TOP
|
特許
|
意匠
|
商標
特許ウォッチ
Twitter
他の特許を見る
公開番号
2025167434
公報種別
公開特許公報(A)
公開日
2025-11-07
出願番号
2024072017
出願日
2024-04-26
発明の名称
検体測定装置、及び検体測定方法
出願人
学校法人福岡工業大学
代理人
個人
,
個人
,
個人
,
個人
主分類
G01N
21/64 20060101AFI20251030BHJP(測定;試験)
要約
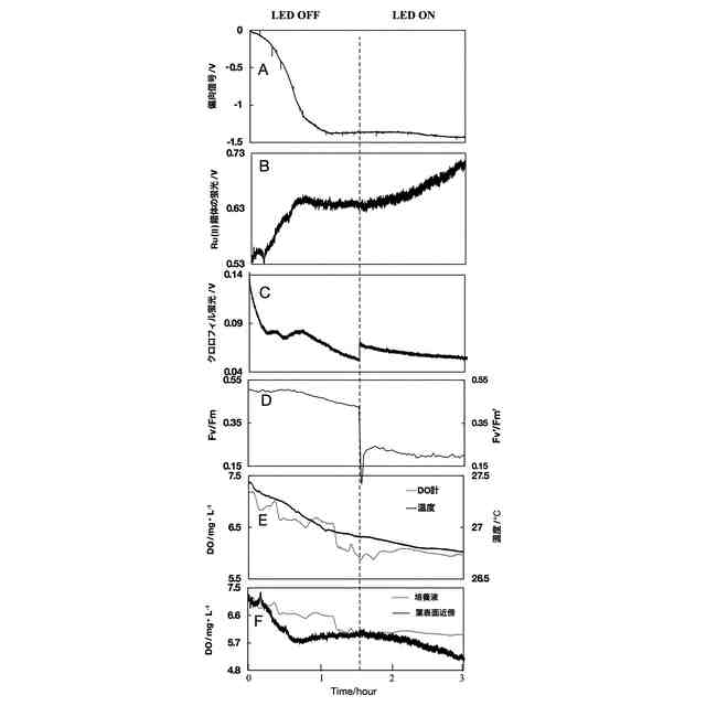
【課題】植物の生理活動に関する複数の指標を同時に測定して、植物の生育状態をリアルタイムで把握することができる検体測定装置、及び検体測定方法を提供することを目的とする。
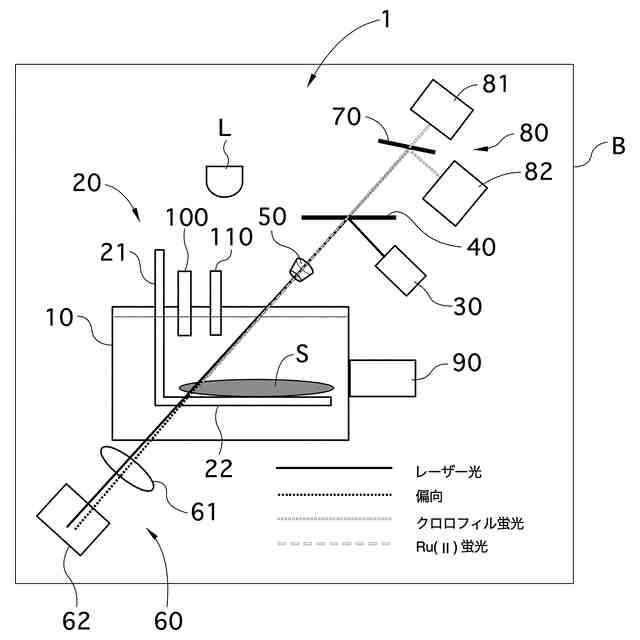
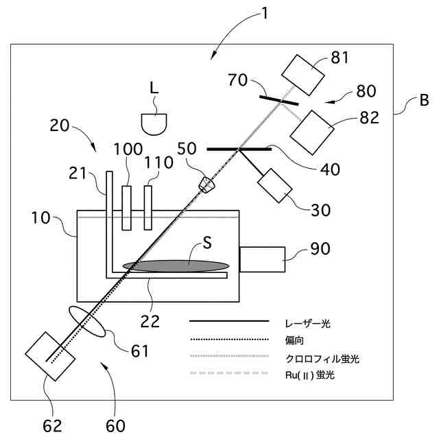
【解決手段】検査対象である検体Sは検体収容部10内で培養液に浸漬された状態でホルダー部20により固定される。そして、レーザー発振部30から出射されたレーザー光が第1ミラー部40で反射され、さらに集光レンズ部50で集光されて検体収容部10を透過する。このときの反射光の光軸に対するズレの度合いが偏向度検出部60で検出され、これにより検体S表面の生理活性物質の動的過程が把握できる。さらにレーザー光により検体Sに由来する蛍光分子、及び培養液中の蛍光プローブ分子が励起されることで放射された蛍光の強度が蛍光検出部80でそれぞれ検出される。
【選択図】図1
特許請求の範囲
【請求項1】
検査対象である検体が収容可能な検体収容部と、
前記検体を保持するホルダー部と、
第1の方向に向けてレーザー光を出射するレーザー発振部と、
該レーザー発振部から出射したレーザー光を反射光として第2の方向に向けて反射する第1ミラー部と、
前記反射光の光軸上に設けられ、前記反射光を前記検体の近傍に向けて集光する集光レンズ部と、
前記検体収容部を透過した前記反射光の光軸に対するズレ量である偏向度を検出する偏向度検出部と、
前記反射光が前記検体近傍を透過したときに、前記検体に含まれるクロロフィルをはじめとする前記検体由来の蛍光分子、及びそれと接する培養液中の蛍光プローブ分子が励起することにより放射された第1蛍光、及び第2蛍光のうち、前記第1蛍光を第3の方向に透過するとともに、前記第2蛍光を第4の方向に反射する第2ミラー部と、
該第2ミラー部を透過した前記第1蛍光の蛍光強度を検出する第1蛍光検出部と、
前記第2ミラー部で反射された前記第2蛍光の蛍光強度を検出する第2蛍光検出部と、を備える
検体測定装置。
続きを表示(約 1,300 文字)
【請求項2】
前記第1蛍光及び前記第2蛍光の一方が蛍光プローブの蛍光であり、他方がクロロフィル蛍光などの検体由来の蛍光である
請求項1に記載の検体測定装置。
【請求項3】
前記検体収容部の近傍には、前記検体の光化学系IIの量子収率を測定するパルス変調を用いたクロロフィル蛍光測定部を有する
請求項1または請求項2に記載の検体測定装置。
【請求項4】
前記検体は前記検体収容部内で蛍光プローブを含む培養液中に浸漬されており、前記検体収容部には前記培養液の溶存酸素濃度を検出する酸素濃度センサー、及び前記培養液の温度を検出する温度センサーが設置された
請求項1または請求項2に記載の検体測定装置。
【請求項5】
前記偏向度検出部は、レンズ系と位置検出センサー部とから構成され、前記反射光は、前記レンズ系を介して前記位置検出センサー部に集光される
請求項1または請求項2に記載の検体測定装置。
【請求項6】
前記検体収容部の上方に点灯と消灯とを切り替え可能な光源部を有する
請求項1または請求項2に記載の検体測定装置。
【請求項7】
