TOP
|
特許
|
意匠
|
商標
特許ウォッチ
Twitter
他の特許を見る
10個以上の画像は省略されています。
公開番号
2025176061
公報種別
公開特許公報(A)
公開日
2025-12-03
出願番号
2025140994,2020115593
出願日
2025-08-27,2020-07-03
発明の名称
複数のホスト材料及びそれを含む有機エレクトロルミネセンスデバイス
出願人
デュポン スペシャルティ マテリアルズ コリア リミテッド
,
DUPONT SPECIALTY MATERIALS KOREA LTD.
代理人
弁理士法人センダ国際特許事務所
主分類
H10K
50/12 20230101AFI20251126BHJP()
要約
【課題】複数のホスト材料及びそれを含む有機エレクトロルミネセンスデバイスを提供する。
【解決手段】本開示は、式1によって表される化合物を有する第1のホスト材料と、式2によって表される化合物を有する第2のホスト材料とを含む複数のホスト材料及びそれを含む有機エレクトロルミネセンスデバイスに関する。ホスト材料として本開示の化合物の特定の組合せを含むことにより、従来の有機エレクトロルミネセンスデバイスと比べて同等の又は改良されたレベルの電力効率を有しながら長い寿命特性を有する有機エレクトロルミネセンスデバイスを提供することができる。
【選択図】なし
特許請求の範囲
【請求項1】
第1のホスト材料及び第2のホスト材料を含む複数のホスト材料の混合物であって、前記第1のホスト材料は、下記の1-3:
TIFF
2025176061000068.tif
84
170
(式中、
L
1
~L
3
は、それぞれ独立して、単結合、置換若しくは非置換(C6~C30)アリーレン又は置換若しくは非置換(3~30員)ヘテロアリーレンを表し;
Ar
2
及びAr
3
は、それぞれ独立して、置換若しくは非置換(C1~C30)アルキル、置換若しくは非置換(C6~C30)アリール、置換若しくは非置換(3~30員)ヘテロアリール、置換若しくは非置換(C3~C30)シクロアルキル、置換若しくは非置換(C1~C30)アルコキシ、置換若しくは非置換トリ(C1~C30)アルキルシリル、置換若しくは非置換ジ(C1~C30)アルキル(C6~C30)アリールシリル、置換若しくは非置換(C1~C30)アルキルジ(C6~C30)アリールシリル、置換若しくは非置換トリ(C6~C30)アリールシリル、置換若しくは非置換モノ-若しくはジ-(C1~C30)アルキルアミノ、置換若しくは非置換モノ-若しくはジ-(C6~C30)アリールアミノ又は置換若しくは非置換(C1~C30)アルキル(C6~C30)アリールアミノを表し;
X
1
~X
12
は、それぞれ独立して、N又はCV
1
を表し;
V
1
は、水素、重水素、ハロゲン、シアノ、置換若しくは非置換(C1~C30)アルキル、置換若しくは非置換(C6~C30)アリール、置換若しくは非置換(3~30員)ヘテロアリール、置換若しくは非置換(C3~C30)シクロアルキル、置換若しくは非置換(C1~C30)アルコキシ、置換若しくは非置換トリ(C1~C30)アルキルシリル、置換若しくは非置換ジ(C1~C30)アルキル(C6~C30)アリールシリル、置換若しくは非置換(C1~C30)アルキルジ(C6~C30)アリールシリル、置換若しくは非置換トリ(C6~C30)アリールシリル、置換若しくは非置換モノ-若しくはジ-(C1~C30)アルキルアミノ、置換若しくは非置換モノ-若しくはジ-(C6~C30)アリールアミノ又は置換若しくは非置換(C1~C30)アルキル(C6~C30)アリールアミノを表すか;又は隣接するV
1
の少なくとも2つは、互いに結合されて環を形成することができる)
によって表される化合物を含み;及び
前記第2のホスト材料は、下記の式2-1~2-3:
TIFF
2025176061000069.tif
118
170
(式中、
Y
1
は、O、S、CR
11
R
12
又はNR
13
を表し;
R
11
及びR
12
は、それぞれ独立して、水素、重水素、ハロゲン、シアノ、置換若しくは非置換(C1~C30)アルキル、置換若しくは非置換(C3~C30)シクロアルキル、置換若しくは非置換(C3~C30)シクロアルケニル、置換若しくは非置換(3~7員)ヘテロシクロアルキル、置換若しくは非置換(C6~C30)アリール又は置換若しくは非置換(3~30員)ヘテロアリールを表すか;又はR
11
及びR
12
