TOP
|
特許
|
意匠
|
商標
特許ウォッチ
Twitter
他の特許を見る
10個以上の画像は省略されています。
公開番号
2025158510
公報種別
公開特許公報(A)
公開日
2025-10-17
出願番号
2024061121
出願日
2024-04-04
発明の名称
情報処理装置、制御装置、情報処理方法、およびプログラム
出願人
国立研究開発法人農業・食品産業技術総合研究機構
代理人
個人
,
個人
,
個人
,
個人
,
個人
主分類
F41H
13/00 20060101AFI20251009BHJP(武器)
要約
【課題】飛翔害虫などの標的を高出力レーザーで狙撃するために、より適したキャリブレーションを実現すること。
【解決手段】レーザー照射装置の構成要素であるレーザー走査装置の走査角度を変えつつ、所定の構造物に対して前記レーザー照射装置からレーザーを複数回照射した照射点をカメラで撮像することによって得られた複数の画像を取得する画像取得部と、前記複数の画像に写される前記照射点の座標と、前記レーザー走査装置と前記カメラの位置関係を決定するパラメータ群によって規定されるレーザー直線との間の距離を誤差として算出する誤差算出部と、前記誤差を最小化するように前記パラメータ群を最適化するパラメータ群最適化部と、を備える、情報処理装置。
【選択図】図1
特許請求の範囲
【請求項1】
レーザー照射装置の構成要素であるレーザー走査装置の走査角度を変えつつ、所定の構造物に対して前記レーザー照射装置からレーザーを複数回照射した照射点をカメラで撮像することによって得られた複数の画像を取得する画像取得部と、
前記複数の画像に写される前記照射点の座標と、前記レーザー走査装置と前記カメラの位置関係を決定するパラメータ群によって規定されるレーザー直線との間の距離を誤差として算出する誤差算出部と、
前記誤差を最小化するように前記パラメータ群を最適化するパラメータ群最適化部と、を備える、
情報処理装置。
続きを表示(約 1,300 文字)
【請求項2】
前記パラメータ群最適化部は、前記パラメータ群に含まれるパラメータを変化させることによって前記レーザー直線を変化させ、前記照射点の座標に近づけることによって前記パラメータ群を最適化する、
請求項1に記載の情報処理装置。
【請求項3】
前記カメラは3Dカメラであり、
前記3Dカメラの1種であるステレオカメラを使用した場合、前記照射点の座標は、前記複数の画像に含まれる可視画像と視差画像から算出される3次元座標である、
請求項1に記載の情報処理装置。
【請求項4】
前記パラメータ群は、前記カメラを基準とするカメラ座標系から前記レーザー走査装置を基準とするレーザー走査装置座標系への平行移動量、前記カメラ座標系から前記レーザー走査装置座標系への回転移動量、前記レーザー照射装置によって照射されるレーザー直線上の任意の一点、前記レーザー走査装置に反射される前の前記レーザー直線の向き、および前記レーザー走査装置の走査角度の指令値と実際の角度のずれの少なくとも一つを含む、
請求項1に記載の情報処理装置。
【請求項5】
請求項1に記載の情報処理装置によって最適化されたパラメータ群に基づいて、前記レーザー照射装置を制御する制御装置であって、
標的をカメラで撮像することによって得られた画像を取得する画像取得部と、
前記画像に写される標的の座標と、前記パラメータ群および前記レーザー走査装置の走査角度によって規定されるレーザー直線との間の距離が最小化される前記走査角度を決定する走査角度決定部と、
決定された前記走査角度を前記レーザー照射装置に指令値として与えてレーザーを照射させるレーザー照射制御部と、を備える、
制御装置。
【請求項6】
コンピュータが、
