TOP
|
特許
|
意匠
|
商標
特許ウォッチ
Twitter
他の特許を見る
10個以上の画像は省略されています。
公開番号
2025158791
公報種別
公開特許公報(A)
公開日
2025-10-17
出願番号
2024061666
出願日
2024-04-05
発明の名称
環境音モニタ装置、環境音モニタ方法及びプログラム
出願人
鹿島建設株式会社
代理人
個人
主分類
G01S
5/20 20060101AFI20251009BHJP(測定;試験)
要約
【課題】建設現場において環境音を発生する音源の位置を、簡易に、かつ精度よく推定すること。
【解決手段】
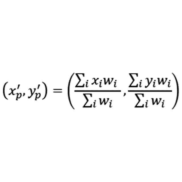
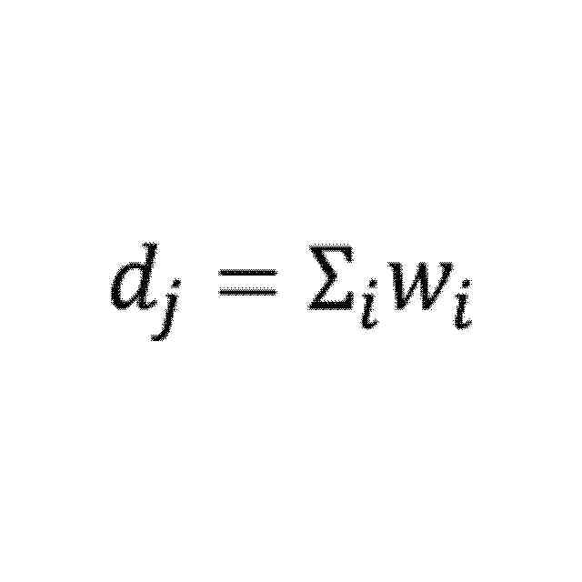
環境音モニタ装置100は、複数のマイクロホンアレイ200からの音声信号に基づいて各マイクロホンアレイ200について音源推定方向ベクトルを算出し、各前記マイクロホンアレイ200について求めた音源推定方向ベクトルのすべての交点の平面位置座標を算出し、複数の前記交点を所定の数のクラスタに分類し、各前記クラスタについて属する前記交点の重心を算出し、各前記クラスタについて前記交点の前記重心に対する密集度を示す指標に基づいて、音源推定位置を決定する音源位置推定部113を備えている。
【選択図】図4
特許請求の範囲
【請求項1】
それぞれが複数の集音手段を備えている、複数の集音ユニットからの音声信号に基づいて各前記集音ユニットについて音源の位置を指向する音源推定方向ベクトルを算出し、
各前記集音ユニットについて求めた音源推定方向ベクトルのすべての交点の平面位置座標を算出し、
複数の前記交点を所定の数のクラスタに分類し、各前記クラスタについて属する前記交点の重心を算出し、
各前記クラスタについて前記交点の前記重心に対する密集度を示す指標に基づいて、音源推定位置を決定する音源位置推定部を
備えている環境音モニタ装置。
続きを表示(約 930 文字)
【請求項2】
決定された前記音源推定位置と、各前記集音ユニットの位置及び各前記集音ユニットによって測定された音圧レベルとにより各前記音源の音響パワーレベルを算出する音源解析部をさらに備えている、請求項1に記載の環境音モニタ装置。
【請求項3】
各前記クラスタについて、前記重心と各前記交点との間の距離の逆数の和を算出し、前記の和が所定の閾値より大きい前記クラスタの重心を音源推定位置として特定する、請求項1に記載の環境音モニタ装置。
【請求項4】
各前記クラスタについて、前記重心と各前記交点との間の距離の逆数の和を算出し、前記の和の値を2つのクラスタにクラスタリングし、得られた2つのクラスタのうち、平均値が大きいクラスタの重心を音源推定位置として特定する、請求項1に記載の環境音モニタ装置。
【請求項5】
コンピュータが、
それぞれが複数の集音手段を備えている、複数の集音ユニットからの音声信号に基づいて各前記集音ユニットについて音源の位置を指向する音源推定方向ベクトルを算出し、
各前記集音ユニットについて求めた音源推定方向ベクトルのすべての交点の平面位置座標を算出し、
複数の前記交点を所定の数のクラスタに分類し、各前記クラスタについて属する前記交点の重心を算出し、
各前記クラスタについて前記交点の前記重心に対する密集度を示す指標に基づいて、音源推定位置を決定する、
環境音モニタ方法。
【請求項6】
コンピュータに、
それぞれが複数の集音手段を備えている、複数の集音ユニットからの音声信号に基づいて各前記集音ユニットについて音源の位置を指向する音源推定方向ベクトルを算出し、
各前記集音ユニットについて求めた音源推定方向ベクトルのすべての交点の平面位置座標を算出し、
