TOP
|
特許
|
意匠
|
商標
特許ウォッチ
Twitter
他の特許を見る
10個以上の画像は省略されています。
公開番号
2025159553
公報種別
公開特許公報(A)
公開日
2025-10-21
出願番号
2024062205
出願日
2024-04-08
発明の名称
自己診断システム
出願人
ローム株式会社
代理人
個人
,
個人
主分類
H03M
1/10 20060101AFI20251014BHJP(基本電子回路)
要約
【課題】簡便な構成でA/Dコンバータを診断できる技術を提供する。
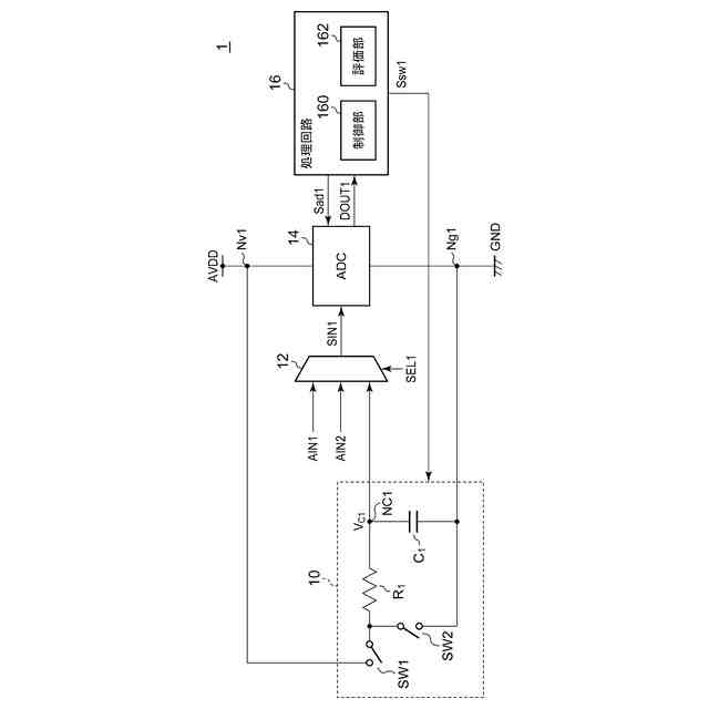
【解決手段】自己診断システム1,2,3は、時定数を有し、時定数に応じた時間的に変化するアナログ信号を生成する信号生成回路10,20,22,30と、アナログ信号に応じたデジタルデータを生成するA/Dコンバータ14,26,34と、デジタルデータと、時定数に基づき算出される信号生成回路によって生成されるべきアナログ信号とに基づいて、デジタルデータを評価する処理回路16,28,36と、を備える。
【選択図】図1
特許請求の範囲
【請求項1】
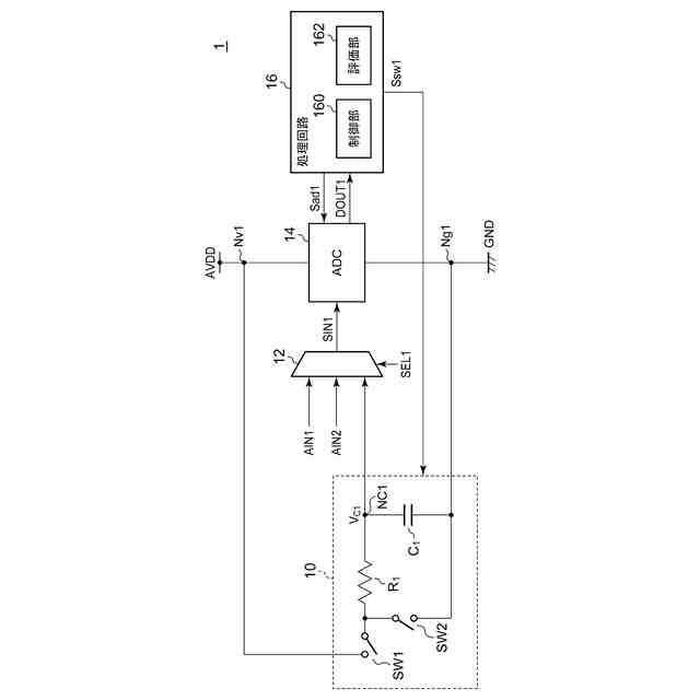
時定数を有し、前記時定数に応じた時間的に変化するアナログ信号を生成する信号生成回路と、
前記アナログ信号に応じたデジタルデータを生成するA/Dコンバータと、
前記デジタルデータと、前記時定数に基づき算出される前記信号生成回路によって生成されるべきアナログ信号とに基づいて、前記デジタルデータを評価する処理回路と、を備える、
自己診断システム。
続きを表示(約 1,300 文字)
【請求項2】
前記信号生成回路は、前記信号生成回路の出力ノードに一端が接続された抵抗と、前記出力ノードとグラウンドノードとの間に設けられたキャパシタと、を有し、
前記時定数は、前記抵抗の抵抗値および前記キャパシタの容量値で規定される、
請求項1に記載の自己診断システム。
【請求項3】
前記信号生成回路は、前記抵抗の他端と電源電圧ノードとの間に設けられたスイッチをさらに有し、
前記アナログ信号は、前記スイッチがオンであるときに、前記電源電圧ノードから前記抵抗を介して電力が供給されることによって充電される前記キャパシタの電圧を含む、
請求項2に記載の自己診断システム。
【請求項4】
前記信号生成回路は、前記抵抗の他端とグラウンドノードとの間に設けられたスイッチをさらに有し、
前記アナログ信号は、前記キャパシタが充電された状態で前記スイッチがオンになることによって放電される前記キャパシタの電圧を含む、
請求項2に記載の自己診断システム。
【請求項5】
