TOP
|
特許
|
意匠
|
商標
特許ウォッチ
Twitter
他の特許を見る
10個以上の画像は省略されています。
公開番号
2025177969
公報種別
公開特許公報(A)
公開日
2025-12-05
出願番号
2024085152
出願日
2024-05-24
発明の名称
線維状タンパク質又は線維状ペプチドの構造多形を識別する方法及び装置
出願人
浜松ホトニクス株式会社
代理人
個人
,
個人
,
個人
,
個人
主分類
G01N
33/68 20060101AFI20251128BHJP(測定;試験)
要約
【課題】簡便かつ迅速に、線維状タンパク質又は線維状ペプチドの構造多形を識別できる方法を提供すること。
【解決手段】線維状タンパク質又は線維状ペプチドの構造多形を識別する方法であり、
線維状タンパク質又は線維状ペプチドとチオフラビンTとを含む試料について蛍光減衰曲線を得る工程、
蛍光減衰曲線の関数F(t)に対して、特定の関数G(t)に基づく4成分以上の指数関数フィッティングを行い、各指数関数成分の蛍光寿命値τ
1
~τ
n
、及び重み因子A
1
~A
n
(但し、nは4以上の自然数)を得る工程、
蛍光寿命値τ
1
~τ
n
、及び重み因子A
1
~A
n
のうちそれぞれの少なくとも1以上の値(但し、チオフラビンTの自家蛍光に由来する指数関数成分における蛍光寿命値及び重み因子を除く)に基づいて、線維状タンパク質又は線維状ペプチドの構造多形を識別する工程を含む、方法。
【選択図】なし
特許請求の範囲
【請求項1】
線維状タンパク質又は線維状ペプチドの構造多形を識別する方法であり、
線維状タンパク質又は線維状ペプチドとチオフラビンTとを含む試料について蛍光減衰曲線を得る工程、
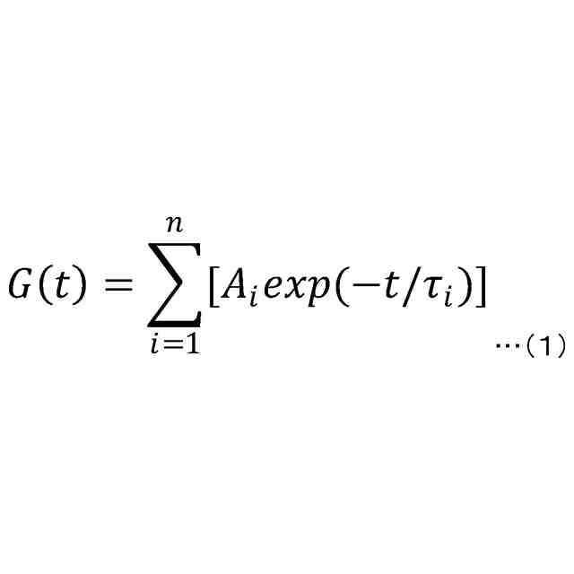
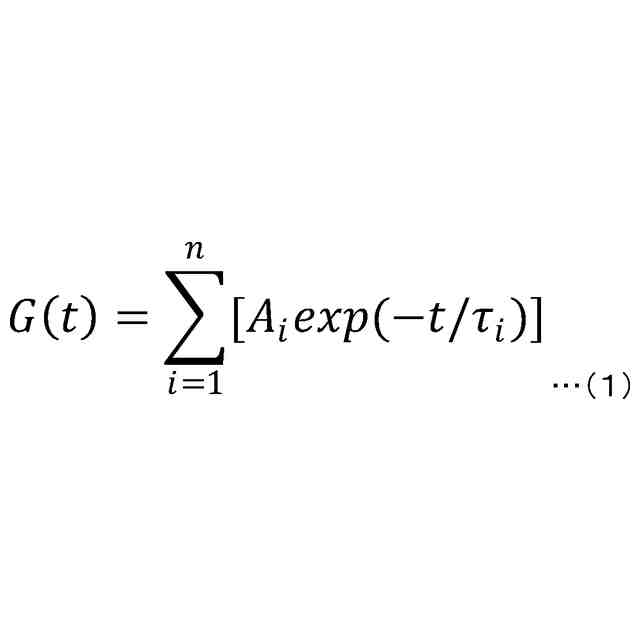
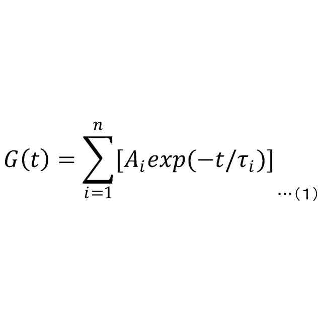
前記蛍光減衰曲線の関数F(t)に対して、下記数式(1)で表される関数G(t)に基づく4成分以上の指数関数フィッティングを行い、各指数関数成分の蛍光寿命値τ
1
~τ
n
、及び重み因子A
1
~A
n
(但し、nは4以上の自然数)を得る工程、
前記蛍光寿命値τ
1
~τ
n
、及び前記重み因子A
1
~A
n
のうちそれぞれの少なくとも1以上の値(但し、チオフラビンTの自家蛍光に由来する指数関数成分における蛍光寿命値及び重み因子を除く)に基づいて、前記線維状タンパク質又は線維状ペプチドの構造多形を識別する工程を含む、方法。
TIFF
2025177969000035.tif
20
149
[数式(1)中、nは4以上の自然数を示し、A
i
は各指数関数成分の重み因子を示し、tは時間を表す変数を示し、τ
i
は各指数関数成分の蛍光寿命値を示す。]
続きを表示(約 2,300 文字)
【請求項2】
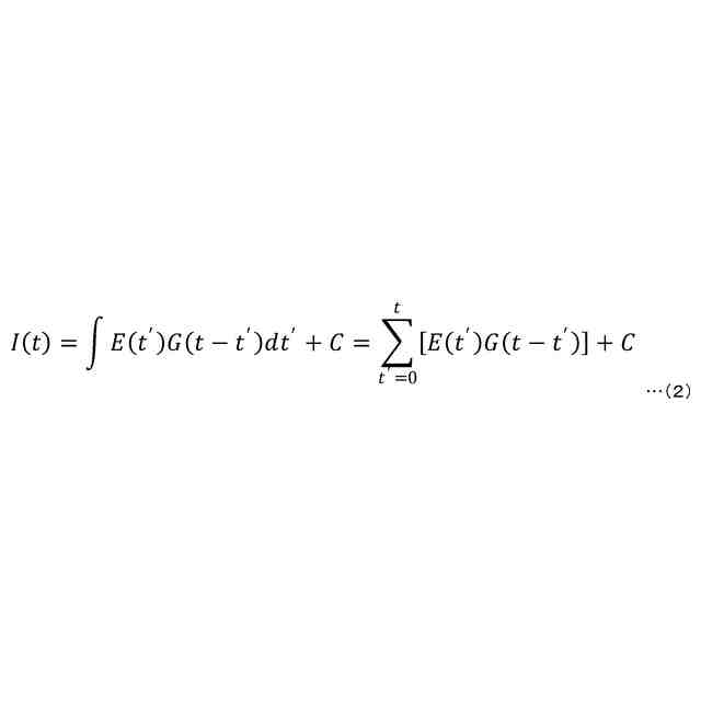
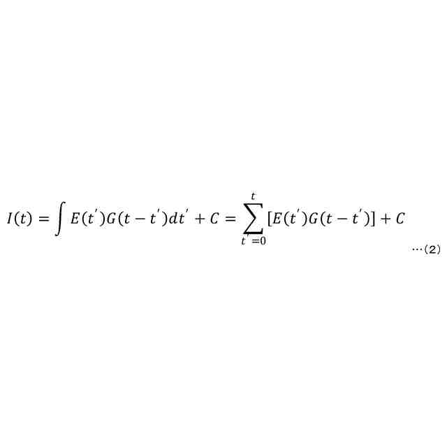
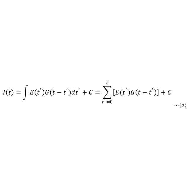
