TOP
|
特許
|
意匠
|
商標
特許ウォッチ
Twitter
他の特許を見る
10個以上の画像は省略されています。
公開番号
2025147214
公報種別
公開特許公報(A)
公開日
2025-10-06
出願番号
2025132099,2022557063
出願日
2025-08-07,2021-10-13
発明の名称
刺激付与システム
出願人
国立大学法人 東京大学
,
株式会社INOPASE
代理人
IBC一番町弁理士法人
主分類
A61N
1/36 20060101AFI20250926BHJP(医学または獣医学;衛生学)
要約
【課題】身体内の所定の刺激位置に対して刺激を適切に付与することが可能な刺激付与システムを提供する。
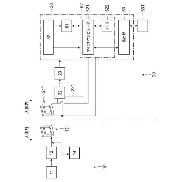
【解決手段】刺激付与システムは、患者の身体に埋め込まれるように構成された埋め込み型デバイスと、前記埋め込み型デバイスに配置された少なくとも1つの情報処理部と、を有し、前記埋め込み型デバイスは、前記身体内の所定の検出位置において所定の時間間隔で電気的信号を検出するように構成された検出部と、前記身体内において刺激が付与される所定の刺激位置に電気刺激を付与するように構成された刺激回路部と、を備え、前記少なくとも1つの情報処理部は、前記各所定の時間間隔で前記検出部によって検出された前記電気的信号に関する検出情報を受信し、前記各所定の時間間隔について前記検出情報を処理し、処理された前記検出情報に基づいて、前記各所定の時間間隔における前記刺激回路部の刺激付与の態様を決定するように構成されている。
【選択図】図14
特許請求の範囲
【請求項1】
患者の身体に埋め込まれるように構成された埋め込み型デバイスと、
前記埋め込み型デバイスに配置された少なくとも1つの情報処理部と、を有し、
前記埋め込み型デバイスは、前記身体内の所定の検出位置において所定の時間間隔で電気的信号を検出するように構成された検出部と、前記身体内において刺激が付与される所定の刺激位置に電気刺激を付与するように構成された刺激回路部と、を備え、
前記少なくとも1つの情報処理部は、前記各所定の時間間隔で前記検出部によって検出された前記電気的信号に関する検出情報を受信し、前記各所定の時間間隔について前記検出情報を処理し、処理された前記検出情報に基づいて、前記各所定の時間間隔における前記刺激回路部の刺激付与の態様を決定するように構成されている、刺激付与システム。
続きを表示(約 980 文字)
【請求項2】
前記少なくとも1つの情報処理部は、前記検出部によって検出された前記検出情報に基づいて前記刺激回路部の前記刺激付与の態様を決定するために、前記身体の外部に配置された他の情報処理部から刺激付与に関する情報及び指示を受信するように構成されている、請求項1に記載の刺激付与システム。
【請求項3】
前記少なくとも1つの情報処理部は、前記電気的信号の応答の程度を分類することによって前記検出情報を処理するように構成されている、請求項1又は請求項2に記載の刺激付与システム。
【請求項4】
前記応答の程度は、前記電気的信号の最大振幅に基づいて決定される、請求項3に記載の刺激付与システム。
【請求項5】
前記少なくとも1つの情報処理部は、前記電気的信号の前記応答の程度に基づいて前記刺激付与の態様を決定するように構成されている、請求項3又は請求項4に記載の刺激付与システム。
【請求項6】
前記応答の程度は、低、中、および高の3段階の程度を含む、請求項5に記載の刺激付与システム。
【請求項7】
前記少なくとも1つの情報処理部は、前記応答の程度が中または高である場合に、前記所定の刺激位置に刺激を付与する前記刺激付与の態様を選択するように構成されている、請求項6に記載の刺激付与システム。
【請求項8】
前記少なくとも1つの情報処理部は、前記応答の程度が低い場合に、前記所定の刺激位置に刺激を付与しない前記刺激付与の態様を選択するように構成されている、請求項6又は請求項7に記載の刺激付与システム。
【請求項9】
前記少なくとも1つの情報処理部は、第1の所定の時間間隔における応答の程度を第2の所定の時間間隔における応答の程度と比較して、前記刺激付与の態様を決定するように構成されている、請求項3~8のいずれか1項に記載の刺激付与システム。
【請求項10】
前記少なくとも1つの情報処理部は、前記刺激付与の態様が決定されるときに、前記電気刺激の継続時間、振幅、および周波数のうちの1つ以上を決定するように構成されている、請求項1~9のいずれか1項に記載の刺激付与システム。
(【請求項11】以降は省略されています)
発明の詳細な説明
【技術分野】
【0001】
本発明は、刺激付与システムに関する。
続きを表示(約 1,500 文字)
【背景技術】
【0002】
無線による電力の伝送方法には大きく分けて誘導結合を用いた方法(IPT:Inductive Power Transfer)と、容量性結合を用いた方法(CPT:Capacitive Power Transfer)とがある。誘導結合を用いる方法では、比較的大きい電力を伝送できるが、送電側装置と受電側装置との間のアライメントにより送電効率が大きく変化するほか、回路の発熱量の大きいといった問題がある。
【0003】