前記信号生成回路は、前記信号生成回路の出力ノードに一端が接続された抵抗と、前記出力ノードとグラウンドノードとの間に設けられたインダクタと、を有し、
前記時定数は、前記抵抗の抵抗値および前記インダクタのインダクタンスで規定される、
請求項1に記載の自己診断システム。
【請求項6】
前記信号生成回路は、前記抵抗の他端と電源電圧ノードとの間に設けられたスイッチをさらに有し、
前記アナログ信号は、前記スイッチがオンであるときに、前記電源電圧ノードから前記抵抗を介して前記インダクタに電流が流れることによって生じる前記インダクタの電圧を含む、
請求項5に記載の自己診断システム。
【請求項7】
前記時定数は、前記A/Dコンバータのサンプリング周波数および前記A/Dコンバータの1ビット当たりの分解能に応じて規定される、
請求項1に記載の自己診断システム。
【請求項8】
前記アナログ信号は、時間の経過に応じて単調増加または単調減少し、
前記時定数は、前記A/Dコンバータによって生成されるデジタルデータの単位サンプリング時間当たりの変化が1ビット以下になるように規定される、
請求項7に記載の自己診断システム。
【請求項9】
前記処理回路は、前記A/Dコンバータによって生成されたデジタルデータが、前記信号生成回路によって生成されるべきアナログ信号に対応するデジタルデータの範囲に含まれるか否かに応じて、前記A/Dコンバータによって生成されたデジタルデータを評価する、
請求項1に記載の自己診断システム。
【請求項10】
前記処理回路は、前記デジタルデータの評価結果に基づいて、前記A/Dコンバータを診断する、
請求項1に記載の自己診断システム。
(【請求項11】以降は省略されています)
発明の詳細な説明
【技術分野】
【0001】
本開示は、自己診断システムに関する。
続きを表示(約 1,600 文字)
【背景技術】
【0002】
従来、A/Dコンバータが正常に動作しているかどうかを診断する技術が提案されている。たとえば特許文献1には、A/Dコンバータが校正用電圧を変換したデジタル信号と不揮発性メモリに格納されたデジタル信号とを比較することにより、A/Dコンバータを診断する技術が開示されている。特許文献1には、校正用電圧を、デジタル信号の最大値に対応する最大電圧、デジタル信号の最小値に対応する最小電圧、またはそのデジタル信号の中点に対応する中間電圧として、A/Dコンバータを診断することが開示されている。
【先行技術文献】
【特許文献】
【0003】
特開2017-208667号公報
【0004】
[概要]
しかしながら、本発明者らは、以下の課題を認識するに至った。特許文献1に記載の技術のように各デジタル信号に対応する校正用電圧を生成するためには、デジタル信号を校正用電圧のアナログ信号に変換するためのD/Aコンバータが必要になる。
