TOP
|
特許
|
意匠
|
商標
特許ウォッチ
Twitter
他の特許を見る
10個以上の画像は省略されています。
公開番号
2025152509
公報種別
公開特許公報(A)
公開日
2025-10-10
出願番号
2024054414
出願日
2024-03-28
発明の名称
解析方法
出願人
積水化学工業株式会社
,
公立大学法人 富山県立大学
代理人
弁理士法人 HARAKENZO WORLD PATENT & TRADEMARK
主分類
G16C
20/30 20190101AFI20251002BHJP(特定の用途分野に特に適合した情報通信技術)
要約
【課題】粒子同士の接触を考慮し、かつ、有限要素解析等の数値解析手法を行わずとも、複合材料の特性値を解析できる。
【解決手段】複合材料の特性値を解析する解析方法は、複数の複合材料のそれぞれについて、形態特定情報等と共に接触許容領域寸法を含む特性値を設定する設定ステップ(S3)と、設定した特性値に基づき、マトリクスを含む充填構造モデルを生成する生成ステップ(S6)と、接触体積を算出する第1算出ステップ(S7)と、接触体積を比較することにより、特性値の大小を予測する予測ステップ(S9,S10)と、を含む。
【選択図】図5
特許請求の範囲
【請求項1】
複数の粒子充填複合材料の配合から前記粒子充填複合材料の特性値を解析する解析方法であって、
前記複数の粒子充填複合材料のそれぞれについて、前記粒子充填複合材料に含まれる粒子の形態を特定する形態特定情報、前記粒子の体積分率、及び、前記粒子の特性値であって、式(1)により規定される、前記粒子の表面において他の粒子との重なりを許容する接触許容領域の寸法を示す接触許容領域寸法を含む特性値を設定する設定ステップと、
前記複数の粒子充填複合材料のそれぞれについて、前記形態特定情報、前記体積分率及び前記接触許容領域寸法に基づき、複数の粒子及び各粒子の隙間を埋めるマトリクスを含む充填構造モデルを生成する生成ステップと、
前記複数の粒子充填複合材料のそれぞれについて、前記充填構造モデルから、前記粒子同士が重なっている部分の体積を示す接触体積を算出する第1算出ステップと、
前記複数の粒子充填複合材料のそれぞれについて算出した前記接触体積を比較することにより、前記粒子充填複合材料の特性値の大小を予測する予測ステップと、を含み、
前記式(1)は、2t/(d-2t)で表され、tは、前記接触許容領域寸法であり、dは、前記粒子の表面上の2点を結ぶ線分であり、かつ前記粒子の重心を通る線分の長さである、解析方法。
続きを表示(約 1,300 文字)
【請求項2】
前記特性値は、熱伝導率又は電気伝導率である、請求項1に記載の解析方法。
【請求項3】
前記接触許容領域寸法は、前記式(1)が0.01~0.3を満たすときの値である、請求項1又は2に記載の解析方法。
【請求項4】
前記設定ステップにおいて、複数種の粒子のそれぞれに対して前記形態特定情報を設定し、
前記第1算出ステップにおいて、式(2)及び式(3)により多成分系の前記接触体積を算出し、
前記式(2)は、V
contact
i/j
=(V
j*
-V
j
j
)/V
j
で表され、
前記式(3)は、V
contact
i/j
=(V
j
j
-V
i-j
j
)/V
j
で表され、
i,jは、粒子番号であり、
V
i
は、粒子iの、1粒子あたりの体積であり、
・V
j
は、粒子jの、1粒子あたりの体積であり、
・V
i*
は、充填構造モデルに含まれる全ての粒子iどうしが接触していない場合の、粒子iの接触許容領域の体積の合計値であり、
・V
j*
は、充填構造モデルに含まれる全ての粒子jどうしが接触していない場合の、粒子jの接触許容領域の体積の合計値であり、
・V
i
i
は、充填構造モデルに含まれる粒子iに着目したときに、充填構造モデルに、2つの粒子iの一部が重なっておりかつ一部に重なりを有する2つの粒子iの組が少なくとも1つ存在する状態における、粒子iの接触許容領域の体積の合計値であり、
