TOP
|
特許
|
意匠
|
商標
特許ウォッチ
Twitter
他の特許を見る
10個以上の画像は省略されています。
公開番号
2025160677
公報種別
公開特許公報(A)
公開日
2025-10-23
出願番号
2024063379
出願日
2024-04-10
発明の名称
燃料電池用バインダー
出願人
日清紡ホールディングス株式会社
,
国立大学法人東京科学大学
代理人
弁理士法人英明国際特許事務所
主分類
H01M
4/86 20060101AFI20251016BHJP(基本的電気素子)
要約
【課題】 フッ素原子を含まないため環境負荷が少なく、無加湿高温条件で使用可能な燃料電池用バインダーを提供すること。
【解決手段】 N-ビニルイミダゾール、N-ビニルイミダゾールの誘導体およびそれらの混合物から選ばれるモノマーの重合体からなる燃料電池用バインダー。
【選択図】 なし
特許請求の範囲
【請求項1】
N-ビニルイミダゾール、N-ビニルイミダゾールの誘導体およびそれらの混合物から選ばれるモノマーの重合体からなる燃料電池用バインダー。
続きを表示(約 650 文字)
【請求項2】
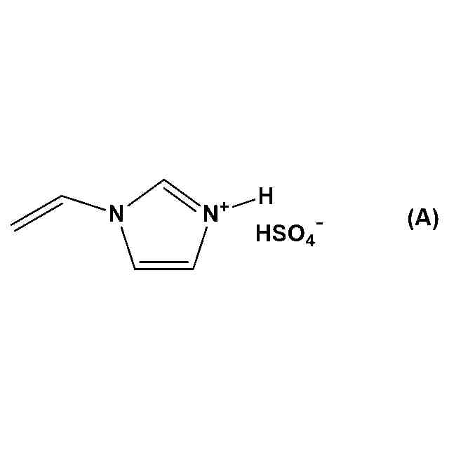
前記N-ビニルイミダゾールの誘導体が、下記式(1)および式(2)で表される少なくとも1種である請求項1記載の燃料電池用バインダー。
TIFF
2025160677000007.tif
31
162
(式(1)中、X
-
は、1価のアニオンを表す。式(2)中、Zは、炭素-炭素結合間に酸素原子が介在していてもよい炭素数1~20のアルキレン基を表し、Y
-
は、互いに独立して1価のアニオンを表し、nは、1~20の整数を表す。)
【請求項3】
前記X
-
が、HSO
4
-
である請求項2記載の燃料電池用バインダー。
【請求項4】
前記Zが、炭素-炭素結合間に酸素原子が介在していてもよい炭素数4~16のアルキレン基である請求項2記載の燃料電池用バインダー。
【請求項5】
前記Y
-
が、いずれもHSO
4
-
である請求項2記載の燃料電池用バインダー。
【請求項6】
燃料電池の触媒インク用である請求項1~5のいずれか1項記載の燃料電池用バインダー。
【請求項7】
触媒担持カーボン粒子、溶媒および請求項6記載の燃料電池用バインダーを含む燃料電池の触媒インク。
【請求項8】
請求項7記載の触媒インクから得られる燃料電池の触媒層。
発明の詳細な説明
【技術分野】
【0001】
本発明は、燃料電池用バインダーに関する。
続きを表示(約 1,600 文字)
【背景技術】
【0002】
燃料電池は、水素等の燃料と大気中の酸素とを電池に供給し、これらを電気化学的に反応させて水を作り出すことで直接発電させるものであり、高い効率でエネルギー変換可能で、環境適応性に優れていることから、小規模地域発電、家庭用発電、キャンプ場等での簡易電源、自動車、小型船舶等の移動用電源、人工衛星、宇宙開発用電源等の各種用途向けに開発が進められている。
【0003】
このような燃料電池、特に固体高分子型燃料電池は、固体高分子電解質膜と、この両側に配設されたアノード電極およびカソード電極とからなる膜電極接合体を、一対のセパレータで挟持してなる単位セルを複数個並設してなるモジュールから構成されている。
また、上記アノード電極およびカソード電極は、いずれも電解質膜側に、反応に直接関与する触媒層を備えている。
【0004】
この触媒層は、主に触媒担体である炭素、白金粒子およびイオン伝導性の高分子バインダーを含んで構成される。
イオン伝導性の高分子バインダーとしては、従来、電解質膜を構成する材料と同様に、フッ素系ポリマーであるナフィオン(Nafion,登録商標、以下同じ。)や、アクイビオン(Aquivion、登録商標、以下同じ。)が一般的に広く用いられているが、これらのポリマーは、水和によってプロトンを伝導する発揮する材料であるため、無加湿高温での発電を目指すタイプの燃料電池には適していない。