【0005】
本開示はこうした状況に鑑みてなされたものであり、その例示的な目的の一つは、簡便な構成でA/Dコンバータを診断できる技術を提供することにある。
【0006】
本開示のある態様の自己診断システムは、時定数を有し、時定数に応じた時間的に変化するアナログ信号を生成する信号生成回路と、アナログ信号に応じたデジタルデータを生成するA/Dコンバータと、デジタルデータと、時定数に基づき算出される信号生成回路によって生成されるべきアナログ信号とに基づいて、デジタルデータを評価する処理回路と、を備える。
【0007】
なお、以上の構成要素の任意の組合せ、本開示の表現を方法、装置、システムなどの間で変換したものもまた、本開示の態様として有効である。
【図面の簡単な説明】
【0008】
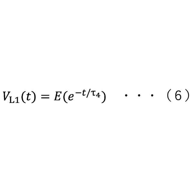
図1は、第1実施形態に係る自己診断システムのブロック図である。
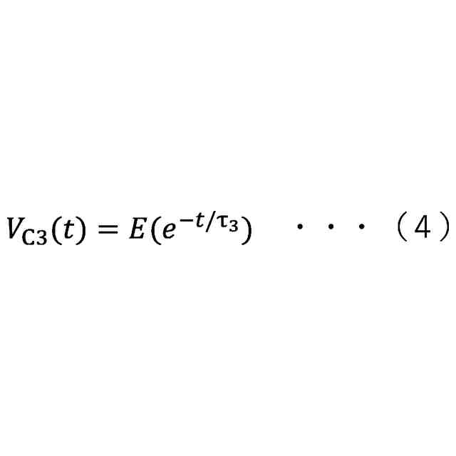
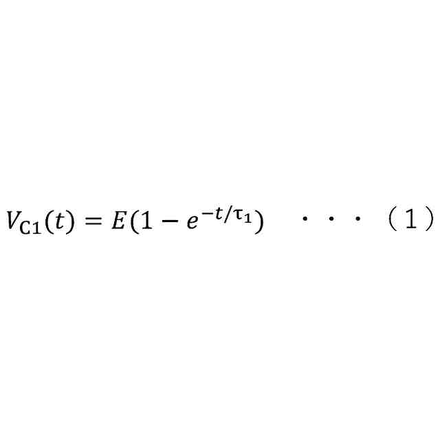
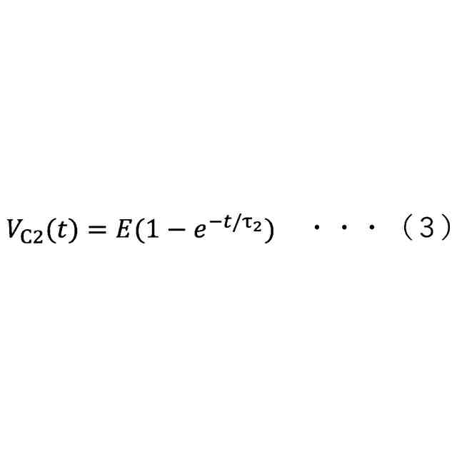
図2は、同実施形態に係る信号生成回路のキャパシタが充電される際の出力ノードの電圧の時間変化を示す図である。
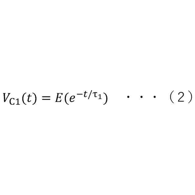
図3は、同実施形態に係る信号生成回路のキャパシタが放電される際の出力ノードの電圧の時間変化を示す図である。
図4は、比較技術に係る自己診断システムのブロック図である。
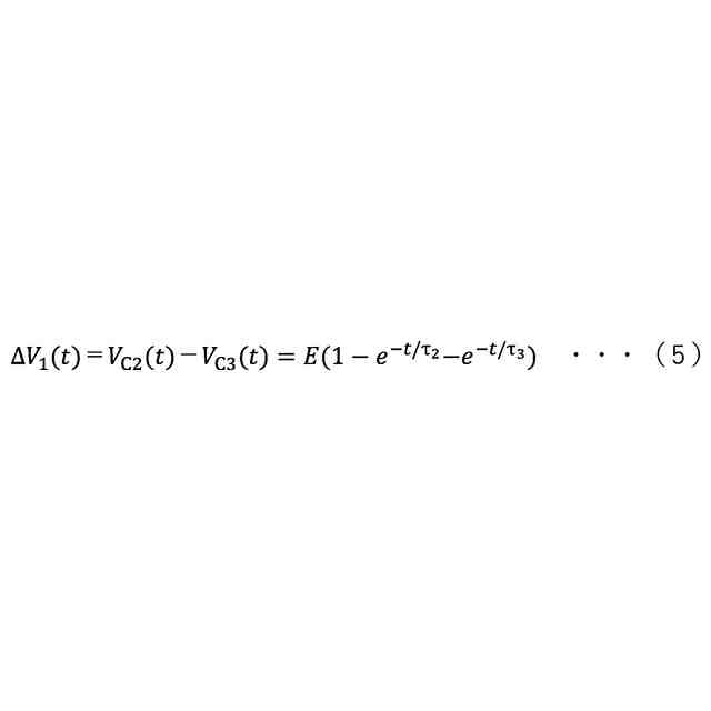
図5は、比較技術に係るテスト信号の時間変化を示す図である。
図6は、第2実施形態に係る自己診断システムのブロック図である。
図7は、第3実施形態に係る自己診断システムのブロック図である。
【0009】
[詳細な説明]
(概要)
本開示のいくつかの例示的な実施形態の概要を説明する。この概要は、後述する詳細な説明の前置きとして、実施形態の基本的な理解を目的として、1つまたは複数の実施形態のいくつかの概念を簡略化して説明するものであり、発明あるいは開示の広さを限定するものではない。この概要は、考えられるすべての実施形態の包括的な概要ではなく、すべての実施形態の重要な要素を特定することも、一部またはすべての態様の範囲を線引きすることも意図していない。便宜上、「一実施形態」は、本明細書に開示するひとつの実施形態(実施例や変形例)または複数の実施形態(実施例や変形例)を指すものとして用いる場合がある。
