TOP
|
特許
|
意匠
|
商標
特許ウォッチ
Twitter
他の特許を見る
10個以上の画像は省略されています。
公開番号
2025179651
公報種別
公開特許公報(A)
公開日
2025-12-10
出願番号
2024086543
出願日
2024-05-28
発明の名称
トンネル掘削方法及びトンネル掘削機
出願人
鹿島建設株式会社
,
地中空間開発株式会社
代理人
弁理士法人後藤特許事務所
主分類
E21D
9/08 20060101AFI20251203BHJP(地中もしくは岩石の削孔;採鉱)
要約
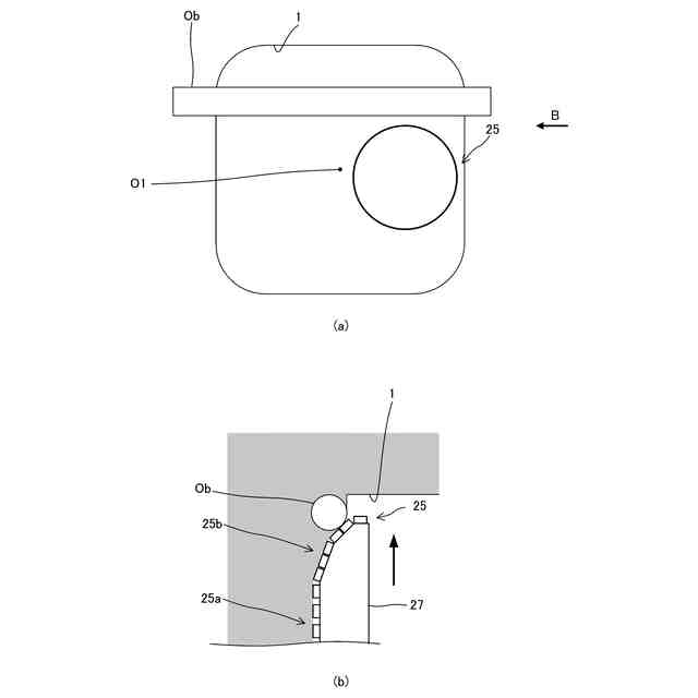
【課題】非真円形断面のトンネルの掘削において支障物を切削する。
【解決手段】トンネル掘削方法は、第1角度センサ52及び第2角度センサ54の検出結果から取得される掘削断面内での第3軸心の位置と、負荷センサ58によって検出される第3軸心回りに回転するカッターの負荷と、に基づいて、掘削断面内での支障物の位置を特定する工程と、支障物を掘削する工程と、を含む。
【選択図】図4
特許請求の範囲
【請求項1】
地山の内壁を支持可能な胴体と、
前記胴体に装着され前記地山を掘削する掘削部と、を備えるトンネル掘削機によってトンネルを掘削するトンネル掘削方法であって、
前記掘削部は、
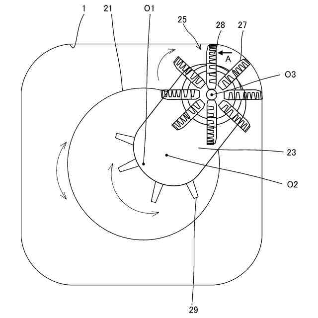
前記トンネルの軸に平行な第1軸心回りに回転可能に構成される第1部材と、
前記第1部材を前記第1軸心回りに回転させる第1駆動手段と、
前記第1軸心と平行であって前記第1軸心から離隔した位置にある第2軸心において回転可能に前記第1部材に支持される第2部材と、
前記第2部材を前記第2軸心回りに回転させる第2駆動手段と、
前記第2軸心と平行であって前記第2軸心から離隔した位置にある第3軸心において回転可能に前記第2部材に支持されるカッターと、
前記カッターを前記第3軸心回りに回転させる第3駆動手段と、
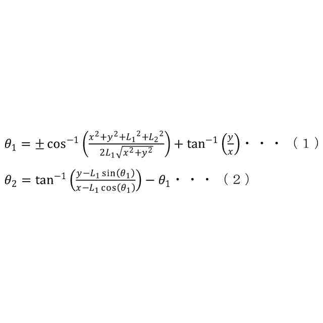
前記第1軸心に対する前記第2軸心の回転位置を検出する第1検出部と、
前記第2軸心に対する前記第3軸心の回転位置を検出する第2検出部と、
前記カッターの負荷を検出する負荷検出部と、を有し、
前記トンネル掘削方法は、
前記第1検出部及び前記第2検出部の検出結果から取得される掘削断面内での前記第3軸心の位置と、前記負荷検出部によって検出される前記第3軸心回りに回転する前記カッターの負荷と、に基づいて、前記掘削断面内での支障物の位置を特定する工程と、
位置が特定された前記支障物を掘削する工程と、を含む、
トンネル掘削方法。
続きを表示(約 1,800 文字)
【請求項2】
地山の内壁を支持可能な胴体と、
前記胴体に装着され前記地山を掘削する掘削部と、を備えるトンネル掘削機によってトンネルを掘削するトンネル掘削方法であって、
前記掘削部は、
前記トンネルの軸に平行な第1軸心回りに回転可能に構成される第1部材と、
前記第1部材を前記第1軸心回りに回転させる第1駆動手段と、
前記第1軸心と平行であって前記第1軸心から離隔した位置にある第2軸心において回転可能に前記第1部材に支持される第2部材と、
前記第2部材を前記第2軸心回りに回転させる第2駆動手段と、