【0005】
この点に鑑み、例えば、特許文献1には、高温の作動条件下において、無加湿または低加湿であっても、優れたプロトン伝導性および結着性を有する燃料電池用バインダーとして、2以上のアミノ基を有する含窒素複素環化合物で修飾されたビニリデンフロライド-ヘキサフルオロプロピレン共重合体が開示されている。
特許文献1のバインダーを用いた場合、150℃、無加湿条件下でも発電可能であるものの、当該バインダーは、ナフィオン等と同様フッ素系ポリマーであるため、環境負荷、安全性等の点で問題がある。
【0006】
また、非特許文献1,2には、側鎖にスルホ基とイミダゾリウム塩基を有する高分子イオン液体バインダーが開示されているが、このバインダーは、ナフィオンと併用しなければ、80℃における酸素活性過程の向上が見られていない。
【先行技術文献】
【特許文献】
【0007】
特開2009-158372号公報
【非特許文献】
【0008】
ACS Energy Lett. 2020, 5 (6), 1726-1731. https://doi.org/10.1021/acsenergylett.0c00532.
Macromolecules 2022, 55 (15), 6716-6729. https://doi.org/10.1021/acs.macromol.2c00468.
【発明の概要】
【発明が解決しようとする課題】
【0009】
本発明は、このような事情に鑑みてなされたものであり、フッ素原子を含まないため環境負荷が少なく、無加湿高温条件で使用可能な燃料電池用バインダーを提供することを目的とする。
【課題を解決するための手段】
【0010】
本発明者らは、上記目的を達成するために鋭意検討を重ねた結果、N-ビニルイミダゾール、N-ビニルイミダゾールの誘導体およびそれらの混合物から選ばれるモノマーの重合体からなる燃料電池用バインダーが、無加湿高温条件で使用可能であることを見出し、本発明を完成した。
(【0011】以降は省略されています)
特許ウォッチbot のツイートを見る
この特許をJ-PlatPat(特許庁公式サイト)で参照する
関連特許
東ソー株式会社
絶縁電線
1か月前
APB株式会社
蓄電セル
29日前
日新イオン機器株式会社
イオン源
1か月前
ローム株式会社
半導体装置
1か月前
マクセル株式会社
電源装置
23日前
株式会社東芝
端子台
23日前
株式会社GSユアサ
蓄電設備
1か月前
株式会社GSユアサ
蓄電設備
1か月前
株式会社GSユアサ
蓄電装置
2日前
株式会社GSユアサ
蓄電装置
24日前
富士電機株式会社
電磁接触器
2日前
株式会社GSユアサ
蓄電装置
16日前
三菱電機株式会社
回路遮断器
10日前
株式会社GSユアサ
蓄電装置
24日前
太陽誘電株式会社
コイル部品
1か月前
株式会社ホロン
冷陰極電子源
1か月前
北道電設株式会社
配電具カバー
29日前
日新イオン機器株式会社
基板処理装置
26日前
日本特殊陶業株式会社
保持装置
1か月前
トヨタ自動車株式会社
蓄電装置
24日前
トヨタ自動車株式会社
バッテリ
29日前
トヨタ自動車株式会社
冷却構造
1か月前
日本特殊陶業株式会社
保持装置
15日前
ヒロセ電機株式会社
電気コネクタ
2日前
住友電装株式会社
コネクタ
2日前
ローム株式会社
半導体装置
1か月前
株式会社デンソー
電子装置
26日前
日亜化学工業株式会社
半導体レーザ素子
26日前
日本無線株式会社
レーダアンテナ
17日前
トヨタ自動車株式会社
電池パック
1か月前
トヨタ自動車株式会社
密閉型電池
25日前
ローム株式会社
半導体モジュール
3日前
トヨタ自動車株式会社
電池パック
1か月前
住友電装株式会社
コネクタ
1か月前
株式会社レゾナック
冷却器
10日前
株式会社トクヤマ
シリコンエッチング液
1か月前
続きを見る
他の特許を見る