は、互いに結合されてスピロ環を形成することができ;
R
13
は、それぞれ独立して、-L-(Ar)
d
、水素、重水素、ハロゲン、シアノ、置換若しくは非置換(C1~C30)アルキル、置換若しくは非置換(C3~C30)シクロアルキル、置換若しくは非置換(C3~C30)シクロアルケニル、置換若しくは非置換(3~7員)ヘテロシクロアルキル、置換若しくは非置換(C6~C30)アリール又は置換若しくは非置換(3~30員)ヘテロアリールを表し;
Lは、単結合、置換若しくは非置換(C6~C30)アリーレン又は置換若しくは非置換(3~30員)ヘテロアリーレンを表し;
Arは、それぞれ独立して、置換又は非置換窒素含有(3~30員)ヘテロアリールを表し;
R
1
~R
3
は、それぞれ独立して、水素、重水素、ハロゲン、シアノ、置換若しくは非置換(C1~C30)アルキル、置換若しくは非置換(C6~C30)アリール、置換若しくは非置換(3~30員)ヘテロアリール、置換若しくは非置換トリ(C1~C30)アルキルシリル、置換若しくは非置換ジ(C1~C30)アルキル(C6~C30)アリールシリル、置換若しくは非置換(C1~C30)アルキルジ(C6~C30)アリールシリル、置換若しくは非置換トリ(C6~C30)アリールシリル、置換若しくは非置換モノ-若しくはジ-(C1~C30)アルキルアミノ、置換若しくは非置換モノ-若しくはジ-(C6~C30)アリールアミノ又は置換若しくは非置換(C1~C30)アルキル(C6~C30)アリールアミノを表し;
a及びdは、それぞれ独立して、1~4の整数を表し;a及びdがそれぞれ独立して2以上の整数である場合、R
1
のそれぞれ、及びArのそれぞれは、同じであるか又は異なり得;
bは、独立して、1又は2の整数を表し;bが2の整数である場合、R
2
のそれぞれは、同一であるか又は異なり得;及び
fは、1~3の整数を表し、fが2以上の整数を表す場合、R
3
のそれぞれは、同一であるか又は異なり得る)
の少なくとも1つによって表される化合物を含む、複数のホスト材料の混合物。
続きを表示(約 2,100 文字)
【請求項2】
前記置換アルキル、前記置換アリール、前記置換アリーレン、前記置換ヘテロアリール、前記置換ヘテロアリーレン、前記置換シクロアルキル、前記置換シクロアルケニル、前記置換ヘテロシクロアルキル、前記置換アルコキシ、前記置換トリアルキルシリル、前記置換ジアルキルアリールシリル、前記置換アルキルジアリールシリル、前記置換トリアリールシリル、前記置換モノ-又はジ-アルキルアミノ、前記置換モノ-又はジ-アリールアミノ及び前記置換アルキルアリールアミノの置換基は、それぞれ独立して、重水素;ハロゲン;シアノ;カルボキシル;ニトロ;ヒドロキシル;(C1~C30)アルキル;ハロ(C1~C30)アルキル;(C2~C30)アルケニル;(C2~C30)アルキニル;(C1~C30)アルコキシ;(C1~C30)アルキルチオ;(C3~C30)シクロアルキル;(C3~C30)シクロアルケニル;(3~7員)ヘテロシクロアルキル;(C6~C30)アリールオキシ;(C6~C30)アリールチオ;非置換の又は(C6~C30)アリールで置換された(3~30員)ヘテロアリール;非置換の又は(C1~C30)アルキル及び(3~30員)ヘテロアリールの少なくとも1つで置換された(C6~C30)アリール;トリ(C1~C30)アルキルシリル;トリ(C6~C30)アリールシリル;ジ(C1~C30)アルキル(C6~C30)アリールシリル;(C1~C30)アルキルジ(C6~C30)アリールシリル;アミノ;モノ-又はジ-(C1~C30)アルキルアミノ;モノ-又はジ-(C6~C30)アリールアミノ;(C1~C30)アルキル(C6~C30)アリールアミノ;(C1~C30)アルキルカルボニル;(C1~C30)アルコキシカルボニル;(C6~C30)アリールカルボニル;ジ(C6~C30)アリールボロニル;ジ(C1~C30)アルキルボロニル;(C1~C30)アルキル(C6~C30)アリールボロニル;(C6~C30)アリール(C1~C30)アルキル;及び(C1~C30)アルキル(C6~C30)アリールからなる群から選択される少なくとも1つである、請求項1に記載の複数のホスト材料の混合物。
【請求項3】
前記式1-3によって表される前記化合物は、下記の化合物:
TIFF
2025176061000070.tif
173
170
からなる群から選択される少なくとも1つである、請求項1に記載の複数のホスト材料の混合物。
【請求項4】
