TOP
|
特許
|
意匠
|
商標
特許ウォッチ
Twitter
他の特許を見る
10個以上の画像は省略されています。
公開番号
2025145876
公報種別
公開特許公報(A)
公開日
2025-10-03
出願番号
2024046351
出願日
2024-03-22
発明の名称
半導体装置
出願人
ローム株式会社
代理人
個人
主分類
H01F
27/36 20060101AFI20250926BHJP(基本的電気素子)
要約
【課題】絶縁破壊の発生を抑制可能な半導体装置を提供する。
【解決手段】半導体装置A10は、第1方向xに互いに離れて配置されたリード31およびリード32を含む導通支持体と、リード31に搭載された半導体素子11と、リード32に搭載された半導体素子14と、半導体素子11と半導体素子14とを電気的に接続するワイヤ41と、導通支持体の一部、半導体素子11、半導体素子14、およびワイヤ41を覆う封止樹脂5と、を備える。半導体素子11は、厚さ方向zの一方を向く主面11a、主面11aに配置されたパッド112、パッド112と電位が異なるシールリング部123とを含む。ワイヤ41は、銅を含み、且つ、パッド112に接合されている。ワイヤ41とシールリング部113との厚さ方向zの距離d2は、所定の距離d0よりも大きく、パッド112とシールリング部113との第1方向xの距離d11は、100μm以上300μm以下である。
【選択図】図7
特許請求の範囲
【請求項1】
厚さ方向に直交する第1方向に互いに離れて配置された第1リードおよび第2リードを含む導通支持体と、
前記第1リードに搭載された第1半導体素子と、
前記第2リードに搭載された第2半導体素子と、
前記第1半導体素子と前記第2半導体素子とを電気的に接続する第1ワイヤと、
前記導通支持体の一部、前記第1半導体素子、前記第2半導体素子、および前記第1ワイヤを覆う封止樹脂と、
を備え、
前記第1半導体素子は、前記厚さ方向の一方を向く主面と、前記主面に配置された第1パッドと、前記第1パッドと電位が異なるシールリング部とを含み、
前記第1ワイヤは、銅を含み、且つ、前記第1パッドに接合され、
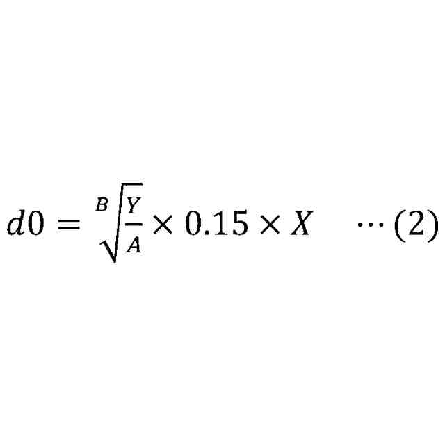
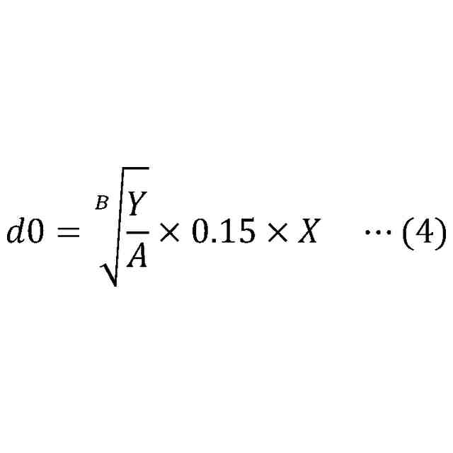
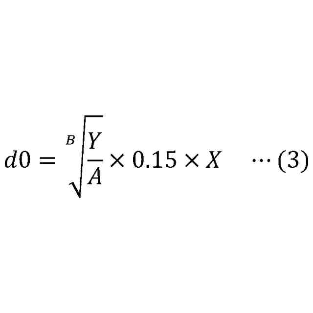
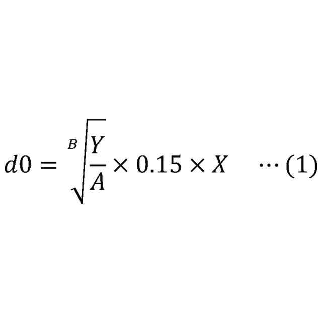
前記第1ワイヤと前記シールリング部との前記厚さ方向の第1距離は、式(1)によって決定される距離d0よりも大きく、
前記第1パッドと前記シールリング部との前記第1方向の第2距離は、100μm以上300μm以下である、半導体装置。
TIFF
2025145876000006.tif
21
158
ここで、Yは当該半導体装置に求められる絶縁寿命年数[年]であり、A,Bは前記封止樹脂の材料によって決定される定数であり、0.15は、距離d0[mm]を算出するためのオフセット値であり、Xは電圧[kVrms]である。
続きを表示(約 870 文字)
【請求項2】
前記第1半導体素子は、前記主面に、前記第1パッドから前記シールリング部に向かって、前記第1方向に第3距離離れた地点を有し、
前記第3距離は、50μm以上150μm以下であり、
前記第1ワイヤと前記地点との前記厚さ方向の第4距離は、前記第1距離の85%以上95%以下である、請求項1に記載の半導体装置。
【請求項3】
前記第2距離は、前記第1距離よりも大きい、請求項1に記載の半導体装置。
【請求項4】
前記第1半導体素子は、前記主面に配置された第2パッドを含み、
前記第2パッドの電位は、前記第1パッドの電位と異なる、請求項1に記載の半導体装置。
【請求項5】
前記第1半導体素子は、前記厚さ方向について離隔する上側巻線と下側巻線とを含み、
前記上側巻線は、前記第1パッドに導通し、
前記下側巻線は、前記第2パッドに導通する、請求項4に記載の半導体装置。
【請求項6】
前記第1半導体素子は、前記第1リードと同じ電位である半導体基板を含み、