前記ホルダー部は、
一面側から他面側に向けて貫通孔が形成された透明板材と、
前記検体を前記透明板材の一面側に設置した状態で、前記検体の一部が前記貫通孔に入り込み他面側に凸面状に臨むように、一面側から他面側に向けて前記検体を押圧する押圧部と、を有する
請求項1または請求項2に記載の検体測定装置。
【請求項8】
前記ホルダー部は、
前記検体の全長よりも所定に短い透明な筒状体である、
請求項1または請求項2に記載の検体測定装置。
【請求項9】
検体収容部内に収容された検体の測定方法であり、
第1の方向に向けてレーザー光を出射する工程と、
前記レーザー光を反射光として第2の方向に向けて反射する工程と、
前記反射光を前記検体の近傍に向けて集光する工程と、
前記検体収容部を透過した前記反射光の光軸に対するズレ量である偏向度を検出する工程と、
前記反射光が前記検体近傍を透過されたときに、前記検体に含まれるクロロフィルをはじめとする前記検体由来の蛍光分子、及び培養液中の蛍光プローブ分子が励起することにより放射された第1蛍光、及び第2蛍光のうち、前記第1蛍光を第3の方向に透過するとともに前記第2蛍光を第4の方向に反射する工程と、
前記第3の方向に透過した前記第1蛍光の蛍光強度を検出する工程と、
前記第4の方向に透過した前記第2蛍光の蛍光強度を検出する工程と、を備える
検体測定方法。
【請求項10】
前記検体は前記検体収容部内で蛍光プローブを含む培養液中に浸漬されており、
前記培養液中の溶存酸素濃度を検出する工程と、
前記培養液中の温度を検出する工程と、
前記検体の光化学系IIの量子収率を測定する工程と、をさらに備える
請求項9に記載の検体測定方法。
発明の詳細な説明
【技術分野】
【0001】
本発明は、検体測定装置、及び検体測定方法に関する。詳しくは、植物をはじめとする生体器官の生理活動に関する複数の指標を同時に測定して、生体状態をリアルタイムで把握することができる検体測定装置、及び検体測定方法に係るものである。
続きを表示(約 1,600 文字)
【背景技術】
【0002】
植物の栽培現場における植物の生育状態の管理においては、従来は植物の葉や茎の色の変化や表面の斑点の有無、或いは新しい葉や芽が出てくる時間に変化があるか等を目視で観察し、経験と勘に基づいてその生育状態を判断する方法や、植物の伸びや茎の太さや葉の大きさや収穫量の変化等で判断していた。
【0003】
一方、近年では、植物を大規模に栽培する栽培方法が主流となっており、その栽培面積も増加している。このように、栽培面積が大きくなると、生産者等は従来と同様の目視による手法を用いて、栽培する植物群全体の生育状態を管理することは困難である。
【0004】
そこで、植物の健康状態の目視観察を行わずに植物の生理機能から植物の生育状態を診断する技術が提案されている。例えば、植物の健康状態と密接に関連している光合成機能を評価することにより植物の健康状態を管理する技術がある(特許文献1)。
【0005】
特許文献1に係る技術は、クロロフィルで吸収した光エネルギーで光合成の光化学反応を駆動させ、このときクロロフィルが発するクロロフィル蛍光を計測することにより、植物における光合成機能を評価する技術であり、クロロフィル蛍光を画像で計測することからクロロフィル蛍光画像計測法と呼ばれている。
【0006】
このクロロフィル蛍光画像計測法では、光合成に重要となるクロロフィルが発するクロロフィル蛍光を計測しているので、光合成反応の直接的な診断が可能である。このことから、植物の生理機能障害、言い換えれば、外観では目視できない障害の診断が可能である。
【先行技術文献】
【特許文献】
【0007】
特開2001-299090号公報
【発明の概要】
【発明が解決しようとする課題】
【0008】