前記式2-1~2-3の少なくとも1つによって表される前記化合物は、下記の化合物:
TIFF
2025176061000071.tif
203
170
TIFF
2025176061000072.tif
192
170
TIFF
2025176061000073.tif
203
170
TIFF
2025176061000074.tif
198
170
TIFF
2025176061000075.tif
210
170
TIFF
2025176061000076.tif
195
170
TIFF
2025176061000077.tif
191
170
TIFF
2025176061000078.tif
193
170
TIFF
2025176061000079.tif
184
170
TIFF
2025176061000080.tif
196
170
TIFF
2025176061000081.tif
170
170
TIFF
2025176061000082.tif
209
170
TIFF
2025176061000083.tif
195
170
TIFF
2025176061000084.tif
186
170
TIFF
2025176061000085.tif
177
170
TIFF
2025176061000086.tif
149
170
TIFF
2025176061000087.tif
114
170
からなる群から選択される少なくとも1つである、請求項1に記載の複数のホスト材料の混合物。
【請求項5】
アノードと、カソードと、前記アノードと前記カソードとの間の少なくとも1つの発光層とを含む有機エレクトロルミネセンスデバイスであって、前記発光層の少なくとも1つの層は、請求項1に記載の複数のホスト材料の混合物を含む、有機エレクトロルミネセンスデバイス。
発明の詳細な説明
【技術分野】
【0001】
本開示は、特定の化合物の組合せを含む複数のホスト材料及びそれを含む有機エレクトロルミネセンスデバイスに関する。
続きを表示(約 4,500 文字)
【背景技術】
【0002】
エレクトロルミネセンスデバイス(ELデバイス)は、より広い視野角、より大きいコントラスト比及びより速い応答時間を提供するという利点を有する自発光ディスプレイデバイスである。1987年、Eastman Kodakにより、発光層を形成するための材料として小さい芳香族ジアミン分子とアルミニウム錯体とを使用することによって最初の有機ELデバイスが開発された((非特許文献1)を参照されたい)。
【0003】
有機エレクトロルミネセンスデバイス(OLED)は、有機エレクトロルミネセンス材料に電気を印加することによって電気エネルギーを光に変換し、通常、アノード、カソード及び2つの電極間に形成された有機層を含む。OLEDの有機層は、正孔注入層、正孔輸送層、正孔補助層、発光補助層、電子阻止層、発光層、電子緩衝層、正孔阻止層、電子輸送層、電子注入層等を含み得る。有機層において使用される材料は、それらの機能に応じて、正孔注入材料、正孔輸送材料、正孔補助材料、発光補助材料、電子阻止材料、発光材料(ホスト材料及びドーパント材料を含有する)、電子緩衝材料、正孔阻止材料、電子輸送材料、電子注入材料等に分類され得る。OLEDでは、電圧の印加により、アノードからの正孔とカソードからの電子とが発光層に注入され、正孔と電子との再結合により、高エネルギーを有する励起子が生成される。有機発光化合物は、有機発光化合物が励起状態から基底状態に戻るときのエネルギーによって励起状態に移行し、発光する。
【0004】
OLEDにおける発光効率を決定する最も重要な要因は、発光材料である。発光材料は、以下の特徴:高い量子効率、電子及び正孔の高い移動度並びに形成された発光材料層の均一性及び安定性を有することが必要とされる。発光材料は、発光色によって青色、緑色及び赤色発光材料に分類され、黄色又は橙色発光材料を更に含む。更に、発光材料は、機能面でホスト材料とドーパント材料とに分類される。近年、緊急の課題は、高効率及び長寿命を有するOLEDの開発である。特に、中型及び大型のOLEDパネルに必要なEL特性を考慮すると、従来の材料を凌ぐ非常に優れた発光材料の開発が緊急に必要とされている。このために、好ましくは、固体状態での溶媒及びエネルギー伝達物質として、ホスト材料は、真空下で蒸着されるために高純度及び好適な分子量を有するべきである。更に、ホスト材料は、熱安定性を達成するための高いガラス転移温度及び熱分解温度、長い寿命を達成するための高い電気化学的安定性、非晶質薄膜の容易な成形性、隣接層との良好な接着性を有すること並びに層間移動がないことが必要とされる。
