TOP
|
特許
|
意匠
|
商標
特許ウォッチ
Twitter
他の特許を見る
10個以上の画像は省略されています。
公開番号
2025177989
公報種別
公開特許公報(A)
公開日
2025-12-05
出願番号
2024085193
出願日
2024-05-24
発明の名称
深度計測装置、深度計測方法及び深度計測プログラム
出願人
株式会社トヨタプロダクションエンジニアリング
代理人
弁理士法人白坂
主分類
G01B
15/00 20060101AFI20251128BHJP(測定;試験)
要約
【課題】部材の深度を計測することが可能な深度計測装置、深度計測方法及び深度計測プログラムを提供する。
【解決手段】深度計測装置は、放射線源と、放射線源から放射される放射線の検出器と、放射線源から検出器に向かう奥行き方向に第1距離離れた位置を第1位置とすると、当該第1位置から検出器の検出面に沿って第2距離離れた第2位置に対象物がある場合、検出器で撮像される対象物の像の検出器上の第3位置と、放射線源に対向する検出器上の第4位置との第3距離を取得する第1取得部と、第2位置から奥行き方向に第4距離離れた第5位置に対象物がある場合、検出器で撮像される対象物の像の検出器上の第6位置と、第4位置との第5距離を取得する第2取得部と、第1取得部で取得する第3距離、第2取得部で取得する第5距離、及び、第4距離に基づいて、第1距離を取得する第3取得部と、を備える。
【選択図】図1
特許請求の範囲
【請求項1】
放射線源と、
前記放射線源から放射される放射線の検出器と、
前記放射線源から前記検出器に向かう奥行き方向に第1距離離れた位置を第1位置とすると、当該第1位置から検出器の検出面に沿って第2距離離れた第2位置に対象物がある場合、前記検出器で撮像される前記対象物の像の前記検出器上の第3位置と、前記放射線源に対向する前記検出器上の第4位置との第3距離を取得する第1取得部と、
前記第2位置から前記奥行き方向に第4距離離れた第5位置に前記対象物がある場合、前記検出器で撮像される前記対象物の像の検出器上の第6位置と、前記第4位置との第5距離を取得する第2取得部と、
前記第1取得部で取得する前記第3距離、前記第2取得部で取得する前記第5距離、及び、前記第4距離に基づいて、前記第1距離を取得する第3取得部と、
を備える深度計測装置。
続きを表示(約 1,100 文字)
【請求項2】
前記放射線源と前記検出器との前記奥行き方向の距離を一定としつつ、前記放射線源と前記検出器との間にある前記対象物の奥行き方向の位置を変化させる位置制御部を備える
請求項1に記載の深度計測装置。
【請求項3】
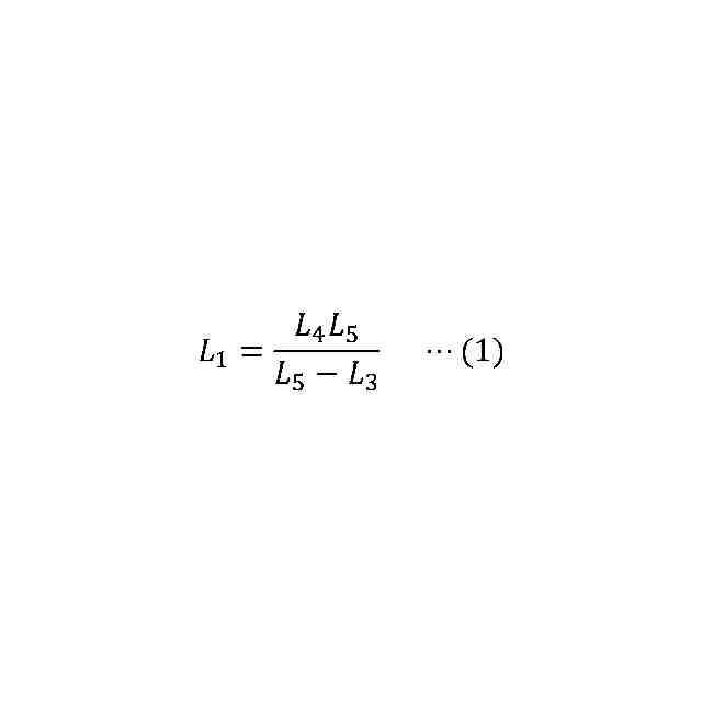
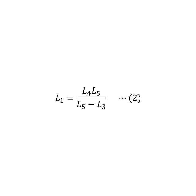
前記第3取得部は、前記第1距離をL
1
、前記第3距離をL
3
、前記第5距離をL
5
、前記第4距離をL
4
とすると、下式(1)により前記第1距離L
1
を算出する
TIFF
2025177989000008.tif
10
150
請求項1又は2に記載の深度計測装置。
【請求項4】
放射線源、及び、前記放射線源から放射される放射線の検出器それぞれとの間で通信が可能なコンピュータが、
