TOP
|
特許
|
意匠
|
商標
特許ウォッチ
Twitter
他の特許を見る
10個以上の画像は省略されています。
公開番号
2025162888
公報種別
公開特許公報(A)
公開日
2025-10-28
出願番号
2024066382
出願日
2024-04-16
発明の名称
品質評価装置および品質評価方法
出願人
鹿島建設株式会社
代理人
個人
,
個人
,
個人
,
個人
主分類
G01N
11/04 20060101AFI20251021BHJP(測定;試験)
要約
【課題】生コンクリートの品質の判定の精度を高めることができる品質評価装置および品質評価方法を提供する。
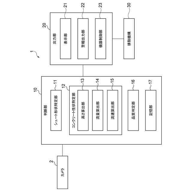
【解決手段】一実施形態に係る品質評価装置は、シュートの傾斜面に沿って流下する生コンクリートの品質評価装置1である。品質評価装置1は、シュートおよび生コンクリートを撮影するカメラ2と、カメラ2によって撮影された画像からシュートの3次元形状を特定するシュート形状特定部11と、カメラ2によって撮影された画像から流下する生コンクリートを特定するコンクリート性状特定部12とを備える。コンクリート性状特定部12は、生コンクリートが流下する方向に直交する面における生コンクリートとシュートとの交点に対する生コンクリートの高さを算出する高さ算出部13を有する。品質評価装置1は、コンクリート性状特定部12によって算出された生コンクリートの性状に基づいて生コンクリートの品質を判定する品質判定部16を備える。
【選択図】図3
特許請求の範囲
【請求項1】
シュートの傾斜面に沿って流下する生コンクリートの品質評価装置であって、
前記シュートおよび前記生コンクリートを撮影するカメラと、
前記カメラによって撮影された画像から前記シュートの3次元形状を特定するシュート形状特定部と、
前記カメラによって撮影された画像から流下する前記生コンクリートを特定するコンクリート性状特定部と、
を備え、
前記コンクリート性状特定部は、
前記生コンクリートが流下する方向に直交する面における前記生コンクリートと前記シュートとの交点に対する前記生コンクリートの高さを算出する高さ算出部を有し、
前記コンクリート性状特定部によって算出された前記生コンクリートの性状に基づいて前記生コンクリートの品質を判定する品質判定部を備える、
品質評価装置。
続きを表示(約 630 文字)
【請求項2】
前記コンクリート性状特定部は、流下する前記生コンクリートの流量を算出する流量算出部をさらに有する、
請求項1に記載の品質評価装置。
【請求項3】
前記コンクリート性状特定部は、流下する前記生コンクリートの流速を算出する流速算出部をさらに有する、
請求項1または請求項2に記載の品質評価装置。
【請求項4】
平面視において、前記シュートは、四角形状を呈しており、
前記シュート形状特定部は、平面視における前記シュートの四隅のうちの少なくとも3箇所を検出して前記シュートの3次元形状を特定する、
請求項1または請求項2に記載の品質評価装置。
【請求項5】
シュートの傾斜面に沿って流下する生コンクリートの品質評価方法であって、
前記傾斜面に沿って生コンクリートを流下する工程と、
前記シュートおよび前記生コンクリートを撮影する工程と、
前記撮影する工程において得られた画像から前記シュートの3次元形状を特定する工程と、
前記画像から流下する前記生コンクリートを特定する工程と、
前記生コンクリートが流下する方向に直交する面における前記生コンクリートと前記シュートとの交点に対する前記生コンクリートの高さを算出する工程と、
前記高さから前記生コンクリートの品質を判定する工程と、
を備える、
品質評価方法。
発明の詳細な説明
【技術分野】
【0001】
本開示は、生コンクリートの品質評価装置および品質評価方法に関する。
続きを表示(約 1,800 文字)
【背景技術】
【0002】
特許文献1には、アジテータ車によって輸送された生コンクリートをポンプ車に投入する前に検査する品質評価装置が記載されている。品質評価装置は、生コンクリートの動画を撮影するカメラと、生コンクリートの表面を認識する表面認識部と、生コンクリートの表面の傾きを算出する傾き算出部と、算出された傾きから生コンクリートの品質を判定する品質判定部とを備える。
【0003】
この品質評価装置では、カメラが傾斜面に沿って流下する生コンクリートの動画を撮影する。撮影された動画から表面認識部が生コンクリートの表面を認識し、認識された生コンクリートの表面から傾き算出部が生コンクリートの表面形状の傾きを算出する。品質判定部は、生コンクリートの表面形状の傾きから生コンクリートの品質を判定する。
【0004】
スランプ値が低く硬い生コンクリートは、柔らかい生コンクリートと比較して厚みを伴い流下するため上記の傾きの変動が大きい。品質判定部が生コンクリートの上記の傾きから生コンクリートの品質を判定することにより、スランプ値が低く硬い生コンクリートを排除している。
【先行技術文献】
【特許文献】
【0005】
特許第7122276号公報
【発明の概要】
【発明が解決しようとする課題】