前記指数関数フィッティングが、
前記関数G(t)を下記数式(2)にしたがってコンボリューション積分し、関数I(t)を得ること、及び、
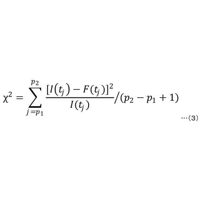
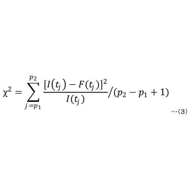
前記関数I(t)と前記蛍光減衰曲線の関数F(t)とを比較し、下記数式(3)におけるχ
2
を最小にする変数の組み合わせを非線形最小二乗法で探索することを含む、請求項1に記載の方法。
TIFF
2025177969000036.tif
22
149
[数式(2)中、E(t)は蛍光寿命測定装置の装置応答関数を示し、Cはバックグラウンドを示し、t及びt’は時間を表す変数を示す。]
TIFF
2025177969000037.tif
24
149
[数式(3)中、t
j
は時間を表す変数を示し、p
1
は解析の開始時間を示し、p
2
は解析の終了時間を示す。]
【請求項3】
前記識別する工程が、前記蛍光寿命値τ
1
~τ
n
、及び前記重み因子A
1
~A
n
を、異なるアミロイドの構造多形それぞれに対応付けられた蛍光寿命値τ
1
~τ
n
、及び重み因子A
1
~A
n
が格納されたデータベースに照らし合わせて行われる、請求項1に記載の方法。
【請求項4】
前記指数関数フィッティングが、4成分の指数関数フィッティングである、請求項1に記載の方法。
【請求項5】
前記線維状タンパク質又は線維状ペプチドを形成するタンパク質又はペプチドが、アミロイド形成タンパク質又はアミロイド形成ペプチドである、請求項1~4のいずれか一項に記載の方法。
【請求項6】
前記アミロイド形成タンパク質又はアミロイド形成ペプチドが、アミロイドβ、αシヌクレイン、トランス活性化応答DNA結合タンパク質-43、スーパーオキサイドジスムターゼ1、プリオンタンパク質、β2ミクログロブリン、免疫グロブリン軽鎖タンパク質、トランスサイレチン、タウ、及びこれらの部分ペプチドからなる群から選択される1つ以上である、請求項5に記載の方法。
【請求項7】
線維状タンパク質又は線維状ペプチドの構造多形識別装置であり、
線維状タンパク質又は線維状ペプチドとチオフラビンTとを含む試料について蛍光減衰曲線を得る蛍光寿命計測部と、
前記蛍光減衰曲線の関数F(t)に対して、下記数式(1)で表される関数G(t)に基づく4成分以上の指数関数フィッティングを行い、各指数関数成分の蛍光寿命値τ
1
~τ
n
、及び重み因子A
1
~A
n
(但し、nは4以上の自然数)を得る第1の演算部と、
前記蛍光寿命値τ
1
~τ
n
、及び前記重み因子A
1
~A
n
のうちそれぞれの少なくとも1以上の値(但し、チオフラビンTの自家蛍光に由来する指数関数成分における蛍光寿命値及び重み因子を除く)に基づいて、前記線維状タンパク質又は線維状ペプチドの構造多形を識別する第2の演算部とを備える、装置。
TIFF
2025177969000038.tif
20
149
[数式(1)中、nは4以上の自然数を示し、A
i
は各指数関数成分の重み因子を示し、tは時間を表す変数を示し、τ
i
は各指数関数成分の蛍光寿命値を示す。]
【請求項8】
前記指数関数フィッティングが、