一方、容量性結合を用いる方法では、伝送可能な電力量は誘導結合に比べて小さくなるのが一般的であるが、送電側装置と受電側装置との間のアライメントによる送電効率の変化が比較的小さく、送電中の回路の発熱量も、誘導結合を用いる方法に比べて小さい。
【0004】
このように、誘導結合を利用した電力伝送と、容量性結合を利用した電力伝送とでは、それぞれに長所と短所とがあり、用途に応じていずれかの電力伝送方式を採用しているのが現状である。
【0005】
具体的に、人体の体内に埋め込まれた心臓ペースメーカーや神経刺激装置、種々の信号検出装置等に対して無線にて給電する方法としては、送電中の回路の発熱量が比較的小さい、容量性結合を用いる方法が適している。
【0006】
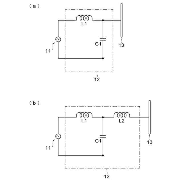
従来の容量性結合を用いた電力伝達システムの例を図22に示す。図22に例示するように、従来の電力伝達システムでは、送電側装置100と受電側装置200とがそれぞれ、一対のプレート101,102,201,202を備える。受電側装置200では、プレート201,202間に負荷210が配される。また送電側装置100では、プレート102側に電源110のグランド端子GNDが接続され、このグランド端子GNDは、共通電位点に接続される(例えば接地される)。さらに電源110の給電側端子は、プレート101に接続される。
【0007】
この従来の例では、プレート101とプレート201との間の容量性結合により負荷210に送信された電力が、プレート202とプレート102との間の容量性結合により送電側装置100のグランド端子GNDに「戻る」ことで、負荷210に電流が流れることとなる(例えば非特許文献1)。
【先行技術文献】
【非特許文献】
【0008】
H. Zheng, K. Tnay, N. Alami, and A. P. Hu, "Contactless Power Couplers for Respiratory Devices”, presented at the Mechatronics and Embedded Systems and Applications (MESA), 2010 IEEE/ASME International Conference on, 2010.
【発明の概要】
【発明が解決しようとする課題】
【0009】
しかしながら、上記従来の容量性結合を用いた電力伝送方式では、2対のプレートを用意する必要があり、用途によってはその配置が困難な場合があった。また、各対のプレートを容量性結合させる必要があり、プレートのアライメントが難しくなるという問題も生じていた。
【0010】
本発明は、身体内の所定の刺激位置に対して刺激を適切に付与することが可能な刺激付与システムを提供することを、その目的の一つとする。
【課題を解決するための手段】
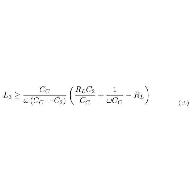
(【0011】以降は省略されています)
特許ウォッチbot のツイートを見る
この特許をJ-PlatPat(特許庁公式サイト)で参照する
関連特許
国立大学法人 東京大学
担持金属触媒
27日前
国立大学法人 東京大学
ガス処理方法
13日前
国立大学法人 東京大学
せん妄判定方法
1か月前
国立大学法人 東京大学
コンパレータ回路
17日前
国立大学法人 東京大学
化学センサ用基材
5か月前
国立大学法人 東京大学
微粒子分離システム
4か月前
国立大学法人 東京大学
ビーム追従システム
8日前
国立大学法人 東京大学
振動変換器及び噴霧器
4か月前
国立大学法人 東京大学
超音波モータシステム
1か月前
国立大学法人 東京大学
超音波モータシステム
1か月前
国立大学法人 東京大学
光学装置及びレーザー
3か月前
国立大学法人 東京大学
超音波モータシステム
1か月前
国立大学法人 東京大学
結晶、及びその製造方法
2か月前
AGC株式会社
組成物
3か月前
国立大学法人 東京大学
肝臓オルガノイド成熟培地
7日前
国立大学法人 東京大学
テラヘルツ帯同期検波回路
1か月前
国立大学法人 東京大学
推定装置、及びプログラム
28日前
NTT株式会社
圧力センサ
28日前
国立大学法人 東京大学
嗅覚受容体の応答感度増強剤
2か月前
国立大学法人 東京大学
読出回路及び磁気メモリ装置
27日前
国立大学法人 東京大学
テラヘルツ波帯位相変調回路
1か月前
国立大学法人 東京大学
接着性細胞の浮遊培養用基材
13日前
国立大学法人 東京大学
情報処理装置、及びプログラム
1か月前
住友化学株式会社
原子力電池
4か月前
国立大学法人 東京大学
ドローンを用いた配送システム
13日前
積水化学工業株式会社
酸素発生剤
1か月前
国立大学法人 東京大学
光デバイス及びコヒーレント受信器
1か月前
株式会社アイシン
有機酸除去方法
3か月前
国立大学法人 東京大学
皮膚微生物叢を制御するための溶菌剤
3か月前
古河電気工業株式会社
超電導モータ
1か月前
国立大学法人 東京大学
ホウ素含有化合物及びそれを含む医薬
2か月前
国立大学法人 東京大学
通信装置、制御方法、及びプログラム
7日前
ダイキン工業株式会社
層及び構造体
3か月前
国立大学法人 東京大学
静電容量式センサ及びロボットシステム
1か月前
太平洋セメント株式会社
セメント組成物
27日前
一般財団法人電力中央研究所
直流遮断器
4か月前
続きを見る
他の特許を見る