TOP
|
特許
|
意匠
|
商標
特許ウォッチ
Twitter
他の特許を見る
公開番号
2025176704
公報種別
公開特許公報(A)
公開日
2025-12-04
出願番号
2025083763
出願日
2025-05-20
発明の名称
サイトカイン増強間葉系幹細胞の製造方法
出願人
株式会社カネカ
代理人
弁理士法人平木国際特許事務所
主分類
C12N
5/0775 20100101AFI20251127BHJP(生化学;ビール;酒精;ぶどう酒;酢;微生物学;酵素学;突然変異または遺伝子工学)
要約
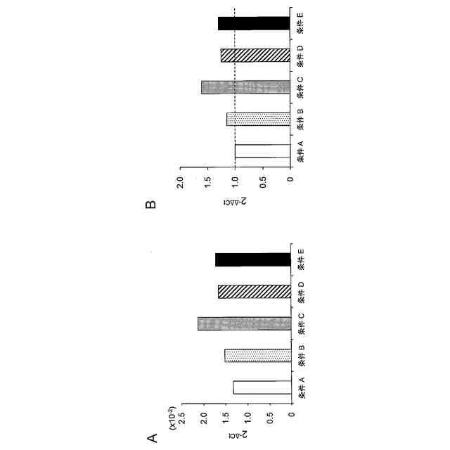
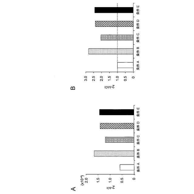
【課題】本発明は、遺伝子改変によらずに間葉系幹細胞の抗炎症作用を増強する方法を提供することを課題とする。
【解決手段】サイトカインをコードする遺伝子の発現が増強された間葉系幹細胞を製造する方法であって、間葉系幹細胞に衝撃波を照射する刺激付与工程を含む方法を提供する。
【選択図】なし
特許請求の範囲
【請求項1】
サイトカインをコードする遺伝子の発現が増強された間葉系幹細胞を製造する方法であって、間葉系幹細胞に衝撃波を照射する刺激付与工程を含む、前記方法。
続きを表示(約 600 文字)
【請求項2】
間葉系幹細胞を培養する培養工程をさらに含む、請求項1に記載の方法。
【請求項3】
前記培養が接着培養である、請求項2に記載の方法。
【請求項4】
前記衝撃波照射の周波数が50Hz以下である、請求項1に記載の方法。
【請求項5】
前記衝撃波の照射回数が5回~3000回の範囲である、請求項1に記載の方法。
【請求項6】
前記刺激付与工程で付与される刺激が合計で1細胞あたり0.005mJ~0.2mJの刺激である、請求項1に記載の方法。
【請求項7】
前記衝撃波の周波数が2Hz~10Hzであり、前記衝撃波の照射回数が100回~600回であり、かつ、前記刺激が合計で1細胞あたり0.015mJ~0.17mJの刺激である、請求項6に記載の方法。
【請求項8】
前記衝撃波の照射回数が400回~600回であり、前記刺激が合計で1細胞あたり0.05mJ~0.1mJの刺激である、請求項7に記載の方法。
【請求項9】
前記サイトカインがTGF-βファミリータンパク質及び/又はインターロイキンを含む、請求項1に記載の方法。
【請求項10】
前記刺激付与工程の後の間葉系幹細胞を回収する回収工程をさらに含む、請求項1に記載の方法。
(【請求項11】以降は省略されています)
発明の詳細な説明
【技術分野】
【0001】
本発明は、サイトカイン増強間葉系幹細胞の製造方法、当該製造方法により製造された細胞及び当該細胞を含む細胞製剤、並びに間葉系幹細胞のサイトカイン増強方法に関する。
続きを表示(約 1,500 文字)
【背景技術】
【0002】
間葉系幹細胞は、骨髄に存在する体性幹細胞として発見された細胞であり、幹細胞として骨、軟骨及び脂肪等の1種以上の間葉系細胞に分化する能力を有する。間葉系幹細胞は、胎盤、臍帯、卵膜等の胎児付属物、脂肪組織等にも存在することが知られ、増殖能、分化能、免疫抑制能、ホーミング能をはじめとするその有用な性質により、細胞治療における有望な細胞ソースとして注目されている。
【0003】
このように利用可能な体性幹細胞が増加したこともあり、近年、再生医療の技術的障壁が低くなりつつある。生きた細胞を患者へ移植して治療を行う細胞移植は、当初、主に血液難病の患者へ造血幹細胞を移植する骨髄移植において利用されていたが、その用途に広がりを見せている。
【0004】
例えば、急性移植片対宿主病(GVHD)や脊髄損傷の患者を対象とした骨髄間葉系細胞製剤が、再生医療等製品として国内で販売されている。また、重篤な疾患の治療用途として、がん免疫細胞療法が広く利用されている。これは、患者の血液から免疫細胞を採取し、がんに対する攻撃性等に基づく選択及び培養を生体外で行い、その後、再び患者体内へ移植することでがんに対する免疫を強化する治療法である。
【0005】
