TOP
|
特許
|
意匠
|
商標
特許ウォッチ
Twitter
他の特許を見る
10個以上の画像は省略されています。
公開番号
2025152648
公報種別
公開特許公報(A)
公開日
2025-10-10
出願番号
2024054647
出願日
2024-03-28
発明の名称
積層体、積層体の製造方法、及び超伝導転移温度を上昇させる方法
出願人
国立大学法人東京科学大学
代理人
個人
主分類
C23C
14/06 20060101AFI20251002BHJP(金属質材料への被覆;金属質材料による材料への被覆;化学的表面処理;金属質材料の拡散処理;真空蒸着,スパッタリング,イオン注入法,または化学蒸着による被覆一般;金属質材料の防食または鉱皮の抑制一般)
要約
【課題】酸化物超伝導材料等の物体を持続的に加圧する構造の積層体、及びその製造方法、並びに、超伝導転移温度を上昇させる方法を提供すること。
【解決手段】酸化物超伝導材料及び導電性材料より選択される材料を含む物体上に、ダイヤモンド状炭素(DLC)膜を備える積層体であって、前記物体が、線材、シート材、又は、基材上に形成されたパターン状の薄膜である、積層体。
【選択図】図1
特許請求の範囲
【請求項1】
酸化物超伝導材料及び導電性材料より選択される材料を含む物体上に、ダイヤモンド状炭素(DLC)膜を備える積層体であって、
前記物体が、線材、シート材、又は、基材上に形成されたパターン状の薄膜である、積層体。
続きを表示(約 560 文字)
【請求項2】
前記物体が基材上に形成されたパターン状の薄膜であって、当該パターン状の薄膜が、繰り返しパターンを有する、請求項1に記載の積層体。
【請求項3】
前記繰り返しパターンが、ストライプ状、又はタイル状パターンである、請求項2に記載の積層体。
【請求項4】
前記薄膜のライン幅が、0.5~500μmである、請求項2に記載の積層体。
【請求項5】
前記薄膜の厚みが、0.05~5μmである、請求項2に記載の積層体。
【請求項6】
前記物体が、断面の長径が50mm以下の線材である、請求項1に記載の積層体。
【請求項7】
前記物体がシート材であって、前記シート材の少なくとも一方の面に前記DLC膜を備える、請求項1に記載の積層体。
【請求項8】
前記シート材の前記DLC膜とは反対の面から厚さ約1/3の範囲に圧縮応力を生じさせる、請求項7に記載の積層体。
【請求項9】
前記DLC膜の厚みが、0.05~5μmである、請求項1に記載の積層体。
【請求項10】
前記DLC膜が、20MPa以上の圧縮内部応力を有する、請求項1に記載の積層体。
(【請求項11】以降は省略されています)
発明の詳細な説明
【技術分野】
【0001】
本開示は、積層体、積層体の製造方法、及び超伝導転移温度を上昇させる方法に関する。
続きを表示(約 3,200 文字)
【背景技術】
【0002】
超伝導は、ある転移温度Tc以下で材料の電気抵抗がなくなる現象である。現在では、カーボンニュートラルやSDGsの達成に向けた省エネルギー化やCO
2
の削減などが行われており、超伝導はこれらを解決する現象として注目されている。例えば,省エネルギーに関しては超伝導状態を利用した無抵抗送電線が期待されている。また、それ以外にも超伝導を用いたアプリケーションとしては、高速移動を可能にするリニアモーターカーや、人体の内部を精密に画像化することができる磁気共鳴画像法(Magnetic Resonance Image:MRI)、並列計算を可能にする量子コンピュータなどがある。
【0003】
超伝導体には圧力を加えることでTcが上昇するものがあることが知られており、これは圧力効果と呼ばれている。例えば特許文献1には、超伝導体の圧力効果を調査するために使用される高圧発生装置が開示されている。
【0004】
また、特許文献2には、金属製長尺基材上に、ダイヤモンドライクカーボン薄膜を用いた緩衝層を介して、酸化物超伝導体を成膜してなる酸化物超伝導複合長尺体が開示されている。特許文献2によれば、緩衝層を設けることで、熱処理中に生じる、基材中の原子と、酸化物超伝導材料との相互拡散を防止できるとされている。
【先行技術文献】
【特許文献】
【0005】
特開2012-187612号公報
特開平02-243781号公報