前記第2軸心と平行であって前記第2軸心から離隔した位置にある第3軸心において回転可能に前記第2部材に支持されるカッターと、を有し、
前記トンネル掘削方法は、
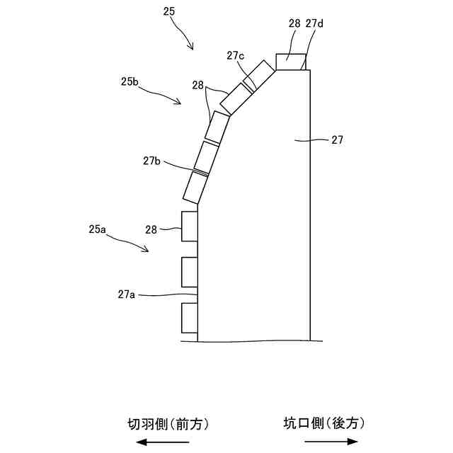
掘削外縁が非真円形の掘削断面を形成する掘削軌跡に沿って前記カッターを移動させて前記地山を掘削する工程と、
前記掘削断面内の支障物を切削する工程と、を含み、
前記支障物を切削する工程では、少なくとも一部が前記掘削軌跡の内側を通る内側軌跡に沿って前記カッターを移動させて前記支障物を切削する、
トンネル掘削方法。
【請求項3】
請求項1または2に記載のトンネル掘削方法であって、
前記トンネル掘削機は、
前記掘削部を前記地山に向けて前進させる推進装置と、
前記胴体内に設けられ、前記トンネルの軸方向において前記掘削部に対向して配置される隔壁と、
前記胴体及び前記隔壁により区画され、前記掘削部により掘削された土砂が流入するカッターチャンバと、
前記カッターチャンバ内から土砂を取り出して排出する排出機構と、をさらに備え、
前記支障物を切削する工程では、前記支障物の位置が特定されると、前記掘削部の前進速度を低下させると共に前記排出機構による土砂の排出量を低下させて、前記支障物を切削する、
トンネル掘削方法。
【請求項4】
請求項1または2に記載のトンネル掘削方法であって、
前記支障物の位置を含む前記掘削断面の所定範囲で前記カッターを往復動させて前記支障物を切削する工程を含む、
トンネル掘削方法。
【請求項5】
請求項1または2に記載のトンネル掘削方法であって、
前記カッターは、
前記第1軸心と垂直な面である進行方向前面を掘削可能な前方掘削部と、
前記第1軸心に対して前記前方掘削部の周囲に設けられ前記進行方向前面に対して傾斜する傾斜面を掘削可能な側方掘削部と、を有し、
前記トンネル掘削方法は、
前記カッターの前記側方掘削部によって前記支障物を切削する工程を含む、
トンネル掘削方法。
【請求項6】
トンネルを掘削するトンネル掘削機であって、
地山の内壁を支持可能な胴体と、
前記胴体に装着され前記地山を掘削する掘削部と、
前記掘削部の作動を制御する制御部と、を備え、
前記掘削部は、
前記トンネルの軸に平行な第1軸心回りに回転可能に構成される第1部材と、
前記第1部材を前記第1軸心回りに回転させる第1駆動手段と、
前記第1軸心と平行であって前記第1軸心から離隔した位置にある第2軸心において回転可能に前記第1部材に支持される第2部材と、
前記第2部材を前記第2軸心回りに回転させる第2駆動手段と、
前記第2軸心と平行であって前記第2軸心から離隔した位置にある第3軸心において回転可能に前記第2部材に支持されるカッターと、
前記カッターを前記第3軸心回りに回転させる第3駆動手段と、
前記第1軸心に対する前記第2軸心の回転位置を検出する第1検出部と、
前記第2軸心に対する前記第3軸心の回転位置を検出する第2検出部と、
前記カッターの負荷を検出する負荷検出部と、を有し、
前記制御部は、
前記第1検出部及び前記第2検出部の検出結果から取得される掘削断面内での前記第3軸心の位置と、前記負荷検出部によって検出される前記第3軸心回りに回転する前記カッターの負荷と、に基づいて、前記掘削断面内での支障物の位置を特定する、
トンネル掘削機。
発明の詳細な説明
【技術分野】
【0001】