このような重篤な疾患の治療に加えて、最近では、さらにより軽度な疾患及び状態に対する処置、特に整形外科等の領域においても体性幹細胞移植が利用され始めている。具体的には、例えば、障害又は加齢等による関節症において、関節部に間葉系幹細胞を注入することによる疼痛緩和術や関節機能回復術、幹細胞及び/又は幹細胞から分化増殖させた脂肪細胞を注入することによる瘢痕、しわ、及びたるみの改善等に使用されている(特許文献1)。
【0006】
また、整形外科領域では、新たな治療法として体外衝撃波治療が取り入れられている。体外衝撃波は元来、生体外から照射して生体内の腎臓結石等を破壊する治療方法に使用されてきた技術である。現在では、衝撃波照射により組織修復を促すことを利用し、生体外から生体内を治療する技術として、その適用可能範囲を広げつつある。
【先行技術文献】
【特許文献】
【0007】
特許第4749331号公報
【発明の概要】
【発明が解決しようとする課題】
【0008】
間葉系幹細胞は細胞移植において極めて有用な細胞であり、免疫抑制能を有することから、炎症性疾患の治療に効果的であることも知られている。しかしながら、比較的炎症が弱い疾患や症状の軽い患者等では間葉系幹細胞がその効果を発揮しやすいが、炎症が強い疾患や症状の重い患者等では間葉系幹細胞の投与によって対処できないケースもある。
【0009】
強い炎症を伴う疾患や症状の重い患者等の対処する方法の1つとして、遺伝子改変細胞を用いた細胞治療がある。遺伝子改変技術を用いることで、免疫関連遺伝子又は炎症関連遺伝子の発現を人為的に調節でき、強い炎症症状に対処可能な間葉系幹細胞を調製することも可能となる。しかしながら、遺伝子改変細胞の製造には高度な加工技術や専用設備が必要なため、治療費が高額となり、医療経済性の課題がある。
【0010】
したがって、本発明の課題は、遺伝子改変によらずに間葉系幹細胞の抗炎症作用を増強する方法を提供することである。
【課題を解決するための手段】
(【0011】以降は省略されています)
この特許をJ-PlatPat(特許庁公式サイト)で参照する
関連特許
株式会社カネカ
断熱材
29日前
株式会社カネカ
カテーテル
1か月前
株式会社カネカ
カテーテル
1か月前
株式会社カネカ
カテーテル
1か月前
株式会社カネカ
カテーテル
1か月前
株式会社カネカ
カテーテル
1か月前
株式会社カネカ
カテーテル
10日前
株式会社カネカ
カテーテル
10日前
株式会社カネカ
自動植毛装置
17日前
株式会社カネカ
通報システム
29日前
株式会社カネカ
シーリング材
1か月前
株式会社カネカ
重量物載置架台
1か月前
株式会社カネカ
積層体の製造方法
24日前
株式会社カネカ
可塑性油脂組成物
24日前
株式会社カネカ
太陽電池モジュール
1か月前
株式会社カネカ
気化装置及び製膜装置
1か月前
株式会社カネカ
透湿度測定用封止装置
1か月前
株式会社カネカ
自動車用バンパー芯材
1か月前
株式会社カネカ
イチュリン含有組成物
10日前
株式会社カネカ
多加水パン生地用改良剤
1か月前
株式会社カネカ
繊維、及び、繊維構造体
1か月前
株式会社カネカ
多加水パン生地用改良剤
1か月前
株式会社カネカ
冷凍苺及びその製造方法
1か月前
株式会社カネカ
積層体、及びその製造方法
24日前
株式会社カネカ
建材用太陽電池モジュール
1か月前
株式会社カネカ
太陽電池パネルの検査装置
1か月前
株式会社カネカ
熱可塑性フィルムの製造方法
1か月前
株式会社クラレ
樹脂組成物
1か月前
株式会社カネカ
除細動用カテーテルシステム
1か月前
株式会社カネカ
コンクリート塗装用塗料組成物
1か月前
株式会社カネカ
基板カセットおよび基板処理装置
1か月前
株式会社カネカ
塩化ビニル樹脂凝集粒子の製造方法
1か月前
株式会社カネカ
メタクリル樹脂組成物及び樹脂フィルム
1か月前
株式会社カネカ
チルド麺類用油脂組成物及びチルド麺類
1か月前
株式会社カネカ
組織標本作製用の挿入具およびその利用
1か月前
株式会社カネカ
有機エレクトロルミネッセンスデバイス
1か月前
続きを見る
他の特許を見る