前記上側巻線および前記下側巻線は、前記厚さ方向について、前記半導体基板を基準に、前記第1リードと反対側に位置する、請求項5に記載の半導体装置。
【請求項7】
前記下側巻線は、前記半導体基板と同じ電位である、請求項6に記載の半導体装置。
【請求項8】
前記シールリング部は、前記厚さ方向について、前記半導体基板を基準に、前記上側巻線および前記下側巻線と同じ側に位置し、且つ、前記半導体基板に立設されている、請求項6に記載の半導体装置。
【請求項9】
前記第2パッドに接合される第2ワイヤをさらに備える、請求項4に記載の半導体装置。
【請求項10】
前記第2ワイヤの前記厚さ方向の最頂部は、前記第1ワイヤの前記厚さ方向の最頂部よりも低い、請求項9に記載の半導体装置。
(【請求項11】以降は省略されています)
発明の詳細な説明
【技術分野】
【0001】
本開示は、半導体装置に関する。
続きを表示(約 4,300 文字)
【背景技術】
【0002】
電気自動車もしくはハイブリッド自動車、または家電機器などに使用されているインバータ装置には、半導体装置が使用されている。インバータ装置は、たとえば半導体装置と、IGBT(Insulated Gate Bipolar Transistor)またはMOSFET(Metal Oxide Semiconductor Field Effect Transistor)などのスイッチング素子とを備える。当該半導体装置は、制御素子および駆動素子を有する。当該インバータ装置においては、ECU(Engine Control Unit)から出力された制御信号が、当該半導体装置の制御素子に入力される。制御素子は、制御信号をPWM(Pulse Width Modulation)制御信号に変換し、駆動素子に伝送する。駆動素子は、PWM制御信号に基づき、たとえば6つのスイッチング素子を所望のタイミングで駆動させる。これにより、車載用バッテリの直流電力からモータ駆動用の三相交流電力が生成される。
【0003】
前記半導体装置において、前記制御素子に供給される電源電圧は低電圧(約5V)であるのに対して、前記駆動素子に供給される電源電圧は高電圧(約600V以上)であることがある。このように、電源電圧が異なる複数の素子間で信号を伝達する手段として、絶縁素子が用いられている。たとえば、特許文献1には、絶縁素子を備える半導体装置(インテリジェントパワーモジュール)の一例が開示されている。特許文献1に記載のインテリジェントパワーモジュールは、制御回路と、アーム回路(上アームまたは下アーム)と、絶縁トランスとを備える。制御回路は、CPUまたは論理IC、あるいは論理ICとCPUが搭載されたシステムLSIなどで構成される。アーム回路は、ゲートドライバICが設けられている。絶縁トランスは、制御回路とアーム回路との間の信号を絶縁状態で伝送する。制御回路のCPUは、スイッチング素子の導通または非導通をそれぞれ指示するゲートドライブ用PWM信号を生成し、絶縁トランスを介して、このゲートドライブ用PWM信号をアーム回路のゲートドライバICに絶縁伝送する。そして、ゲートドライバICは、ゲートドライブ用PWM信号に基づいてゲート信号を生成し、スイッチング素子の制御端子を駆動することにより、スイッチング素子をスイッチング動作させる。
【先行技術文献】
【特許文献】
【0004】
特開2009-49035号公報
【0005】
[概要]
電源電圧が異なる複数の素子を一つのパッケージ内に搭載することがあり、この場合、一つのパッケージ内に相対的に高電圧となる部分と低電圧となる部分とが混在する。このような半導体装置は、絶縁破壊が生じる虞がある。たとえば、絶縁破壊は、電源電圧の電位差が大きい程、発生しやすい傾向がある。絶縁破壊の発生は、半導体装置を故障させる原因であり、半導体装置の信頼性を低下させる。
【0006】
本開示は、上記事情に鑑みて考え出されたものであり、その目的は、絶縁破壊の発生を抑制可能な半導体装置を提供することにある。また、絶縁破壊の発生を抑制可能な半導体装置の設計方法および当該半導体装置の製造方法を提供することにある。
【0007】