・V
j
j
は、充填構造モデルに含まれる粒子jに着目したときに、充填構造モデルに、2つの粒子jの一部が重なっておりかつ一部に重なりを有する2つの粒子jの組が少なくとも1つ存在する状態における、粒子jの接触許容領域の体積の合計値であり、
・V
i-j
i
は、充填構造モデルに含まれる粒子i,jに着目したときに、粒子iにおいて粒子jと重なっている部分の体積の合計値であり、
・V
i-j
j
は、充填構造モデルに含まれる粒子i,jに着目したときに、粒子jにおいて粒子iと重なっている部分の体積の合計値である、請求項1又は2に記載の解析方法。
【請求項5】
さらに、前記充填構造モデルに対して有限要素解析を適用することにより、前記粒子充填複合材料の特性値を算出する第2算出ステップを含み、
前記第2算出ステップにおいて、所定の範囲において前記接触許容領域の特性値を指定する、請求項1又は2に記載の解析方法。
【請求項6】
前記粒子充填複合材料において、充填する粒子の体積分率が50体積%以上である、請求項1又は2に記載の解析方法。
発明の詳細な説明
【技術分野】
【0001】
本開示は、複数の粒子を含む粒子充填複合材料の特性値を解析する解析方法に関する。
続きを表示(約 1,900 文字)
【背景技術】
【0002】
粒子充填複合材料(以下、複合材料と称する)は、材料の様々な配合を調整した上で特性値を測定し、より優れた効果(所望の特性値)を有する配合が選択されることにより設計される。この配合の選択においては、複合材料がどのような特性を発現するのかを解析することが要求される。このような配合から解析を行うまでの間に多くの実験を行うことが要求されるため、多くの実験コスト及び時間が要求される。そこで近年、実験コスト及び時間を削減すべく、代表体積要素モデル(RVE(Representative volume element)モデル)を用いたシミュレーションにより複合材料の特性値を解析することが検討されている。そのような解析手法の一例が、例えば特許文献1,2に開示されている。
【0003】
特許文献1の解析手法では、複数の節点を有する複数の要素に分割した第1モデルと、第1モデルが有するそれぞれの節点と対称となる位置に節点が生成された第2モデルとを作成し、第1モデルと第2モデルとを結合して第3モデルを作成する。そして、第3モデルをシミュレーションモデルとし、境界条件を設定する。第1モデルは、有限要素法又は有限差分法等の数値解析手法を用いて変形解析を行うために用いるモデルである。
【0004】
特許文献2の解析手法では、形状特定情報及び体積分率に基づき、粒子と、各粒子間の隙間を埋めるマトリクスを含む第1,第2の充填構造モデルを生成し、第1,第2の充填構造モデルのそれぞれについて有限要素解析を行う。
【先行技術文献】
【特許文献】
【0005】
特許第5771935号公報
特開2021-60902号公報
【発明の概要】
【発明が解決しようとする課題】
【0006】
しかし、特許文献1,2には、粒子(フィラー)同士の重なりを考慮した充填構造モデルの生成について特段開示されていない。粒子同士の重なりを考慮した場合、既知の手法で生成される充填構造モデルは、現実の複合材料の構造から乖離したものとなる可能性がある。そのため、特許文献1、2の解析手法のように、有限要素解析等の数値解析手法を用いた場合、複合材料の特性値を精度よく解析できない可能性がある。
【0007】
また、上記数値解析手法では、粒子の体積分率が比較的高い複合材料(粒子が高充填化された複合材料)においては、予測された特性値が実験値から乖離することが知られている。さらに、上記数値解析手法は、比較的高い計算コスト及び時間を要する。
【0008】
本発明の一態様は、粒子同士の重なりを考慮し、かつ、上記数値解析手法を行わずとも、複合材料の特性値を解析できることが可能な解析方法を実現することを目的とする。
【課題を解決するための手段】
【0009】