レーザー照射装置の構成要素であるレーザー走査装置の走査角度を変えつつ、所定の構造物に対して前記レーザー照射装置からレーザーを複数回照射した照射点をカメラで撮像することによって得られた複数の画像を取得し、
前記複数の画像に写される前記照射点の座標と、前記レーザー走査装置と前記カメラの位置関係を決定するパラメータ群によって規定されるレーザー直線との間の距離を誤差として算出し、
前記誤差を最小化するように前記パラメータ群を最適化する、
情報処理方法。
【請求項7】
コンピュータに、
レーザー照射装置の構成要素であるレーザー走査装置の走査角度を変えつつ、所定の構造物に対して前記レーザー照射装置からレーザーを複数回照射した照射点をカメラで撮像することによって得られた複数の画像を取得させ、
前記複数の画像に写される前記照射点の座標と、前記レーザー走査装置と前記カメラの位置関係を決定するパラメータ群によって規定されるレーザー直線との間の距離を誤差として算出させ、
前記誤差を最小化するように前記パラメータ群を最適化させる、
プログラム。
発明の詳細な説明
【技術分野】
【0001】
本発明は、情報処理装置、制御装置、情報処理方法、およびプログラムに関する。
続きを表示(約 1,700 文字)
【背景技術】
【0002】
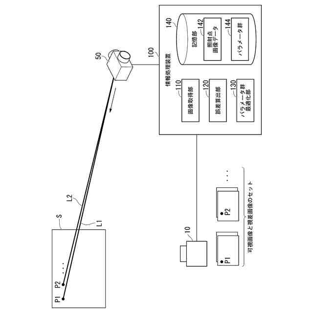
従来、飛翔害虫を高出力レーザーで狙撃する技術が知られている。飛翔害虫を高出力レーザーで狙撃するためには、飛翔害虫の3次元位置を計測するステレオカメラの座標系と、レーザービームの角度を制御するガルバノミラーの座標系との位置関係を事前に特定(キャリブレーション)することが必要である。
【0003】
これに関連して、特許文献1には、コンベアの回転速度に比例した振幅のアナログ信号をキャリブレーションし、レーザーの照射対象となるワークの相対位置を求める技術が記載されている。特許文献2には、対象面を撮像するカメラと、当該対象面にレーザー光をスキャンするガルバノスキャナとのキャリブレーションテーブルを作成する技術が記載されている。しかしながら、上記の従来技術は、いずれも平面にレーザーの照射するものであり、またカメラとガルバノミラーとの位置関係を特定するものではない。すなわち、これら従来技術は、3次元位置を動く飛翔害虫を高出力レーザーで狙撃するために適したキャリブレーションを実現するものではなかった。
【先行技術文献】
【特許文献】
【0004】
特開平8-323486号公報
特開2008-264789号公報
【発明の概要】
【発明が解決しようとする課題】
【0005】
本発明は、このような事情を考慮してなされたものであり、飛翔害虫などの標的を高出力レーザーで狙撃するために、より適したキャリブレーションを実現することができる情報処理装置、制御装置、情報処理方法、およびプログラムを提供することを目的の一つとする。
【課題を解決するための手段】
【0006】
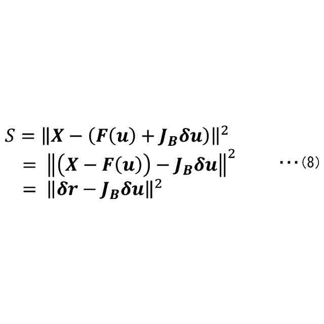
本発明の一態様である情報処理装置は、レーザー照射装置の構成要素であるレーザー走査装置の走査角度を変えつつ、所定の構造物に対して前記レーザー照射装置からレーザーを複数回照射した照射点をカメラで撮像することによって得られた複数の画像を取得する画像取得部と、前記複数の画像に写される前記照射点の座標と、前記レーザー走査装置と前記カメラの位置関係を決定するパラメータ群によって規定されるレーザー直線との間の距離を誤差として算出する誤差算出部と、前記誤差を最小化するように前記パラメータ群を最適化するパラメータ群最適化部と、を備えるものである。
【0007】