前記関数G(t)を下記数式(2)にしたがってコンボリューション積分し、関数I(t)を得ること、及び、
前記関数I(t)と前記蛍光減衰曲線の関数F(t)とを比較し、下記数式(3)におけるχ
2
を最小にする変数の組み合わせを非線形最小二乗法で探索することを含む、請求項7に記載の装置。
TIFF
2025177969000039.tif
22
149
[数式(2)中、E(t)は蛍光寿命測定装置の装置応答関数を示し、Cはバックグラウンドを示し、t及びt’は時間を表す変数を示す。]
TIFF
2025177969000040.tif
24
149
[数式(3)中、t
j
は時間を表す変数を示し、p
1
は解析の開始時間を示し、p
2
は解析の終了時間を示す。]
【請求項9】
前記識別することが、前記蛍光寿命値τ
1
~τ
n
、及び前記重み因子A
1
~A
n
を、異なるアミロイドの構造多形それぞれに対応付けられた蛍光寿命値τ
1
~τ
n
、及び重み因子A
1
~A
n
が格納されたデータベースに照らし合わせて行われる、請求項7に記載の装置。
【請求項10】
前記指数関数フィッティングが、4成分の指数関数フィッティングである、請求項7に記載の装置。
(【請求項11】以降は省略されています)
発明の詳細な説明
【技術分野】
【0001】
本発明は、線維状タンパク質又は線維状ペプチドの構造多形を識別する方法及び装置に関する。
続きを表示(約 3,000 文字)
【背景技術】
【0002】
アミロイドは、ペプチド又はタンパク質の立体構造又は性質等が変化したことにより形成される、線維状の異常凝集体である。また、アミロイド等の線維状タンパク質は、それを形成するタンパク質が同一であってもその線維構造は多様性(構造多形)を有する。体内のタンパク質がアミロイドを形成し臓器に蓄積すると、様々な疾患を引き起こすことが知られており、アミロイドの構造多形により引き起こされる疾患が異なることも知られている。
【0003】
例えば、非特許文献1~3には、アルツハイマー病、ピック病、及び慢性外傷性脳症患者の間で、タウアミロイドの構造が異なることが記載されている。また、例えば、非特許文献4~5には、多系統萎縮症、並びに、レビー小体型認知症及びパーキンソン病患者の間でαシヌクレインアミロイドの構造が異なることが記載されている。
【先行技術文献】
【非特許文献】
【0004】
Fitzpatrick AWP et al., “Cryo-EM structuresof tau filaments from Alzheimer's disease.”, Nature.2017 Jul 13;547(7662):185-190.
Falcon B, et al. “Structures of filaments from Pick's disease reveala novel tau protein fold.” Nature. 2018 Sep;561(7721):137-140.
Falcon B, et al., “Novel tau filament fold in chronic traumatic encephalopathyencloses hydrophobic molecules.” Nature. 2019 Apr;568(7752):420-423.