【発明の概要】
【発明が解決しようとする課題】
【0006】
超伝導の産業上利用の観点から、様々な方法でTcを上昇させることが検討されている。一つの手段として、上記圧力効果が検討されている。しかしながら例えば、液体窒素下で配線されている量子コンピュータ等の配線を大型プレスにより加圧するのは困難である。そのため機械的圧縮機器を用いずに圧力効果が得られる方法が求められている。
【0007】
本発明は上記課題を解決するものであり、酸化物超伝導材料等の物体を持続的に加圧する構造の積層体、及びその製造方法、並びに、超伝導転移温度を上昇させる方法を提供することを目的とする。
【課題を解決するための手段】
【0008】
本発明は以下の態様を含む。
[1]
酸化物超伝導材料及び導電性材料より選択される材料を含む物体上に、ダイヤモンド状炭素(Diamond-Like Carbon、DLC)膜を備える積層体であって、
前記物体が、線材、シート材、又は、基材上に形成されたパターン状の薄膜である、積層体。
[2]
前記物体が基材上に形成されたパターン状の薄膜であって、当該パターン状の薄膜が、繰り返しパターンを有する、[1]に記載の積層体。
[3]
前記繰り返しパターンが、ストライプ状、又はタイル状パターンである、[2]に記載の積層体。
[4]
前記薄膜のライン幅が、0.5~500μmである、[2]又は[3]に記載の積層体。
[5]
前記薄膜の厚みが、0.05~5μmである、[2]~[4]のいずれかに記載の積層体。
[6]
前記物体が、断面の長径が50mm以下の線材である、[1]に記載の積層体。
[7]
前記物体がシート材であって、前記シート材の少なくとも一方の面に前記DLC膜を備える、[1]に記載の積層体。
[8]
前記シート材の前記DLC膜とは反対の面から厚さ約1/3の範囲に圧縮応力を生じさせる、[7]に記載の積層体。
[9]
前記DLC膜の厚みが、0.05~5μmである、[1]~[8]のいずれかに記載の積層体。
[10]
前記DLC膜が、20MPa以上の圧縮内部応力を有する、[1]~[9]のいずれかに記載の積層体。
[11]
前記材料が、酸化物超伝導材料である、[1]~[10]のいずれかに記載の積層体。
[12]
前記酸化物超伝導材料が、銅酸化物超伝導体である、[11]に記載の積層体。
[13]
DLC膜を有しない物体に対して、超伝導転移温度が0.5K以上高い、[11]又は[12]に記載の積層体。
[14]
前記材料が導電性材料であり、前記物体がパターン状の薄膜であり、前記パターンが回路パターンを構成する、[1]~[10]のいずれかに記載の積層体。
[15]
[1]~[14]のいずれかに記載の積層体の製造方法であって、
酸化物超伝導材料及び導電性材料より選択される材料を含む物体を準備することと、
前記物体上にDLC膜を成膜することと、を含む、積層体の製造方法。
[16]
前記DLC膜の成膜が、気相成長法により行われる、請求項15に記載の積層体の製造方法。
[17]
前記DLC膜の成膜が、Filtered Cathodic Vacuum Arc法により行われる、[15]に記載の積層体の製造方法。
[18]
酸化物超伝導材料を含む物体に、DLCをコーティングすることを含む、物体の超伝導転移温度を上昇させる方法。
[19]
前記物体がシート材であって、前記シート材の少なくとも一方の面にDLCをコーティングすることを含み、
前記シート材の前記DLC膜とは反対の面から厚さ約1/3の範囲に圧縮応力を生じさせる、[18]に記載の物体の超伝導転移温度を上昇させる方法。
[20]
前記DLC膜のコーティングが、Filtered Cathodic Vacuum Arc法により行われる、[18]又は[19]に記載の物体の超伝導転移温度を上昇させる方法。
【発明の効果】
【0009】
本発明により、酸化物超伝導材料等の物体を持続的に加圧する構造の積層体、及びその製造方法、並びに、超伝導転移温度を上昇させる方法を提供することができる。
【図面の簡単な説明】
【0010】
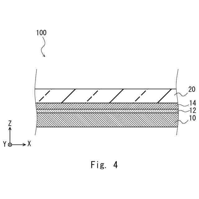
第1実施形態の積層体の一例を示す模式的断面図である。
積層体中の物体が加圧されることを説明するために用いる模式的断面図である。