【0006】
前述した品質評価装置では、傾きから生コンクリートの品質を判定することによってスランプ値が低く硬い生コンクリートを排除する。しかしながら、スランプ値が高く柔らかい生コンクリートは、シュートを流下するときに上記の傾きが生じにくい。よって、スランプ値が高く柔らかい生コンクリートを精度よく判定できないということが起こりうる。したがって、硬すぎる生コンクリートおよび柔らかすぎる生コンクリートを精度よく判定して、品質の判定の精度を高めることが求められる。
【0007】
本開示は、生コンクリートの品質の判定の精度を高めることができる品質評価装置および品質評価方法を提供することを目的とする。
【課題を解決するための手段】
【0008】
(1)本開示に係る品質評価装置は、シュートの傾斜面に沿って流下する生コンクリートの品質評価装置である。品質評価装置は、シュートおよび生コンクリートを撮影するカメラと、カメラによって撮影された画像からシュートの3次元形状を特定するシュート形状特定部と、カメラによって撮影された画像から流下する生コンクリートを特定するコンクリート性状特定部と、を備える。コンクリート性状特定部は、生コンクリートが流下する方向に直交する面における生コンクリートとシュートとの交点に対する生コンクリートの高さを算出する高さ算出部を有する。品質評価装置は、コンクリート性状特定部によって算出された生コンクリートの性状に基づいて生コンクリートの品質を判定する品質判定部を備える。
【0009】
この品質評価装置では、カメラがシュートと生コンクリートを撮影し、シュート形状特定部によってシュートの3次元形状が特定される。シュートを流下する生コンクリートの高さは、生コンクリートの硬さと相関がある。すなわち、硬い生コンクリートほど生コンクリートの高さが高くなり、柔らかい生コンクリートほど生コンクリートの高さが低くなる。この品質評価装置では、生コンクリートが流下する方向に直交する面における生コンクリートとシュートとの交点に対する生コンクリートの高さが高さ算出部によって算出され、この高さから生コンクリートの品質が判定される。よって、高さが低い生コンクリートを柔らかすぎると判定し、高さが高い生コンクリートを硬すぎると判定できる。したがって、硬すぎる生コンクリートおよび柔らかすぎる生コンクリートを精度よく判定して、生コンクリートの品質の判定の精度を高めることができる。
【0010】
(2)上記(1)において、コンクリート性状特定部は、流下する生コンクリートの流量を算出する流量算出部をさらに有してもよい。この場合、流下する生コンクリートの流量と高さから生コンクリートの品質が判定される。したがって、生コンクリートの流量に応じた品質を判定できるので、より高精度に品質を判定できる。
(【0011】以降は省略されています)
この特許をJ-PlatPat(特許庁公式サイト)で参照する
関連特許
鹿島建設株式会社
構築方法
1か月前
鹿島建設株式会社
解体方法
1か月前
鹿島建設株式会社
接続方法
22日前
鹿島建設株式会社
制震架構
1か月前
鹿島建設株式会社
補強構造
6日前
鹿島建設株式会社
接合構造
1か月前
鹿島建設株式会社
塔状構造物
21日前
鹿島建設株式会社
過重力施設
1か月前
鹿島建設株式会社
地層処分施設
今日
鹿島建設株式会社
床版架設方法
1か月前
鹿島建設株式会社
シールド掘進機
2か月前
鹿島建設株式会社
壁高欄の施工方法
14日前
鹿島建設株式会社
微生物培養システム
8日前
鹿島建設株式会社
基礎構造および構築方法
13日前
鹿島建設株式会社
橋、および橋の製造方法
1か月前
鹿島建設株式会社
接続方法および接続構造
1か月前
鹿島建設株式会社
作業サイクル分析システム
1か月前
鹿島建設株式会社
コンクリートの充填監視方法
13日前
鹿島建設株式会社
コンクリート構造物構築方法
1か月前
鹿島建設株式会社
壁体の構築方法およびタンク
1か月前
鹿島建設株式会社
鋼管柱の接合方法、及び鋼管柱
1か月前
鹿島建設株式会社
地層処分施設及び地層処分方法
今日
鹿島建設株式会社
品質評価装置および品質評価方法
1か月前
鹿島建設株式会社
地層処分施設及び廃棄体パッケージ
今日
鹿島建設株式会社
水硬性硬化体の炭酸化養生システム
1か月前
鹿島建設株式会社
空気搬送システム及び空気搬送方法
今日
鹿島建設株式会社
トンネル掘削方法及びトンネル掘削機
1日前
鹿島建設株式会社
盛土評価システムおよび盛土評価方法
1か月前
鹿島建設株式会社
生態系環境改善部材及び生態系環境改善構造
1か月前
鹿島建設株式会社
作業計画支援方法及び作業計画支援プログラム
13日前
鹿島建設株式会社
二酸化炭素の回収方法、二酸化炭素回収システム
1か月前
鹿島道路株式会社
アスファルト混合物の製造方法
1か月前
鹿島建設株式会社
環境音モニタ装置、環境音モニタ方法及びプログラム
1か月前
鹿島建設株式会社
地盤の評価方法及び格子状改良体の仕様を決定する方法
今日
ゼネラルヒートポンプ工業株式会社
ヒートポンプシステム
1か月前
鹿島建設株式会社
センサユニット及びセンサユニットを備えたモルタルミキサー
2日前
続きを見る
他の特許を見る