本開示によって提供される半導体装置は、厚さ方向に直交する第1方向に互いに離れて配置された第1リードおよび第2リードを含む導通支持体と、前記第1リードに搭載された第1半導体素子と、前記第2リードに搭載された第2半導体素子と、前記第1半導体素子と前記第2半導体素子とを電気的に接続する第1ワイヤと、前記導通支持体の一部、前記第1半導体素子、前記第2半導体素子、および前記第1ワイヤを覆う封止樹脂と、を備え、前記第1半導体素子は、前記厚さ方向の一方を向く主面と、前記主面に配置された第1パッドと、前記第1パッドと電位が異なるシールリング部とを含み、前記第1ワイヤは、銅を含み、且つ、前記第1パッドに接合され、前記第1ワイヤと前記シールリング部との前記厚さ方向の第1距離は、式(1)によって決定される距離d0よりも大きく、前記第1パッドと前記シールリング部との前記第1方向の第2距離は、100μm以上300μm以下である。
TIFF
2025145876000002.tif
19
158
ここで、Yは当該半導体装置に求められる絶縁寿命年数[年]であり、A,Bは前記封止樹脂の材料によって決定される定数であり、0.15は、距離d0[mm]を算出するためのオフセット値であり、Xは電圧[kVrms]である。
【図面の簡単な説明】
【0008】
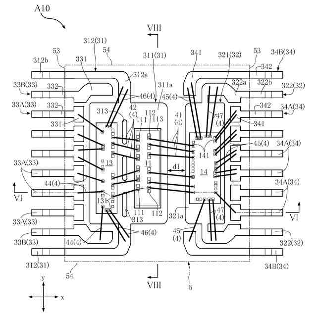
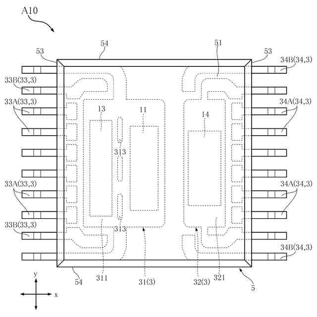
図1は、第1実施形態にかかる半導体装置を示す平面図である。
図2は、図1の平面図において、封止樹脂を想像線で示した図である。
図3は、第1実施形態にかかる半導体装置を示す正面図である。
図4は、第1実施形態にかかる半導体装置を示す左側面図である。
図5は、第1実施形態にかかる半導体装置を示す右側面図である。
図6は、図2のVI-VI線に沿う断面図である。
図7は、図6の一部を拡大した要部拡大断面図である。
図8は、図2のVIII-VIII線に沿う断面図である。
図9は、第1実施形態にかかる半導体装置の複数の半導体素子のうちの1つ(絶縁素子)の内部構造を示す要部断面図である。
図10は、第1実施形態にかかる半導体装置の製造方法の一例を示すフローチャートである。
図11は、図10に示す製造方法の一工程を示す平面図である。
図12は、図10に示す製造方法の一工程を示す平面図である。
図13は、図10に示す製造方法の一工程を示す平面図である。
図14は、図10に示す製造方法の一工程を示す平面図である。
図15は、図10に示す製造方法の一工程を示す平面図である。
図16は、図10に示す製造方法の一工程を示す断面図である。
図17は、図10に示す製造方法の一工程を示す平面図である。
図18は、第1実施形態の第1変形例にかかる半導体装置を示す平面図であって、封止樹脂を想像線で示した図である。
図19は、図18のXIX-XIX線に沿う断面図である。
図20は、図19の一部を拡大した要部拡大断面図である。
図21は、第1実施形態の第2変形例にかかる半導体装置を示す要部拡大断面図である。
図22は、第2実施形態にかかる半導体装置を示す平面図である。
図23は、図22の平面図において、封止樹脂を想像線で示した図である。
図24は、図23のXXIV-XXIV線に沿う断面図である。
図25は、図24の一部を拡大した要部拡大断面図である。
図26は、第2実施形態にかかる半導体装置の複数の半導体素子のうちの2つ(2つの絶縁素子)の内部構造を示す要部断面図である。
図27は、第2実施形態にかかる半導体装置の製造方法の一例を示すフローチャートである。
図28は、図27に示す製造方法の一工程を示す平面図である。
図29は、図27に示す製造方法の一工程を示す断面図である。
図30は、第2実施形態の変形例にかかる半導体装置を示す要部拡大断面図である。
図31は、第3実施形態にかかる半導体装置を示す平面図であって、封止樹脂を想像線で示した図である。
図32は、図31のXXXII-XXXII線に沿う断面の一部を拡大した要部拡大断面図である。
図33は、第3実施形態の変形例にかかる半導体装置を示す要部拡大断面図である。
図34は、第4実施形態にかかる半導体装置を示す平面図であって、封止樹脂を想像線で示した図である。
図35は、図34のXXXV-XXXV線に沿う断面の一部を拡大した要部拡大断面図である。
【0009】
