TOP
|
特許
|
意匠
|
商標
特許ウォッチ
Twitter
他の特許を見る
10個以上の画像は省略されています。
公開番号
2025153804
公報種別
公開特許公報(A)
公開日
2025-10-10
出願番号
2024056442
出願日
2024-03-29
発明の名称
レーザ描画用光硬化性樹脂組成物、立体造形物、および立体造形物の製造方法
出願人
三井化学株式会社
,
国立大学法人東京科学大学
代理人
弁理士法人鷲田国際特許事務所
主分類
B29C
64/314 20170101AFI20251002BHJP(プラスチックの加工;可塑状態の物質の加工一般)
要約
【課題】内部でレーザを集光させて微細な立体造形物を精度よく製造することが可能なレーザ描画用光硬化性樹脂組成物を提供すること。
【解決手段】上記課題を解決するレーザ描画用光硬化性樹脂組成物は、(メタ)アクリロイル基を含む光硬化性化合物と、光重合開始剤と、2官能以上の芳香族イソシアネートと、を含有する。
【選択図】なし
特許請求の範囲
【請求項1】
(メタ)アクリロイル基を含む光硬化性化合物と、
光重合開始剤と、
2官能以上の芳香族イソシアネートと、
を含有する、
レーザ描画用光硬化性樹脂組成物。
続きを表示(約 1,200 文字)
【請求項2】
前記芳香族イソシアネートが、ジフェニルメタンジイソシアネートである、
請求項1に記載のレーザ描画用光硬化性樹脂組成物。
【請求項3】
硬化物の25℃における波長589nmの光の屈折率が1.60以上であり、かつ25℃における波長589nmの光のアッベ数が25以下である、
請求項1に記載のレーザ描画用光硬化性樹脂組成物。
【請求項4】
前記光硬化性化合物が、分子内に2つ以上の(メタ)アクリロイル基、およびフルオレン構造を有する、フルオレン含有(メタ)アクリレートを含む、
請求項1に記載のレーザ描画用光硬化性樹脂組成物。
【請求項5】
前記フルオレン含有(メタ)アクリレートの量が、前記光硬化性化合物の総量に対して、30質量%以上70質量%以下である、
請求項4に記載のレーザ描画用光硬化性樹脂組成物。
【請求項6】
前記光硬化性化合物が、分子内に2つ以上の(メタ)アクリロイル基、および硫黄原子を含有する硫黄含有(メタ)アクリレートを含む、
請求項1にレーザ描画用光硬化性樹脂組成物。
【請求項7】
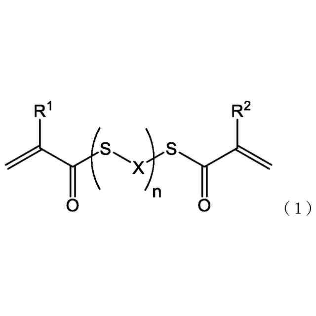
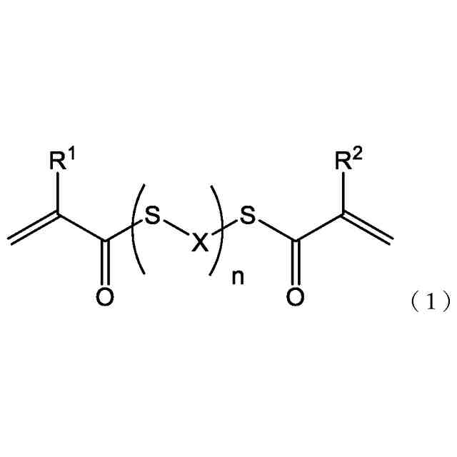
前記硫黄含有(メタ)アクリレートが、下記一般式(1)で表される(メタ)アクリル酸チオエステル化合物である、
請求項6に記載のレーザ描画用光硬化性樹脂組成物。
TIFF
2025153804000014.tif
35
122
(一般式(1)中、
Xは、下記一般式(2)で表される基が結合していてもよく、かついずれかのメチレン基がカルボニル基で置換されていてもよい、炭素数1以上4以下のアルキレン基を表し、
nは5以上の整数を表し、
R
1
およびR
2
はそれぞれ独立に、水素原子またはメチル基を表す
TIFF
2025153804000015.tif
33
122
(一般式(2)中、
R
3
は、水素原子またはメチル基を表し、
Zは炭素数1以上4以下のアルキレン基を表し、
pは1以上の整数を表す))
【請求項8】
請求項1~7のいずれか一項に記載のレーザ描画用光硬化性樹脂組成物の硬化物を含む、
立体造形物。
【請求項9】
請求項1~7のいずれか一項に記載のレーザ描画用光硬化性樹脂組成物を含む層を、レーザ透過性を有する基板上に形成する工程と、
前記レーザ描画用光硬化性樹脂組成物を含む層を空気中で仮硬化させる工程と、
仮硬化後のレーザ描画用光硬化性樹脂組成物内に、前記基板を介してレーザを照射する工程と、
を含む、
立体造形物の製造方法。
【請求項10】
前記レーザが、フェムト秒パルスレーザである、
請求項9に記載の立体造形物の製造方法。
発明の詳細な説明
【技術分野】
【0001】