複数の前記交点を所定の数のクラスタに分類し、各前記クラスタについて属する前記交点の重心を算出し、
各前記クラスタについて前記交点の前記重心に対する密集度を示す指標に基づいて、音源推定位置を決定する処理を実行させる、
プログラム。
発明の詳細な説明
【技術分野】
【0001】
本発明は、環境音モニタ装置、環境音モニタ方法及びプログラムに関する。
続きを表示(約 2,000 文字)
【背景技術】
【0002】
建設現場において、重機から、また各種の工種において発生する音(以下「環境音」と総称する。)は、現場周辺の生活環境に影響を及ぼす側面があり、環境基準、騒音規制法では敷地境界における基準値を定めており、特定建設作業においてはその基準値を守ることが求められる。
【0003】
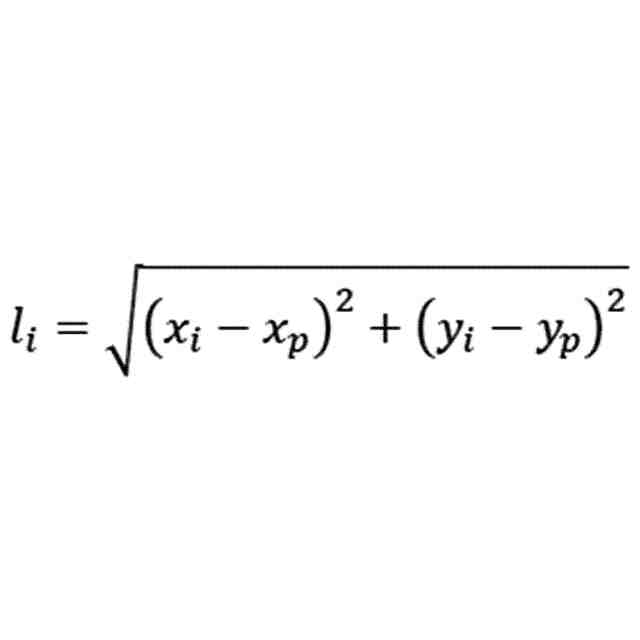
現状では、基準値を守るために、建設現場の敷地境界に無指向性のマイクロホンを設置し、境界上における環境音レベルをモニタリングしているが、無指向性のマイクロホンでは音圧レベルのみが観測され、音源位置を知ることはできない。そこで、複数のマイクロホンを近接して並置させてなるマイクロホンアレイを複数用いて音の到来方向を推定し、到来方向の推定ベクトルを重ね合わせて音源位置を特定する手法が用いられる。図1に、複数のマイクロホンアレイを用いて音源位置の推定を行う状況を模式的に示している。図1では、簡単のために、長方形の敷地F内にある2つの音源SS1、SS2の位置を、3組のマイクロホンアレイ200によって推定するようにしている。各マイクロホンアレイ200による音の到来方向の推定処理は、例えば、浅野太、“知識の森 2群(画像・音・言語)、6編(音響信号処理)、3章 音源定位”、[online]、2011年11月、電子情報通信学会、[令和6年2月21日検索]、インターネット<https://www.ieice-hbkb.org/files/02/02gun_06hen_03.pdf>等の文献に記載されている。図1に示すように、2つの音源SS1、SS2の位置は、3組のマイクロホンアレイ200によって求められる音の到来方向を示すベクトル(以下「音源位置推定ベクトル」と呼ぶ。」)の交点として特定することができる。
【0004】
しかし、この手法では、各マイクロホンアレイ200において別の音源から受音されることによるベクトルの交点Pも検出される。この交点Pは音源推定とは関係がないものの、そのままでは音源位置を示す交点と区別することができない。
【0005】
これについて、例えば非特許文献1では、得られた音源方向推定ベクトルのすべての交点に対し、2つの方向ベクトルの組み合わせでそれぞれ到来音源のスペクトルを求め、スペクトルの類似性という観点でクラスタリングを行い、その類似度から交点が実際の音源かどうかを判断している。
【先行技術文献】
【非特許文献】
【0006】
Daniel Gabriel, et.al., "Iterative Outlier Removal Method Using In-Cluster Variance Changes in Multi-Microphone Array Sound Source Localization", The Proceedings of The 79th National Convention of IPSJ, pp. 2-229-230, Nagoya University, Nagoya, Mar. 16-18,2017
【発明の概要】
【発明が解決しようとする課題】
【0007】
しかしながら、非特許文献1で提案されている手法では、方向ベクトルの組合せ数が多くなるとスペクトル演算に要する計算負荷が増加し、計算時間が長くなるという問題がある。このことは、特に、環境音の時間的な変化を継続的にモニタするために音源推定のための演算を反復して実行しようとする場合に問題となる。