【0005】
現在、パネルを実現する際に優れた発光効率を提供するリン光性物質が有機エレクトロルミネセンスデバイスにおいて主に使用される。TV及び照明などの多くの用途において、OLED寿命は、不十分であり、OLEDの高い効率が依然として必要とされる。典型的に、OLEDの輝度が高くなるほど、OLEDの寿命がより短くなる。このように、高い発光効率及び長い寿命を示す新規なルミネセント材料が、ディスプレイの高い解像度を維持しながら長時間使用のために必要とされる。
【先行技術文献】
【特許文献】
【0006】
韓国特許出願公開第2013-0106255A号明細書
韓国特許出願公開第2012-0042633A号明細書
韓国特許出願公開第2018-0099510A号明細書
韓国特許出願公開第2018-0012709A号明細書
【非特許文献】
【0007】
Appl.Phys.Lett.51、913、1987
【発明の概要】
【発明が解決しようとする課題】
【0008】
本開示の目的は、従来の有機エレクトロルミネセンスデバイスと比べて同等の又は改良されたレベルの電力効率を有しながら長い寿命特性を有する有機エレクトロルミネセンスデバイスを提供し得る改良されたホスト材料を提供することである。
【課題を解決するための手段】
【0009】
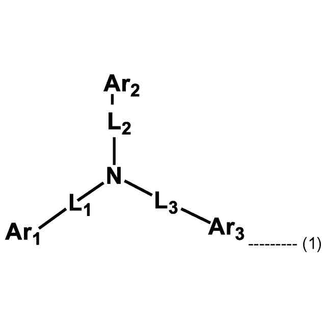
本発明者らは、上記の目的が、第1のホスト材料及び第2のホスト材料を含む複数のホスト材料によって達成され得ることを見出し、ここで、第1のホスト材料は、下記の式1:
TIFF
2025176061000001.tif
46
170
(式中、
L
1
~L
3
は、それぞれ独立して、単結合、置換若しくは非置換(C6~C30)アリーレン又は置換若しくは非置換(3~30員)ヘテロアリーレンを表し;
Ar
1
は、置換又は非置換窒素含有(3~30員)ヘテロアリールを表し;
Ar
2
及びAr
3
は、それぞれ独立して、置換若しくは非置換(C1~C30)アルキル、置換若しくは非置換(C6~C30)アリール、置換若しくは非置換(3~30員)ヘテロアリール、置換若しくは非置換(C3~C30)シクロアルキル、置換若しくは非置換(C1~C30)アルコキシ、置換若しくは非置換トリ(C1~C30)アルキルシリル、置換若しくは非置換ジ(C1~C30)アルキル(C6~C30)アリールシリル、置換若しくは非置換(C1~C30)アルキルジ(C6~C30)アリールシリル、置換若しくは非置換トリ(C6~C30)アリールシリル、置換若しくは非置換モノ-若しくはジ-(C1~C30)アルキルアミノ、置換若しくは非置換モノ-若しくはジ-(C6~C30)アリールアミノ又は置換若しくは非置換(C1~C30)アルキル(C6~C30)アリールアミノを表す)
によって表される少なくとも1つの化合物を含み、
第2のホスト材料は、下記の式2:
TIFF
2025176061000002.tif
30
170
(式中、
Y
1
は、O、S、CR
11
R
12
又はNR
13
を表し;
R
11
及びR
12
は、それぞれ独立して、水素、重水素、ハロゲン、シアノ、置換若しくは非置換(C1~C30)アルキル、置換若しくは非置換(C3~C30)シクロアルキル、置換若しくは非置換(C3~C30)シクロアルケニル、置換若しくは非置換(3~7員)ヘテロシクロアルキル、置換若しくは非置換(C6~C30)アリール又は置換若しくは非置換(3~30員)ヘテロアリールを表すか;又はR
11
及びR
12
は、互いに結合されてスピロ環を形成することができ;
R
13
は、それぞれ独立して、-L-(Ar)
d
、水素、重水素、ハロゲン、シアノ、置換若しくは非置換(C1~C30)アルキル、置換若しくは非置換(C3~C30)シクロアルキル、置換若しくは非置換(C3~C30)シクロアルケニル、置換若しくは非置換(3~7員)ヘテロシクロアルキル、置換若しくは非置換(C6~C30)アリール又は置換若しくは非置換(3~30員)ヘテロアリールを表し;
R
1
は、それぞれ独立して、-L-(Ar)
d