前記放射線源から前記検出器に向かう奥行き方向に第1距離離れた位置を第1位置とすると、当該第1位置から検出器の検出面に沿って第2距離離れた第2位置に対象物がある場合、前記検出器で撮像される前記対象物の像の前記検出器上の第3位置と、前記放射線源に対向する前記検出器上の第4位置との第3距離を取得する第1取得ステップと、
前記第2位置から前記奥行き方向に第4距離離れた第5位置に前記対象物がある場合、前記検出器で撮像される前記対象物の像の検出器上の第6位置と、前記第4位置との第5距離を取得する第2取得ステップと、
前記第1取得ステップで取得する前記第3距離、前記第2取得ステップで取得する前記第5距離、及び、前記第4距離に基づいて、前記第1距離を取得する第3取得ステップと、
を実行する深度計測方法。
【請求項5】
放射線源、及び、前記放射線源から放射される放射線の検出器それぞれとの間で通信が可能なコンピュータに、
前記放射線源から前記検出器に向かう奥行き方向に第1距離離れた位置を第1位置とすると、当該第1位置から検出器の検出面に沿って第2距離離れた第2位置に対象物がある場合、前記検出器で撮像される前記対象物の像の前記検出器上の第3位置と、前記放射線源に対向する前記検出器上の第4位置との第3距離を取得する第1取得機能と、
前記第2位置から前記奥行き方向に第4距離離れた第5位置に前記対象物がある場合、前記検出器で撮像される前記対象物の像の検出器上の第6位置と、前記第4位置との第5距離を取得する第2取得機能と、
前記第1取得機能で取得する前記第3距離、前記第2取得機能で取得する前記第5距離、及び、前記第4距離に基づいて、前記第1距離を取得する第3取得機能と、
を実現させる深度計測プログラム。
発明の詳細な説明
【技術分野】
【0001】
本開示は、深度計測装置、深度計測方法及び深度計測プログラムに関する。
続きを表示(約 1,300 文字)
【背景技術】
【0002】
従来、特許文献1に記載されたCT装置は、異なる2つの撮影距離(FCD)それぞれに応じて取得した基準体の断面像の大きさに基づいて演算を行うことにより、撮影距離(FCD)及び検出距離(FDD)を更正する。撮影距離(FCD)は放射線源と被検体との距離であり、検出距離(FDD)は放射線源と放射線検出部との距離である。
【先行技術文献】
【特許文献】
【0003】
特開2010-185859号公報
【発明の概要】
【発明が解決しようとする課題】
【0004】
特許文献1に記載されたCT装置は、撮影距離(FCD)及び検出距離(FDD)の更正を行うものである。
放射線を用いて部材(例えば、部材内部の空隙等)の深さを求める場合があるが、特許文献1には部材の深さを求める手法が開示されていない。
【0005】
本開示は、部材の深度を計測することが可能な深度計測装置、深度計測方法及び深度計測プログラムを提供する。
【課題を解決するための手段】
【0006】
一態様の深度計測装置は、放射線源と、放射線源から放射される放射線の検出器と、放射線源から検出器に向かう奥行き方向に第1距離離れた位置を第1位置とすると、当該第1位置から検出器の検出面に沿って第2距離離れた第2位置に対象物がある場合、検出器で撮像される対象物の像の検出器上の第3位置と、放射線源に対向する検出器上の第4位置との第3距離を取得する第1取得部と、第2位置から奥行き方向に第4距離離れた第5位置に対象物がある場合、検出器で撮像される対象物の像の検出器上の第6位置と、第4位置との第5距離を取得する第2取得部と、第1取得部で取得する第3距離、第2取得部で取得する第5距離、及び、第4距離に基づいて、第1距離を取得する第3取得部と、を備える。
