式会社
太陽電池設置構造
21日前
積水化学工業株式会社
基板積層体の製造方法
1か月前
積水化学工業株式会社
基板積層体の製造方法
1か月前
積水化学工業株式会社
液晶デバイス用シール剤
1日前
積水化学工業株式会社
配管構造及びプレハブ配管
1か月前
積水化学工業株式会社
表面材及び表面材付き基材
5日前
積水化学工業株式会社
竪樋支持具および排水システム
1か月前
積水化学工業株式会社
太陽電池モジュールの取付構造
21日前
積水化学工業株式会社
熱膨張性マイクロカプセル用組成物
1か月前
積水化学工業株式会社
既設管更生方法および既設管更生設備
6日前
積水化学工業株式会社
ポリオルガノシロキサン、樹脂組成物
12日前
積水化学工業株式会社
硬化性樹脂組成物及び表示素子用封止剤
1日前
積水化学工業株式会社
超音波トランスデューサ、及び超音波センサ
21日前
積水化学工業株式会社
超音波トランスデューサおよび超音波センサ
21日前
積水化学工業株式会社
継手
26日前
積水化学工業株式会社
継手
1か月前
積水化学工業株式会社
ガス製造装置
12日前
積水化学工業株式会社
防食用粘着テープ
1か月前
積水化学工業株式会社
施工管理システム
1か月前
積水化学工業株式会社
光ファイバ担持管梱包体および光ファイバ担持管梱包体用の支持部材
28日前
積水化学工業株式会社
集合継手及び配管構造
1か月前
積水化学工業株式会社
集合継手および継手構造
1か月前
積水化学工業株式会社
アダプタおよび継手構造
20日前
積水化学工業株式会社
電気融着継手、配管システム、配管付き電気融着継手、及び配管更生構造
1か月前
積水化学工業株式会社
ポリビニルアセタール樹脂
5日前
積水化学工業株式会社
ポリビニルアセタール樹脂
5日前
積水化学工業株式会社
ポリビニルアセタール樹脂
5日前
積水化学工業株式会社
ポリビニルアセタール樹脂
5日前
積水化学工業株式会社
ポリビニルアセタール樹脂
5日前
続きを見る
他の特許を見る