Schweighauser M, et al., “Structures of α-synuclein filaments frommultiple system atrophy.” Nature. 2020 Sep;585(7825):464-469.
Yang Y, et al., “Structures of α-synuclein filaments from humanbrains with Lewy pathology.” Nature. 2022 Oct;610(7933):791-795.
【発明の概要】
【発明が解決しようとする課題】
【0005】
上述のとおりであるため、アミロイド等の線維状タンパク質の構造多形を識別することについて注目が寄せられている。ここで、非特許文献1~5では、アミロイドの構造多形を識別するにあたり、クライオ電子顕微鏡を使用している。一方、クライオ電子顕微鏡を使用して、アミロイドの構造多形を識別する場合、コストが高く計測時間も長い(1~2か月程度)。また、固体核磁気共鳴法を利用してアミロイドの構造多形を識別することもできるが、この場合もコストが高く計測時間が長い(数週間程度)。
【0006】
本発明は、簡便かつ迅速に、線維状タンパク質又は線維状ペプチドの構造多形を識別できる方法を提供することを目的とする。本発明はまた、当該方法に使用できる装置及びプログラムを提供することも目的とする。
【課題を解決するための手段】
【0007】
本発明者らは、アミロイドβ線維に結合したチオフラビンT(以下、「ThT」とも記載する。)についての蛍光減衰曲線を4つの指数関数成分に分離したところ、そのうちの3つの成分の蛍光寿命値が、それぞれアミロイドβ線維の異なる結合サイトに(結合様式で)結合したThT由来のものであることを見出した。また、上記指数関数成分における重み因子が、上記蛍光寿命値から想定される異なる結合サイトの存在量を示していることを見出した。このことから、蛍光寿命値を各結合サイト別に計測し、重み因子をその結合サイトの存在量別に計測することで、僅かな線維状タンパク質又は線維状ペプチド構造の違いを各蛍光寿命値及び各重み因子の違いとして測定可能であると考えられる。
【0008】
本発明は、線維状タンパク質又は線維状ペプチドの構造多形を識別する方法であり、
線維状タンパク質又は線維状ペプチドとチオフラビンTとを含む試料について蛍光減衰曲線を得る工程、
上記蛍光減衰曲線の関数F(t)に対して、下記数式(1)で表される関数G(t)に基づく4成分以上の指数関数フィッティングを行い、各指数関数成分の蛍光寿命値τ
1
~τ
n
、及び重み因子A
1
~A
n
(但し、nは4以上の自然数)を得る工程、
上記蛍光寿命値τ
1
~τ
n
、及び上記重み因子A
1
~A
n
のうちそれぞれの少なくとも1以上の値(但し、チオフラビンTの自家蛍光に由来する指数関数成分における蛍光寿命値及び重み因子を除く)に基づいて、上記線維状タンパク質又は線維状ペプチドの構造多形を識別する工程を含む、方法に関する。
TIFF
2025177969000001.tif
20
149