本発明は、トンネル掘削方法及びトンネル掘削機に関する。
続きを表示(約 1,900 文字)
【背景技術】
【0002】
例えば、特許文献1には、支障物切削を行うトンネル掘削機が開示されている。このトンネル掘削機は、筒状をなす掘削機本体の前胴にカッターヘッドを回転自在に支持し、該カッターヘッドの先細りの円錐状に傾斜した第1~第4カッタースポークに複数の土砂用切削ビットと複数の支障物切削ビットを設けると共に第1~第4カッター面板に支障物切削ビットを多数設ける構成を備えている。
【0003】
ここでいう「支障物」とは、地盤の中(地中)に埋設されて地盤の掘削の障害となるもののことであり、例えば、鋼製、コンクリート製などの材質で形成される管渠、電路管、土留め壁(鋼矢板)等の人工物である。また、「支障物切削」とは、トンネル掘削機の掘削物としてトンネル掘削機から排出可能な程度の大きさに支障物を切削することを言う。
【0004】
また、特許文献2には、非真円形の断面形状を掘削可能なシールド掘進機が開示されている。
【先行技術文献】
【特許文献】
【0005】
特開2010-196386号公報
特開2007-039976号公報
【発明の概要】
【発明が解決しようとする課題】
【0006】
特許文献1に開示されるトンネル掘削機では、カッターヘッドを回転させることで地山と共に支障物が切削され、カッターヘッドの外径に対応した円形断面の掘削坑が形成される。このように、円形断面のトンネルを掘削するトンネル掘削機において、支障物を切削する方法は従来知られている。
【0007】
一方、特許文献2には、非真円形断面のトンネルを掘削する場合において支障物を適切に切削する方法は開示されていない。特許文献2に開示される非真円形断面をトンネル掘削する場合にも、支障物を適切に切削する方法が望まれている。
【0008】
本発明は、非真円形断面のトンネルの掘削において支障物を切削することが可能なトンネル掘削方法及びトンネル掘削機を提供することを目的とする。
【課題を解決するための手段】
【0009】
本発明のある態様によれば、地山の内壁を支持可能な胴体と、胴体に装着され地山を掘削する掘削部と、を備えるトンネル掘削機によってトンネルを掘削するトンネル掘削方法では、掘削部は、トンネルの軸に平行な第1軸心回りに回転可能に構成される第1部材と、第1部材を第1軸心回りに回転させる第1駆動手段と、第1軸心と平行であって第1軸心から離隔した位置にある第2軸心において回転可能に第1部材に支持される第2部材と、第2部材を第2軸心回りに回転させる第2駆動手段と、第2軸心と平行であって第2軸心から離隔した位置にある第3軸心において回転可能に第2部材に支持されるカッターと、カッターを第3軸心回りに回転させる第3駆動手段と、第1軸心に対する第2軸心の回転位置を検出する第1検出部と、第2軸心に対する第3軸心の回転位置を検出する第2検出部と、カッターの負荷を検出する負荷検出部と、を有し、トンネル掘削方法は、第1検出部及び第2検出部の検出結果から取得される掘削断面内での第3軸心の位置と、負荷検出部によって検出される第3軸心回りに回転するカッターの負荷と、に基づいて、掘削断面内での支障物の位置を特定する工程と、位置が特定された支障物を掘削する工程と、を含む。
【0010】