【発明の効果】
【0007】
本開示の深度計測装置、深度計測方法及び深度計測プログラムは、部材の深度を計測することができる。
【図面の簡単な説明】
【0008】
一実施形態に係る深度計測装置について説明するための図である。
一実施形態に係る深度計測装置(処理部)について説明するためのブロック図である。
第1距離の算出式を得る際の複数の位置及び複数の距離の関係について説明するための図である。
位置制御部の制御パターン(第1パターン)を説明する際の深度計測装置の概略構成について説明するための図である。
位置制御部の制御パターン(第2パターン)を説明する際の深度計測装置の概略構成について説明するための図である。
一実施形態に係る深度計測方法について説明するためのフローチャートである。
【発明を実施するための形態】
【0009】
以下、一実施形態について説明する。
【0010】
[深度計測装置1の概要]
まず、一実施形態に係る深度計測装置1の概要について説明する。
図1は、一実施形態に係る深度計測装置1について説明するための図である。
(【0011】以降は省略されています)
この特許をJ-PlatPat(特許庁公式サイト)で参照する
関連特許
個人
視触覚センサ
1日前
個人
採尿及び採便具
1か月前
日本精機株式会社
検出装置
1か月前
個人
計量機能付き容器
26日前
日本精機株式会社
発光表示装置
9日前
株式会社ミツトヨ
測定器
1か月前
甲神電機株式会社
電流検出装置
1か月前
株式会社カクマル
境界杭
16日前
ユニパルス株式会社
トルク変換器
1日前
ユニパルス株式会社
トルク変換器
1日前
ユニパルス株式会社
トルク変換器
1日前
株式会社トプコン
測量装置
8日前
アズビル株式会社
電磁流量計
1か月前
大成建設株式会社
風洞実験装置
26日前
日本特殊陶業株式会社
ガスセンサ
2日前
個人
非接触による電磁パルスの測定方法
29日前
日本特殊陶業株式会社
ガスセンサ
1日前
日本信号株式会社
距離画像センサ
29日前
愛知時計電機株式会社
ガスメータ
1か月前
日本特殊陶業株式会社
ガスセンサ
8日前
双庸電子株式会社
誤配線検査装置
1か月前
日本特殊陶業株式会社
ガスセンサ
24日前
愛知電機株式会社
軸部材の外観検査装置
1か月前
個人
システム、装置及び実験方法
1か月前
大和製衡株式会社
組合せ計量装置
1か月前
大和製衡株式会社
組合せ計量装置
1か月前
個人
計量具及び計量機能付き容器
26日前
キーコム株式会社
画像作成システム
16日前
日本特殊陶業株式会社
センサ
10日前
日本特殊陶業株式会社
センサ
1か月前
個人
液位検視及び品質監視システム
24日前
株式会社タイガーカワシマ
揚穀装置
8日前
日置電機株式会社
絶縁抵抗測定装置
1日前
日東精工株式会社
振動波形検査装置
1か月前
本陣水越株式会社
車載式計測標的物
3日前
株式会社不二越
X線測定装置
29日前
続きを見る
他の特許を見る