本発明は、レーザ描画用光硬化性樹脂組成物、立体造形物、および立体造形物の製造方法に関する。
続きを表示(約 2,500 文字)
【背景技術】
【0002】
近年、各種電子機器の小型化が求められており、マイクロオーダーやナノオーダーの微細な立体造形物を得ることが求められている。このような微細な立体造形物を製造する方法として、光硬化性を有する樹脂組成物の内部でレーザを集光させ、レーザの焦点近傍の樹脂組成物のみを硬化させる方法が提案されている(例えば特許文献1)。特許文献1には、フェムト秒パルスレーザ等を用い、樹脂組成物の二光子吸収を利用することで、光の回折限界以下の微細加工を行うことが記載されている。
【先行技術文献】
【特許文献】
【0003】
特開2003-1599号公報
【発明の概要】
【発明が解決しようとする課題】
【0004】
しかしながら、上記造形を行うための樹脂組成物は通常、流動性を有する液状の組成物である。そして、このような樹脂組成物にレーザを照射し、硬化に伴う体積変化が生じると、その周囲の樹脂組成物が体積減少部分に流れ込み、樹脂組成物に流れが発生する。その結果、先に形成した硬化物の位置がずれたり、レーザ照射中に周囲の樹脂組成物にもレーザが照射されたりしやすく、所望の精度で立体造形物を得ることが難しい、という課題があった。
【0005】
本発明は、上記課題を鑑みてなされたものである。内部でレーザを集光させて微細な立体造形物を精度よく製造することが可能なレーザ描画用光硬化性樹脂組成物の提供を目的とする。本発明はさらに、上記レーザ描画用光硬化性樹脂組成物から得られる立体造形物、さらにはこれを用いた立体造形物の製造方法の提供も目的とする。
【課題を解決するための手段】
【0006】
本発明は、以下のレーザ描画用光硬化性樹脂組成物を提供する。
[1](メタ)アクリロイル基を含む光硬化性化合物と、光重合開始剤と、2官能以上の芳香族イソシアネートと、を含有する、レーザ描画用光硬化性樹脂組成物。
[2]前記芳香族イソシアネートが、ジフェニルメタンジイソシアネートである、[1]に記載のレーザ描画用光硬化性樹脂組成物。
[3]硬化物の25℃における波長589nmの光の屈折率が1.60以上であり、かつ25℃における波長589nmの光のアッベ数が25以下である、[1]または[2]に記載のレーザ描画用光硬化性樹脂組成物。
[4]前記光硬化性化合物が、分子内に2つ以上の(メタ)アクリロイル基、およびフルオレン構造を有する、フルオレン含有(メタ)アクリレートを含む、[1]~[3]のいずれかに記載のレーザ描画用光硬化性樹脂組成物。
[5]前記フルオレン含有(メタ)アクリレートの量が、前記光硬化性化合物の総量に対して、30質量%以上70質量%以下である、[4]に記載のレーザ描画用光硬化性樹脂組成物。
[6]前記光硬化性化合物が、分子内に2つ以上の(メタ)アクリロイル基、および硫黄原子を含有する硫黄含有(メタ)アクリレートを含む、[1]~[5]のいずれかにレーザ描画用光硬化性樹脂組成物。
[7]前記硫黄含有(メタ)アクリレートが、下記一般式(1)で表される(メタ)アクリル酸チオエステル化合物である、[6]に記載のレーザ描画用光硬化性樹脂組成物。
TIFF
2025153804000001.tif
33
129
(一般式(1)中、Xは、下記一般式(2)で表される基が結合していてもよく、かついずれかのメチレン基がカルボニル基で置換されていてもよい、炭素数1以上4以下のアルキレン基を表し、nは5以上の整数を表し、R
1
およびR
2
はそれぞれ独立に、水素原子またはメチル基を表す
TIFF
2025153804000002.tif
31
129
(一般式(2)中、R
3
は、水素原子またはメチル基を表し、Zは炭素数1以上4以下のアルキレン基を表し、pは1以上の整数を表す))
【0007】
本発明は、以下の立体造形物および立体造形物の製造方法を提供する。
[8]上記[1]~[7]のいずれかに記載のレーザ描画用光硬化性樹脂組成物の硬化物を含む、立体造形物。