[詳細な説明]
本開示の半導体装置、半導体装置の設計方法および半導体装置の製造方法の好ましい実施の形態について、図面を参照して、以下に説明する。以下では、同一あるいは類似の構成要素には、同じ符号を付して重複する説明を省略する。
【0010】
本開示において、「ある物Aがある物Bに形成されている」および「ある物Aがある物B(の)上に形成されている」とは、特段の断りのない限り、「ある物Aがある物Bに直接形成されていること」、および、「ある物Aとある物Bとの間に他の物を介在させつつ、ある物Aがある物Bに形成されていること」を含む。同様に、「ある物Aがある物Bに配置されている」および「ある物Aがある物B(の)上に配置されている」とは、特段の断りのない限り、「ある物Aがある物Bに直接配置されていること」、および、「ある物Aとある物Bとの間に他の物を介在させつつ、ある物Aがある物Bに配置されていること」を含む。同様に、「ある物Aがある物B(の)上に位置している」とは、特段の断りのない限り、「ある物Aがある物Bに接して、ある物Aがある物B(の)上に位置していること」、および、「ある物Aとある物Bとの間に他の物が介在しつつ、ある物Aがある物B(の)上に位置していること」を含む。また、「ある方向に見てある物Aがある物Bに重なる」とは、特段の断りのない限り、「ある物Aがある物Bのすべてに重なること」、および、「ある物Aがある物Bの一部に重なること」を含む。また、「ある物A(の材料)がある材料Cを含む」とは、「ある物A(の材料)がある材料Cからなる場合」、および、「ある物A(の材料)の主成分がある材料Cである場合」を含む。また、「ある面Aがある方向B(の一方側または他方側)を向く」とは、特段の断りのない限り、面Aの方向Bに対する角度が90°である場合に限定されず、面Aが方向Bに対して傾いている場合を含む。また、「ある面Aがある面Bに直交する」とは、特段の断りのない限り、面Aの面Bに対する角度が90°である場合に限定されず、面Aが面Bに対して傾いている場合を含む。
(【0011】以降は省略されています)
特許ウォッチbot のツイートを見る
この特許をJ-PlatPat(特許庁公式サイト)で参照する
関連特許
ローム株式会社
光センサ
13日前
ローム株式会社
半導体装置
7日前
ローム株式会社
半導体装置
5日前
ローム株式会社
半導体装置
7日前
ローム株式会社
半導体装置
13日前
ローム株式会社
半導体装置
6日前
ローム株式会社
抵抗チップ
6日前
ローム株式会社
半導体装置
5日前
ローム株式会社
半導体装置
13日前
ローム株式会社
半導体装置
14日前
ローム株式会社
半導体集積回路
今日
ローム株式会社
自己診断システム
8日前
ローム株式会社
窒化物半導体装置
6日前
ローム株式会社
窒化物半導体装置
15日前
ローム株式会社
半導体パッケージ
6日前
ローム株式会社
検証装置及び検証方法
19日前
ローム株式会社
半導体装置、電子機器、車両
今日
ローム株式会社
半導体装置、電子機器、車両
今日
ローム株式会社
信号伝達装置、電子機器、車両
15日前
ローム株式会社
パルス幅変調回路およびモータ駆動装置
今日
ローム株式会社
半導体回路及び半導体回路のテスト方法
19日前
ローム株式会社
電圧電流変換回路および半導体集積回路
今日
ローム株式会社
電流生成回路、半導体装置、電子機器及び車両
12日前
ローム株式会社
モータドライバ回路およびハードディスク装置
8日前
ローム株式会社
電源制御装置、DC/DCコンバータ、および車両
1日前
ローム株式会社
圧電アクチュエータ及び圧電アクチュエータの駆動方法
12日前
ローム株式会社
半導体装置
7日前
ローム株式会社
半導体装置
12日前
ローム株式会社
半導体装置
15日前
ローム株式会社
半導体装置
1日前
ローム株式会社
テラヘルツ装置
5日前
ローム株式会社
SiC半導体装置
7日前
ローム株式会社
半導体装置、電子機器、車両
15日前
ローム株式会社
基板部品、および、半導体装置
14日前
ローム株式会社
半導体装置、および半導体装置の製造方法
1日前
ローム株式会社
半導体ユニット、バッテリユニット、及び車両
12日前
続きを見る
他の特許を見る