しかしながら、前記した特許文献1に開示の測定方法では、植物の生理活動に関係する指標としてクロロフィル蛍光強度のみを測定するものである。従って、その他の指標、例えば植物表面近傍の生理活性物質の出入り状況、溶存酸素濃度、光化学系IIの量子収率等を測定する場合には、各指標を測定するための測定機器を別途準備のうえ測定する必要があり、全ての指標を測定するには長時間を要するとともに、各指標をリアルタイムで同時に取得することができないという課題がある。
【0009】
本発明は、以上の点に鑑みて創案されたものであって、植物をはじめとする生体器官の生理活動に関する複数の指標を同時に測定して、生体状態をリアルタイムで把握することができる検体測定装置、及び検体測定方法に係るものである。
【課題を解決するための手段】
【0010】
前記の目的を達成するために、本発明の検体測定装置は、検査対象である検体が収容可能な検体収容部と、前記検体を保持するホルダー部と、第1の方向に向けてレーザー光を出射するレーザー発振部と、該レーザー発振部から出射したレーザー光を反射光として第2の方向に向けて反射する第1ミラー部と、前記反射光の光軸上に設けられ、前記反射光を前記検体の近傍に向けて集光する集光レンズ部と、前記検体収容部を透過した前記反射光の光軸に対するズレ量である偏向度を検出する偏向度検出部と、前記反射光が前記検体近傍を透過したときに、前記検体に含まれるクロロフィルをはじめとする蛍光分子、及びそれと接する培養液中の蛍光プローブが励起することにより放射された第1蛍光、及び第2蛍光のうち、前記第1蛍光を第3の方向に透過するとともに、前記第2蛍光を第4の方向に反射する第2ミラー部と、該第2ミラー部を透過した前記第1蛍光の蛍光強度を検出する第1蛍光検出部と、前記第2ミラー部で反射された前記第2蛍光の蛍光強度を検出する第2蛍光検出部とを備える。
(【0011】以降は省略されています)
この特許をJ-PlatPat(特許庁公式サイト)で参照する
関連特許
学校法人福岡工業大学
吐出装置
1か月前
学校法人福岡工業大学
検体測定装置、及び検体測定方法
29日前
第一稀元素化学工業株式会社
リン酸ジルコニウムナノシート分散液、及びリン酸ジルコニウムナノシートの製造方法
1か月前
個人
視触覚センサ
1日前
個人
採尿及び採便具
1か月前
日本精機株式会社
検出装置
1か月前
個人
計量機能付き容器
26日前
甲神電機株式会社
電流検出装置
1か月前
株式会社カクマル
境界杭
16日前
日本精機株式会社
発光表示装置
9日前
株式会社ミツトヨ
測定器
1か月前
ユニパルス株式会社
トルク変換器
1日前
ユニパルス株式会社
トルク変換器
1日前
株式会社トプコン
測量装置
8日前
ユニパルス株式会社
トルク変換器
1日前
アズビル株式会社
電磁流量計
1か月前
大成建設株式会社
風洞実験装置
26日前
大和製衡株式会社
組合せ計量装置
1か月前
大和製衡株式会社
組合せ計量装置
1か月前
個人
計量具及び計量機能付き容器
26日前
個人
非接触による電磁パルスの測定方法
29日前
愛知時計電機株式会社
ガスメータ
1か月前
日本特殊陶業株式会社
ガスセンサ
8日前
双庸電子株式会社
誤配線検査装置
1か月前
日本信号株式会社
距離画像センサ
29日前
個人
システム、装置及び実験方法
1か月前
日本特殊陶業株式会社
ガスセンサ
1日前
日本特殊陶業株式会社
ガスセンサ
2日前
愛知電機株式会社
軸部材の外観検査装置
1か月前
日本特殊陶業株式会社
ガスセンサ
24日前
株式会社タイガーカワシマ
揚穀装置
8日前
本陣水越株式会社
車載式計測標的物
3日前
日置電機株式会社
絶縁抵抗測定装置
1日前
日東精工株式会社
振動波形検査装置
1か月前
トヨタ自動車株式会社
測定システム
1か月前
個人
液位検視及び品質監視システム
24日前
続きを見る
他の特許を見る