、水素、重水素、ハロゲン、シアノ、置換若しくは非置換(C1~C30)アルキル、置換若しくは非置換(C6~C30)アリール、置換若しくは非置換(3~30員)ヘテロアリール、置換若しくは非置換トリ(C1~C30)アルキルシリル、置換若しくは非置換ジ(C1~C30)アルキル(C6~C30)アリールシリル、置換若しくは非置換(C1~C30)アルキルジ(C6~C30)アリールシリル、置換若しくは非置換トリ(C6~C30)アリールシリル、置換若しくは非置換モノ-若しくはジ-(C1~C30)アルキルアミノ、置換若しくは非置換モノ-若しくはジ-(C6~C30)アリールアミノ又は置換若しくは非置換(C1~C30)アルキル(C6~C30)アリールアミノを表すか;又は隣接するR
1
の少なくとも2つは、互いに結合されて環を形成することができ;
R
2
及びR
3
は、それぞれ独立して、L-(Ar)
d
、水素、重水素、ハロゲン、シアノ、置換若しくは非置換(C1~C30)アルキル、置換若しくは非置換(C6~C30)アリール、置換若しくは非置換(3~30員)ヘテロアリール、置換若しくは非置換トリ(C1~C30)アルキルシリル、置換若しくは非置換ジ(C1~C30)アルキル(C6~C30)アリールシリル、置換若しくは非置換(C1~C30)アルキルジ(C6~C30)アリールシリル、置換若しくは非置換トリ(C6~C30)アリールシリル、置換若しくは非置換モノ-若しくはジ-(C1~C30)アルキルアミノ、置換若しくは非置換モノ-若しくはジ-(C6~C30)アリールアミノ又は置換若しくは非置換(C1~C30)アルキル(C6~C30)アリールアミノを表すが;
但し、R
13
、R
1
、R
2
及びR
3
の少なくとも1つは、-L-(Ar)
d
を表し;
Lは、単結合、置換若しくは非置換(C6~C30)アリーレン又は置換若しくは非置換(3~30員)ヘテロアリーレンを表し;
Arは、それぞれ独立して、置換又は非置換窒素含有(3~30員)ヘテロアリールを表し;
a、c及びdは、それぞれ独立して、1~4の整数を表し;a、c及びdがそれぞれ独立して2以上の整数である場合、R
1
のそれぞれ、R
3
のそれぞれ及びArのそれぞれは、同じであるか又は異なり得;及び
bは、独立して、1又は2の整数を表し;bが2の整数である場合、R
2
のそれぞれは、同一であるか又は異なり得る)
によって表される少なくとも1つの化合物を含む。
【0010】
発明の有利な効果
ホスト材料として本開示の化合物の特定の組合せを含むことにより、従来の有機エレクトロルミネセンスデバイスと比べて同等の又は改良されたレベルの電力効率を有しながら長い寿命特性を有する有機エレクトロルミネセンスデバイスを提供し、且つそれを使用するディスプレイ装置又は照明装置を製造することができる。
【発明を実施するための形態】
(【0011】以降は省略されています)
この特許をJ-PlatPat(特許庁公式サイト)で参照する
関連特許
個人
積和演算用集積回路
27日前
サンケン電気株式会社
半導体装置
26日前
日機装株式会社
半導体発光装置
21日前
旭化成株式会社
発光素子
1か月前
エイブリック株式会社
縦型ホール素子
1か月前
エイブリック株式会社
縦型ホール素子
1か月前
ローム株式会社
抵抗チップ
1か月前
ローム株式会社
半導体装置
5日前
株式会社東芝
半導体装置
13日前
富士電機株式会社
半導体装置
1か月前
株式会社半導体エネルギー研究所
表示装置
1か月前
三菱電機株式会社
半導体装置
1か月前
三菱電機株式会社
半導体装置
今日
株式会社半導体エネルギー研究所
表示装置
5日前
三菱電機株式会社
半導体装置
13日前
日亜化学工業株式会社
発光装置
1か月前
ローム株式会社
半導体集積回路
1か月前
日亜化学工業株式会社
発光装置
1か月前
サンケン電気株式会社
半導体装置
13日前
富士電機株式会社
半導体装置の製造方法
1か月前
株式会社半導体エネルギー研究所
発光デバイス
21日前
ローム株式会社
半導体装置
1か月前
ローム株式会社
半導体装置
26日前
ローム株式会社
半導体装置
1か月前
ローム株式会社
窒化物半導体装置
1か月前
株式会社半導体エネルギー研究所
発光デバイス
1か月前
ローム株式会社
窒化物半導体装置
1か月前
大日本印刷株式会社
太陽電池
1か月前
株式会社カネカ
太陽電池モジュール
1か月前
日亜化学工業株式会社
発光素子
26日前
サンケン電気株式会社
発光装置
1か月前
株式会社MARUWA
発光装置及び照明器具
1か月前
ローム株式会社
半導体装置
13日前
今泉工業株式会社
光発電装置及びその製造方法
1か月前
日亜化学工業株式会社
発光素子
26日前
日亜化学工業株式会社
発光装置
28日前
続きを見る
他の特許を見る