【0008】
本発明の目的の一つは、建設現場において環境音を発生する音源の位置を、簡易に、かつ精度よく推定することができる環境音モニタ装置、環境音モニタ方法及びプログラムを提供することである。
【課題を解決するための手段】
【0009】
本発明の一つの態様は、それぞれが複数の集音手段を備えている、複数の集音ユニットからの音声信号に基づいて各前記集音ユニットについて音源推定方向ベクトルを算出し、各前記集音ユニットについて求めた音源推定方向ベクトルのすべての交点の平面位置座標を算出し、複数の前記交点を所定の数のクラスタに分類し、各前記クラスタについて属する前記交点の重心を算出し、各前記クラスタについて前記交点の前記重心に対する密集度を示す指標に基づいて、音源推定位置を決定する音源位置推定部を備えている環境音モニタ装置である。
【0010】
前記の環境音モニタ装置は、さらに、決定された前記音源推定位置と、各前記集音ユニットの位置及び各前記集音ユニットによって測定された音圧レベルとにより各前記音源の音響パワーレベルを算出する音源解析部を備えるとしてもよい。
(【0011】以降は省略されています)
この特許をJ-PlatPat(特許庁公式サイト)で参照する
関連特許
鹿島建設株式会社
解体方法
1か月前
鹿島建設株式会社
構築方法
26日前
鹿島建設株式会社
接合構造
1か月前
鹿島建設株式会社
接続方法
12日前
鹿島建設株式会社
制震架構
1か月前
鹿島建設株式会社
過重力施設
1か月前
鹿島建設株式会社
塔状構造物
11日前
鹿島建設株式会社
空調システム
2か月前
鹿島建設株式会社
床版架設方法
1か月前
鹿島建設株式会社
シールド掘進機
1か月前
鹿島建設株式会社
壁高欄の施工方法
4日前
鹿島建設株式会社
基礎構造および構築方法
3日前
鹿島建設株式会社
ワイヤレス給電システム
2か月前
鹿島建設株式会社
接続方法および接続構造
1か月前
鹿島建設株式会社
橋、および橋の製造方法
1か月前
鹿島建設株式会社
作業サイクル分析システム
1か月前
鹿島建設株式会社
壁体の構築方法およびタンク
1か月前
鹿島建設株式会社
コンクリート構造物構築方法
25日前
鹿島建設株式会社
コンクリートの充填監視方法
3日前
鹿島建設株式会社
鋼管柱の接合方法、及び鋼管柱
1か月前
鹿島建設株式会社
品質評価装置および品質評価方法
1か月前
鹿島建設株式会社
水硬性硬化体の炭酸化養生システム
1か月前
鹿島建設株式会社
盛土評価システムおよび盛土評価方法
1か月前
鹿島建設株式会社
生態系環境改善部材及び生態系環境改善構造
24日前
鹿島建設株式会社
作業計画支援方法及び作業計画支援プログラム
3日前
鹿島建設株式会社
二酸化炭素の回収方法、二酸化炭素回収システム
25日前
鹿島道路株式会社
コンクリート舗装の養生方法
1か月前
鹿島道路株式会社
コンクリート舗装の養生方法
1か月前
鹿島道路株式会社
アスファルト混合物の製造方法
1か月前
鹿島建設株式会社
環境音モニタ装置、環境音モニタ方法及びプログラム
1か月前
ゼネラルヒートポンプ工業株式会社
ヒートポンプシステム
1か月前
ケイミューシポレックス株式会社
軽量気泡コンクリートの製造方法
1か月前
鹿島建設株式会社
生物生息場構造体、生物生息場構造、生物生息場構造体の引き上げ方法
2か月前
株式会社ベルニック
作業台の移動装置および作業台
3日前
Haloworld株式会社
マップ作成システム及び自動走行システム
1か月前
鹿島建設株式会社
マット部材、マット部材の製造方法、及びマット部材のひずみ測定システム
4日前
続きを見る
他の特許を見る