また、本発明のある態様によれば、地山の内壁を支持可能な胴体と、胴体に装着され地山を掘削する掘削部と、を備えるトンネル掘削機によってトンネルを掘削するトンネル掘削方法では、掘削部は、トンネルの軸に平行な第1軸心回りに回転可能に構成される第1部材と、第1部材を第1軸心回りに回転させる第1駆動手段と、第1軸心と平行であって第1軸心から離隔した位置にある第2軸心において回転可能に第1部材に支持される第2部材と、第2部材を第2軸心回りに回転させる第2駆動手段と、第2軸心と平行であって第2軸心から離隔した位置にある第3軸心において回転可能に第2部材に支持されるカッターと、を有し、トンネル掘削方法は、掘削外縁が非真円形の掘削断面を形成する掘削軌跡に沿ってカッターを移動させて地山を掘削する工程と、掘削断面内の支障物を切削する工程と、を含み、支障物を切削する工程では、少なくとも一部が掘削軌跡の内側を通る内側軌跡に沿ってカッターを移動させて前記支障物を切削する。
(【0011】以降は省略されています)
この特許をJ-PlatPat(特許庁公式サイト)で参照する
関連特許
鹿島建設株式会社
構築方法
1か月前
鹿島建設株式会社
補強構造
5日前
鹿島建設株式会社
制震架構
1か月前
鹿島建設株式会社
解体方法
1か月前
鹿島建設株式会社
接続方法
21日前
鹿島建設株式会社
接合構造
1か月前
鹿島建設株式会社
過重力施設
1か月前
鹿島建設株式会社
塔状構造物
20日前
鹿島建設株式会社
空調システム
2か月前
鹿島建設株式会社
床版架設方法
1か月前
鹿島建設株式会社
シールド掘進機
2か月前
鹿島建設株式会社
壁高欄の施工方法
13日前
鹿島建設株式会社
微生物培養システム
7日前
鹿島建設株式会社
基礎構造および構築方法
12日前
鹿島建設株式会社
接続方法および接続構造
1か月前
鹿島建設株式会社
橋、および橋の製造方法
1か月前
鹿島建設株式会社
作業サイクル分析システム
1か月前
鹿島建設株式会社
壁体の構築方法およびタンク
1か月前
鹿島建設株式会社
コンクリート構造物構築方法
1か月前
鹿島建設株式会社
コンクリートの充填監視方法
12日前
鹿島建設株式会社
鋼管柱の接合方法、及び鋼管柱
1か月前
鹿島建設株式会社
品質評価装置および品質評価方法
1か月前
鹿島建設株式会社
水硬性硬化体の炭酸化養生システム
1か月前
鹿島建設株式会社
トンネル掘削方法及びトンネル掘削機
今日
鹿島建設株式会社
盛土評価システムおよび盛土評価方法
1か月前
鹿島建設株式会社
生態系環境改善部材及び生態系環境改善構造
1か月前
鹿島建設株式会社
作業計画支援方法及び作業計画支援プログラム
12日前
鹿島道路株式会社
コンクリート舗装の養生方法
2か月前
鹿島道路株式会社
コンクリート舗装の養生方法
2か月前
鹿島建設株式会社
二酸化炭素の回収方法、二酸化炭素回収システム
1か月前
鹿島道路株式会社
アスファルト混合物の製造方法
1か月前
鹿島建設株式会社
環境音モニタ装置、環境音モニタ方法及びプログラム
1か月前
ゼネラルヒートポンプ工業株式会社
ヒートポンプシステム
1か月前
鹿島建設株式会社
センサユニット及びセンサユニットを備えたモルタルミキサー
1日前
鹿島建設株式会社
整流壁の設置構造、整流壁の製造方法、及び整流壁の設置方法
1日前
ケイミューシポレックス株式会社
軽量気泡コンクリートの製造方法
2か月前
続きを見る
他の特許を見る