[9]上記[1]~[7]のいずれかに記載のーザ描画用光硬化性樹脂組成物を含む層を、レーザ透過性を有する基板上に形成する工程と、前記レーザ描画用光硬化性樹脂組成物を含む層を空気中で仮硬化させる工程と、仮硬化後のレーザ描画用光硬化性樹脂組成物内に、前記基板を介してレーザを照射する工程と、を含む、立体造形物の製造方法。
[10]前記レーザが、フェムト秒パルスレーザである、[9]に記載の立体造形物の製造方法。
【発明の効果】
【0008】
本発明のレーザ描画用光硬化性樹脂組成物によれば、その内部でレーザを集光させて微細な立体造形物を精度よく製造することが可能である。
【発明を実施するための形態】
【0009】
以下、本発明のレーザ描画用光硬化性樹脂組成物および立体造形物、ならびに立体造形物の製造方法について、具体的な実施形態を例に説明する。ただし、本発明のレーザ描画用光硬化性樹脂組成物および立体造形物、ならびに立体造形物の製造方法は、これらの実施形態に限定されない。
【0010】
1.レーザ描画用光硬化性樹脂組成物
本発明のレーザ描画用光硬化性樹脂組成物(以下、単に「樹脂組成物」とも称する)は、樹脂組成物の内部でレーザを集光させ、レーザの焦点近傍の樹脂組成物のみを硬化させる立体造形物の製造方法に使用可能である。ただし、本発明の樹脂組成物の用途は、当該方法に限定されず、他の立体造形物の製造方法にも使用可能である。
(【0011】以降は省略されています)
この特許をJ-PlatPat(特許庁公式サイト)で参照する
関連特許
三井化学株式会社
手術用器具
27日前
三井化学株式会社
充電コネクタ
26日前
三井化学株式会社
空中結像システム
28日前
三井化学株式会社
ドローン用ブレード
27日前
三井化学株式会社
自動車内装材用積層体
26日前
三井化学株式会社
樹脂組成物及び成形体
22日前
三井化学株式会社
樹脂組成物及び成形体
22日前
三井化学株式会社
バックドア及び移動体
26日前
三井化学株式会社
樹脂組成物および接着剤
26日前
三井化学株式会社
サイドドアおよび移動体
27日前
三井化学株式会社
サイドドアおよび移動体
27日前
三井化学株式会社
重合体組成物および成形体
27日前
三井化学株式会社
繊維および繊維の製造方法
28日前
三井化学株式会社
熱可塑性エラストマー組成物
27日前
三井化学株式会社
エチレン共重合体の製造方法
22日前
三井化学株式会社
絶縁電線、コイル及びモータ
28日前
三井化学株式会社
極性重合体組成物および成形体
26日前
三井化学株式会社
粘着付与剤および粘着性組成物
27日前
三井化学株式会社
繊維強化樹脂組成物および成形体
26日前
三井化学株式会社
非水電解液及び非水電解液二次電池
26日前
三井化学株式会社
積層体、包装材、蓋材およびラベル
27日前
三井化学株式会社
エラストマー組成物およびその用途
今日
三井化学株式会社
固体組成物及び固体組成物の製造方法
26日前
三井化学株式会社
オレフィン系重合体組成物および成形体
26日前
三井化学株式会社
延伸成形体および延伸成形体の製造方法
28日前
三井化学株式会社
環状オレフィン系共重合体および光学部品
27日前
三井化学株式会社
正浸透膜エレメント及び多孔質膜の製造方法
27日前
三井化学株式会社
ポリアミド樹脂組成物および金属樹脂複合体
29日前
三井化学株式会社
延伸フィルムおよび延伸フィルムの製造方法
27日前
三井化学株式会社
熱可塑性エラストマー組成物、および成形品
26日前
三井化学株式会社
電磁波吸収材、積層体、及び電磁波吸収性筐体
28日前
三井化学株式会社
サイドドア、移動体、及びサイドドアの製造方法
26日前
三井化学株式会社
重合体粒子とその製造方法、及び成形体の製造方法
29日前
三井化学株式会社
樹脂フィルム、容器、細胞容器、および細胞の培養方法
27日前
三井化学株式会社
電子部品用樹脂組成物、およびこれを用いた半導体装置
27日前
三井化学株式会社
クメン、フェノール、α-メチルスチレンを製造する方法
26日前
続きを見る
他の特許を見る