本発明の一態様に係る解析方法は、複数の粒子充填複合材料の配合から前記粒子充填複合材料の特性値を解析する解析方法であって、複数の粒子充填複合材料のそれぞれについて、粒子充填複合材料に含まれる粒子の形態を特定する形態特定情報、前記粒子の体積分率、及び、前記粒子の特性値であって、下記式(1)により規定される、前記粒子の表面において他の粒子との重なりを許容する接触許容領域の寸法を示す接触許容領域寸法を含む特性値を設定する設定ステップと、前記複数の粒子充填複合材料のそれぞれについて、前記形態特定情報、前記体積分率及び前記接触許容領域寸法に基づき、複数の粒子及び各粒子の隙間を埋めるマトリクスを含む充填構造モデルを生成する生成ステップと、前記複数の粒子充填複合材料のそれぞれについて、前記充填構造モデルから、前記粒子同士が重なっている部分の体積を示す接触体積を算出する第1算出ステップと、前記複数の粒子充填複合材料のそれぞれについて算出した前記接触体積を比較することにより、前記粒子充填複合材料の特性値の大小を予測する予測ステップと、を含み、式(1)は、2t/(d-2t)で表され、tは、前記接触許容領域寸法であり、dは、前記粒子の表面上の2点を結ぶ線分であり、かつ前記粒子の重心を通る線分の長さである。
【発明の効果】
【0010】
本発明の一態様によれば、粒子同士の重なりを考慮し、かつ、上記数値解析手法を行わずとも、複合材料の特性値を解析できる。
【図面の簡単な説明】
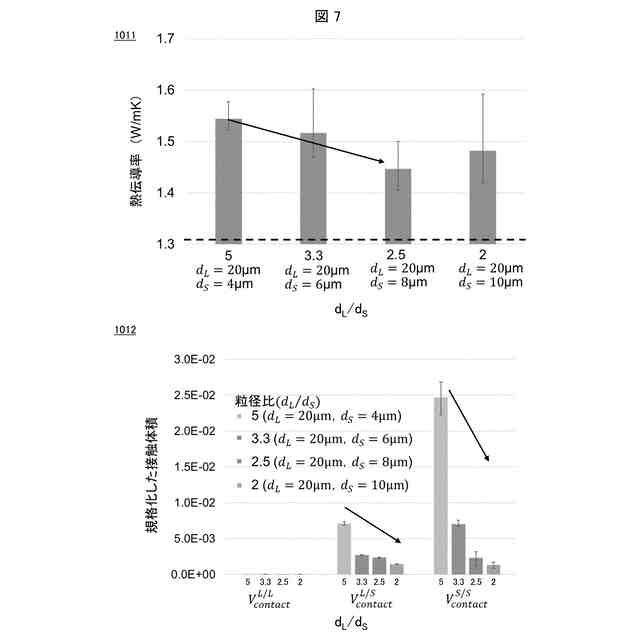
(【0011】以降は省略されています)
この特許をJ-PlatPat(特許庁公式サイト)で参照する
関連特許
積水化学工業株式会社
樹脂管
1か月前
積水化学工業株式会社
解析方法
1か月前
積水化学工業株式会社
集合継手
1か月前
積水化学工業株式会社
配管構造
1か月前
積水化学工業株式会社
製管装置
1か月前
積水化学工業株式会社
積層構造体
1か月前
積水化学工業株式会社
雨樋システム
27日前
積水化学工業株式会社
両面粘着テープ
1か月前
積水化学工業株式会社
両面粘着テープ
1か月前
積水化学工業株式会社
配管の接続構造
1か月前
積水化学工業株式会社
更生管の製管装置
1か月前
積水化学工業株式会社
太陽電池設置構造
12日前
積水化学工業株式会社
太陽電池設置構造
12日前
積水化学工業株式会社
太陽電池設置構造
12日前
積水化学工業株式会社
防食用粘着テープ
1か月前
積水化学工業株式会社
基板積層体の製造方法
24日前
積水化学工業株式会社
基板積層体の製造方法
27日前
積水化学工業株式会社
樹脂組成物、放熱部材
1か月前
積水化学工業株式会社
継手構造および接続構造
1か月前
積水化学工業株式会社
床の施工方法及び建築物
1か月前
積水化学工業株式会社
配管構造及びプレハブ配管
1か月前
積水化学工業株式会社
配管構造及びプレハブ配管
1か月前
積水化学工業株式会社
集合継手及び排水システム
1か月前
積水化学工業株式会社
太陽電池モジュールの取付構造
12日前
積水化学工業株式会社
軒樋支持具および雨樋システム
1か月前
積水化学工業株式会社
竪樋支持具および排水システム
27日前
積水化学工業株式会社
集合継手及び集合継手の製造方法
1か月前
積水化学工業株式会社
マスターバッチ、及びその製造方法
1か月前
積水化学工業株式会社
熱膨張性マイクロカプセル用組成物
26日前
積水化学工業株式会社
粒体、地盤改良材及び地盤改良方法
1か月前
積水化学工業株式会社
ポリオルガノシロキサン、樹脂組成物
3日前
積水化学工業株式会社
防火区画貫通処理部材及び防火区画材
1か月前
積水化学工業株式会社
防火区画貫通処理シート及び防火区画材
1か月前
積水化学工業株式会社
超音波トランスデューサ、及び超音波センサ
12日前
積水化学工業株式会社
超音波トランスデューサおよび超音波センサ
12日前
積水化学工業株式会社
光ファイバ担持樹脂成形体及びその製造方法
1か月前
続きを見る
他の特許を見る