【0010】
一実施形態に係る自己診断システムは、時定数を有し、時定数に応じた時間的に変化するアナログ信号を生成する信号生成回路と、アナログ信号に応じたデジタルデータを生成するA/Dコンバータと、デジタルデータと、時定数に基づき算出される信号生成回路によって生成されるべきアナログ信号とに基づいて、デジタルデータを評価する処理回路と、を備える。
(【0011】以降は省略されています)
この特許をJ-PlatPat(特許庁公式サイト)で参照する
関連特許
ローム株式会社
半導体装置
25日前
ローム株式会社
半導体装置
9日前
ローム株式会社
半導体装置
9日前
ローム株式会社
半導体装置
9日前
ローム株式会社
半導体装置
17日前
ローム株式会社
半導体装置
25日前
ローム株式会社
半導体装置
2日前
ローム株式会社
電源制御装置
25日前
ローム株式会社
信号伝達装置
25日前
ローム株式会社
定電圧生成回路
9日前
ローム株式会社
半導体集積回路
9日前
ローム株式会社
半導体集積回路
10日前
ローム株式会社
定電圧生成回路
9日前
ローム株式会社
半導体モジュール
18日前
ローム株式会社
モータドライバ回路
25日前
ローム株式会社
比較回路、半導体装置
9日前
ローム株式会社
逐次比較型AD変換回路
17日前
ローム株式会社
サーマルプリントヘッド
9日前
ローム株式会社
電源制御装置及び電源装置
2日前
ローム株式会社
半導体装置およびシステム
17日前
ローム株式会社
監視回路及びレジスタ制御装置
9日前
ローム株式会社
電源制御装置、スイッチング電源
2日前
ローム株式会社
信号受信装置、IC及び電気機器
23日前
ローム株式会社
昇圧型スイッチングレギュレータ
11日前
ローム株式会社
電圧調整装置及び電荷蓄積システム
11日前
ローム株式会社
モータドライバ回路および駆動方法
10日前
ローム株式会社
半導体装置および半導体装置の製造方法
10日前
ローム株式会社
検出回路、信号伝達装置、電子機器、車両
9日前
ローム株式会社
ドライバ、信号伝達装置、電子機器、車両
2日前
ローム株式会社
半導体装置、および半導体装置の製造方法
23日前
ローム株式会社
サーマルプリントヘッド及びその製造方法
9日前
ローム株式会社
半導体装置、および半導体装置の製造方法
9日前
ローム株式会社
コントローラ、ターゲット、及び通信システム
9日前
ローム株式会社
電源回路、電子コントロールユニット、自動車
17日前
ローム株式会社
雨検出装置、雨検出システム、および、雨検出方法
11日前
ローム株式会社
窒化物半導体装置および窒化物半導体装置の製造方法
9日前
続きを見る
他の特許を見る