前記パラメータ群最適化部は、前記パラメータ群に含まれるパラメータを変化させることによって前記レーザー直線を変化させ、前記照射点の座標に近づけることによって前記パラメータ群を最適化してもよい。
【0008】
前記カメラは3Dカメラであり、前記3Dカメラの1種であるステレオカメラを使用した場合、前記照射点の座標は、前記複数の画像に含まれる可視画像と視差画像から算出される3次元座標であってもよい。
【0009】
前記パラメータ群は、前記カメラを基準とするカメラ座標系から前記レーザー走査装置を基準とするレーザー走査装置座標系への平行移動量、前記カメラ座標系から前記レーザー走査装置座標系への回転移動量、前記レーザー照射装置によって照射されるレーザー直線上の任意の一点、前記レーザー走査装置に反射される前の前記レーザー直線の向き、および前記レーザー走査装置の走査角度の指令値と実際の角度のずれの少なくとも一つを含んでもよい。
【0010】
本発明の別の態様である制御装置は、上記情報処理装置によって最適化されたパラメータ群に基づいて、前記レーザー照射装置を制御する制御装置であって、標的をカメラで撮像することによって得られた画像を取得する画像取得部と、前記画像に写される標的の座標と、前記パラメータ群および前記レーザー走査装置の走査角度によって規定されるレーザー直線との間の距離が最小化される前記走査角度を決定する走査角度決定部と、決定された前記走査角度を前記レーザー照射装置に指令値として与えてレーザーを照射させるレーザー照射制御部と、を備えるものである。
(【0011】以降は省略されています)
この特許をJ-PlatPat(特許庁公式サイト)で参照する
関連特許
個人
弓用の弦
4か月前
個人
くまステッキ
5か月前
個人
矢筒兼用矢立
9日前
東レ株式会社
防刃材
9か月前
個人
低反動銃火器
8か月前
個人
超強力磁石付き刺股。
11か月前
個人
電動エアソフトガン
1か月前
株式会社東京マルイ
玩具銃
6か月前
有限会社佐野機工
ホルスター
2か月前
個人
シールドバリア生成装置
2か月前
個人
防犯用カラーボウル付きの指す叉
5か月前
日本化薬株式会社
防護システム
1か月前
パテントフレア株式会社
遠赤外レーザー銃
11か月前
株式会社 MULE
発火カートリッジ
4か月前
株式会社ライト光機製作所
光学照準器
3か月前
個人
弾倉、気体収容部材及び玩具銃
10か月前
アイ・コーポレーション株式会社
刺股
9か月前
株式会社ライト光機製作所
光学照準器
2か月前
個人
フェイズドアレイテスラコイル防空システム
4か月前
三菱重工業株式会社
装甲車
10か月前
株式会社LIXIL
防犯フェンス
8か月前
株式会社カブール
防刃・防刺・防弾用具
6か月前
個人
ライフル銃、ピストルおよびそれらの位置調整機構
6か月前
合同会社IPマネジメント
RWSによるアクティブ防御システム
6か月前
株式会社国際電気
射撃訓練システム
9か月前
京北産業有限会社
射撃訓練システム
7か月前
三菱電機株式会社
衝撃波発生装置および衝撃波発生方法
1か月前
株式会社モダンビル管理
体動訓練システム、訓練方法及び訓練アプリケーション
11か月前
NECネットワーク・センサ株式会社
水中航走体射出装置および射出方法
8か月前
三菱重工業株式会社
照準投射システム及び照準投射方法
7か月前
株式会社ナイト工芸
飛沫拡散防止機能付ブローライフル
9か月前
株式会社エイテック
標的システム
11か月前
株式会社LIXIL
防犯フェンス
8か月前
株式会社JVCケンウッド
方向特定システム、飛来方向特定システム及び方向特定プログラム
2か月前
東芝電波プロダクツ株式会社
現示器、現示システム、および現示方法
10か月前
東芝電波プロダクツ株式会社
着弾方位の音響現示装置、方法、およびプログラム
10か月前
続きを見る
他の特許を見る