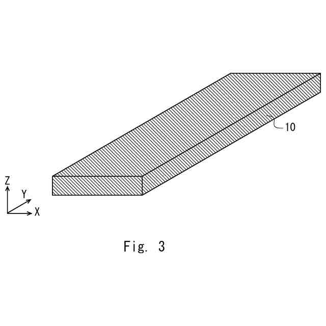
第1実施形態の物体の一例を示す斜視図である。
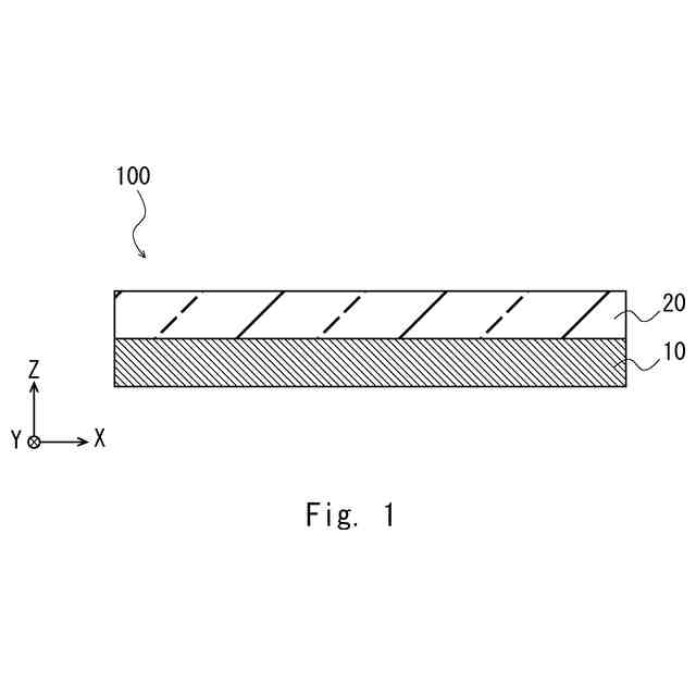
第1実施形態の積層体の一例を示す模式的断面図である。
第2実施形態の積層体の一例を示す模式的断面図である。
第2実施形態の積層体の一例を示す模式的断面図である。
第3実施形態の積層体の一例を示す模式的断面図及び正面図である。
積層体中の物体が加圧されることを説明するために用いる模式的断面図である。
第3実施形態の積層体の一例を示す模式的正面図である。
第3実施形態の積層体の一例を示す模式的断面図である。
FCVA法の概略図である。
レーザー顕微鏡を用いた構造評価結果である。
YBCO薄膜のパターン形状を示すレーザー顕微鏡像である。
DLC膜のラマンスペクトルである。
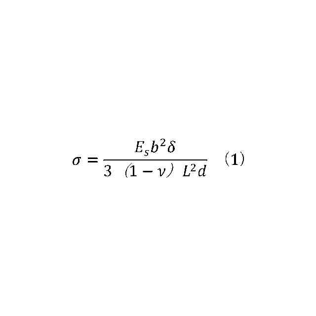
Stoneyの式のパラメータを説明するための模式的断面図である。
薄膜の超伝導性評価を示すグラフである。
DLC膜の膜厚を示すグラフである。
【発明を実施するための形態】
(【0011】以降は省略されています)
この特許をJ-PlatPat(特許庁公式サイト)で参照する
関連特許
国立大学法人東京科学大学
通信装置
1か月前
国立大学法人東京科学大学
バラン回路
1か月前
国立大学法人東京科学大学
非線形回路
1か月前
国立大学法人東京科学大学
光化学センサ装置
2か月前
国立大学法人東京科学大学
チューニング装置
1か月前
国立大学法人東京科学大学
引張試験装置、及び試験片
1か月前
NTT株式会社
光デバイス
2か月前
国立大学法人東京科学大学
情報処理方法及びプログラム
1か月前
国立大学法人東京科学大学
複合酸化物パターンの形成方法
2か月前
国立大学法人東京科学大学
受光装置および光給電システム
1か月前
国立大学法人東京科学大学
押込試験装置、及び押込試験方法
1か月前
国立大学法人東京科学大学
燃料デブリの固化方法および固化体
1か月前
国立大学法人東京科学大学
振動センサ及び振動数検出システム
1か月前
学校法人早稲田大学
太陽光発電モジュール
1か月前
国立大学法人東京科学大学
ガラスアクチュエータ素子及びその製造方法
2か月前
国立大学法人東京科学大学
ジアセチル計測方法及びジアセチル計測装置
10日前
国立大学法人東京科学大学
計測装置、計測方法、及び、制御プログラム
10日前
トヨタ自動車株式会社
フッ化物イオン電池
1か月前
AGC株式会社
調光デバイスおよび調光方法
23日前
日清紡ホールディングス株式会社
燃料電池用電解質膜
1か月前
日清紡ホールディングス株式会社
燃料電池用バインダー
1か月前
鉄建建設株式会社
ガス化方法及び半炭化燃料材の製造方法
2日前
住友化学株式会社
磁気トンネル接合素子及び磁気デバイス
29日前
株式会社Synspective
パッシブアンテナパネル
2か月前
国立大学法人東京科学大学
面発光レーザ
1か月前
国立大学法人東京科学大学
修飾ヘテロ核酸
1か月前
国立大学法人東京科学大学
積層体、積層体の製造方法、及び超伝導転移温度を上昇させる方法
1か月前
三菱マテリアル株式会社
光機能材料、および、光機能材料付き基板
2か月前
NTT株式会社
通信品質予測装置、通信品質予測方法、及びプログラム
1か月前
パナソニックインダストリー株式会社
コンデンサ及びコンデンサの製造方法
1か月前
つばめBHB株式会社
触媒成形体及び該触媒を用いるアンモニアの合成方法
1か月前
NTT株式会社
植物の開花時期制御方法および開花時期が制御された植物の作出方法
8日前
三井化学株式会社
レーザ描画用光硬化性樹脂組成物、立体造形物、および立体造形物の製造方法
1か月前
三井化学株式会社
レーザ描画用光硬化性樹脂組成物、立体造形物、および立体造形物の製造方法
1か月前
一般財団法人ファインセラミックスセンター
微粒子及びその製造方法
26日前
国立研究開発法人量子科学技術研究開発機構
ディスペンサシステム、検査キット、および当該ディスペンサシステムを用いた試薬添加方法
23日前
続きを見る
他の特許を見る