[数式(1)中、nは4以上の自然数を示し、A
i
は各指数関数成分の重み因子を示し、tは時間を表す変数を示し、τ
i
は各指数関数成分の蛍光寿命値を示す。]
【0009】
本発明に係る線維状タンパク質又は線維状ペプチドの構造多形を識別する方法は、上記構成を含むため、簡便かつ迅速に、線維状タンパク質又は線維状ペプチドの構造多形を識別できる。
【0010】
上記線維状タンパク質又は線維状ペプチドの構造多形を識別する方法において、上記指数関数フィッティングが、上記関数G(t)を下記数式(2)にしたがってコンボリューション積分し、関数I(t)を得ること、及び、上記関数I(t)と上記蛍光減衰曲線の関数F(t)とを比較し、下記数式(3)におけるχ
2
を最小にする変数の組み合わせを非線形最小二乗法で探索することを含んでいてもよい。その場合、χ
2
は1.2以下であることが望ましい。
TIFF
2025177969000002.tif
22
149
[数式(2)中、E(t)は蛍光寿命測定装置の装置応答関数を示し、Cはバックグラウンドを示し、t及びt’は時間を表す変数を示す。]
TIFF
2025177969000003.tif
24
149
[数式(3)中、t
j
は時間を表す変数を示し、p
1
は解析の開始時間を示し、p
2
は解析の終了時間を示す。]
(【0011】以降は省略されています)
この特許をJ-PlatPat(特許庁公式サイト)で参照する
関連特許
個人
視触覚センサ
1日前
日本精機株式会社
検出装置
1か月前
個人
採尿及び採便具
1か月前
個人
計量機能付き容器
26日前
甲神電機株式会社
電流検出装置
1か月前
株式会社カクマル
境界杭
16日前
日本精機株式会社
発光表示装置
9日前
株式会社ミツトヨ
測定器
1か月前
株式会社トプコン
測量装置
8日前
ユニパルス株式会社
トルク変換器
1日前
ユニパルス株式会社
トルク変換器
1日前
ユニパルス株式会社
トルク変換器
1日前
大成建設株式会社
風洞実験装置
26日前
個人
計量具及び計量機能付き容器
26日前
愛知時計電機株式会社
ガスメータ
1か月前
双庸電子株式会社
誤配線検査装置
1か月前
日本特殊陶業株式会社
ガスセンサ
24日前
日本特殊陶業株式会社
ガスセンサ
8日前
日本特殊陶業株式会社
ガスセンサ
2日前
愛知電機株式会社
軸部材の外観検査装置
1か月前
日本信号株式会社
距離画像センサ
29日前
大和製衡株式会社
組合せ計量装置
1か月前
個人
非接触による電磁パルスの測定方法
29日前
大和製衡株式会社
組合せ計量装置
1か月前
日本特殊陶業株式会社
ガスセンサ
1日前
日本特殊陶業株式会社
センサ
1か月前
日置電機株式会社
絶縁抵抗測定装置
1日前
キーコム株式会社
画像作成システム
16日前
日東精工株式会社
振動波形検査装置
1か月前
株式会社タイガーカワシマ
揚穀装置
8日前
本陣水越株式会社
車載式計測標的物
3日前
株式会社不二越
X線測定装置
29日前
日本特殊陶業株式会社
センサ
10日前
個人
液位検視及び品質監視システム
24日前
株式会社電巧社
試験装置及び試験方法
1か月前
株式会社エルメックス
希釈液収容容器
26日前
続きを見る
他の特許を見る