TOP
|
特許
|
意匠
|
商標
特許ウォッチ
Twitter
他の特許を見る
10個以上の画像は省略されています。
公開番号
2025175311
公報種別
公開特許公報(A)
公開日
2025-12-03
出願番号
2022170124
出願日
2022-10-24
発明の名称
(メタ)アクリレート化合物
出願人
株式会社日本触媒
代理人
主分類
C07C
69/653 20060101AFI20251126BHJP(有機化学)
要約
【課題】 新規な化合物、其の製法又は用途等を提供することが課題である。
【解決手段】所定の2-[(1-メチルアルキル)オキシ]エチル(メタ)アクリレートを提供することによって本課題を解決した。当該(メタ)アクリレートは触媒の存在下で2-[(1-メチルアルキル)オキシ]エタノール等の原料を用いてエステル化やエステル交換の反応によって製造することが可能である。当該(メタ)アクリレートは撥水・撥油剤の成分として使用することが考えられる。
【選択図】図1
特許請求の範囲
【請求項1】
下記一般式(1)で表される(メタ)アクリレート。
TIFF
2025175311000008.tif
45
135
(式中、Rは、水素原子又はメチル基、nは4~20を示す。)
続きを表示(約 950 文字)
【請求項2】
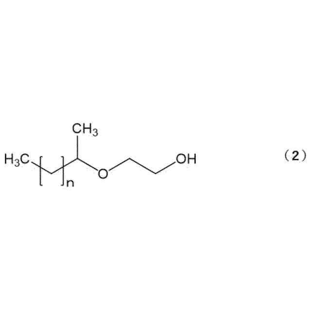
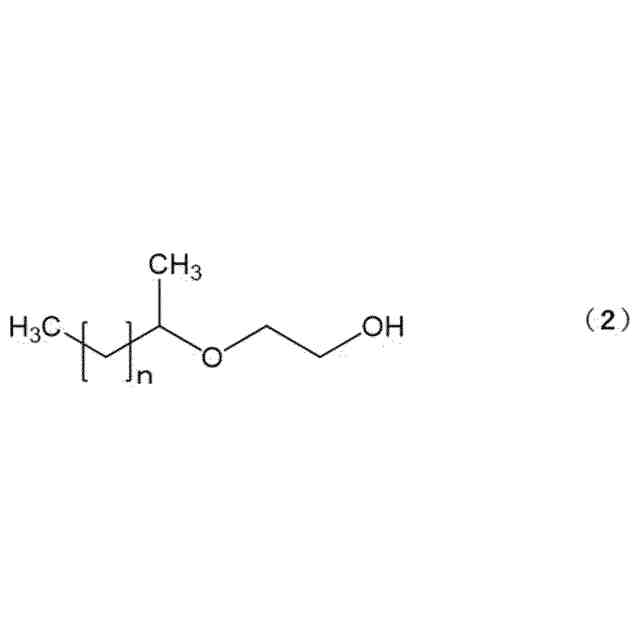
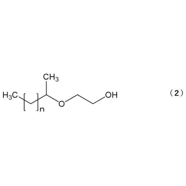
下記一般式(2)で表されるアルコールと(メタ)アクリル酸とをエステル化触媒の存在下でエステル化する、請求項1に記載の(メタ)アクリレートの製造方法であり、上記エステル化の前処理として、当該アルコール化合物と重合禁止剤の混合物について加熱処理を行うことを特徴とする、当該(メタ)アクリレートの製造方法。
TIFF
2025175311000009.tif
46
135
(式中、nは4~20を示す。)
【請求項3】
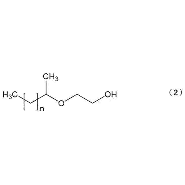
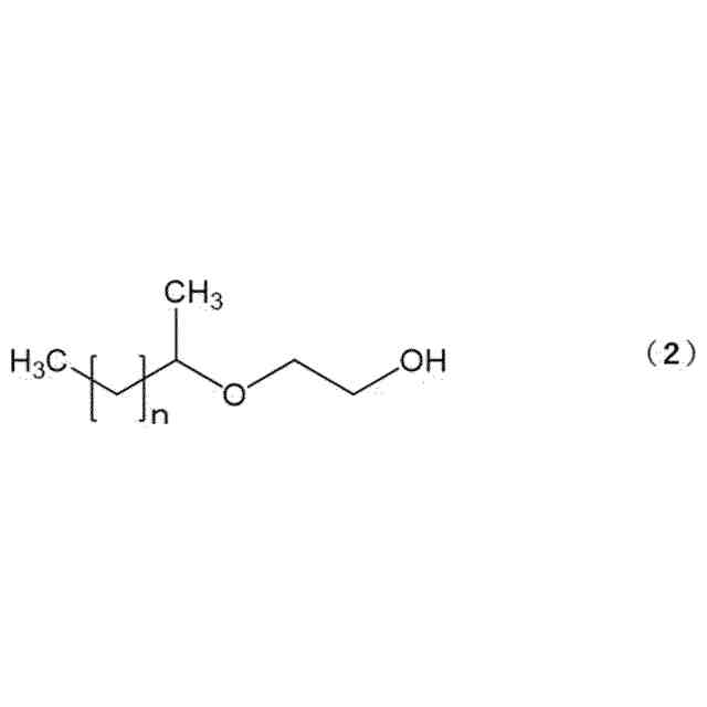
下記一般式(2)で表されるアルコールとアルキル(メタ)アクリレートとをエステル交換触媒の存在下でエステル交換する、請求項1に記載の(メタ)アクリレートの製造方法であり、上記エステル化の前処理として、当該アルコール化合物と重合禁止剤の混合物について加熱処理を行うことを特徴とする、当該(メタ)アクリレートの製造方法。
TIFF
2025175311000010.tif
46
135
(式中、nは4~20を示す。)
【請求項4】
上記加熱処理は、キノン系重合禁止剤、アルキルフェノール系重合禁止剤、アミン系重合禁止剤、N-オキシル系重合禁止剤、フェノチアジンから選ばれる少なくとも1種以上の重合禁止剤を用いて25℃~100℃の範囲内の温度で10分から120時間行うことを特徴とする、請求項2又は3に記載の製造方法。
【請求項5】
上記重合禁止剤の量は、上記一般式(2)で表されるアルコール100重量%に対して、10重量ppm~10重量%の範囲内にあることを特徴とする、請求項2又は3に記載の製造方法。
【請求項6】
請求項1に記載の(メタ)アクリレートを含む、組成物。
【請求項7】
請求項1に記載の(メタ)アクリレート由来の構造単位を含むポリマー。
【請求項8】
請求項7に記載のポリマーを含有する、撥水・撥油剤。
【請求項9】
請求項7に記載のポリマーを基材上に塗布した後、当該ポリマー間に架橋を導入してコーティング層を形成し、当該基材に撥水・撥油性を付与する方法。
発明の詳細な説明
【技術分野】
【0001】
本発明は、所定の(メタ)アクリレート化合物、に関する。
続きを表示(約 1,300 文字)
【背景技術】
【0002】
高級脂肪族2級アルコールのアルキレンオキサイド付加物からなる界面活性剤についてフッ素系撥水撥油剤が水に分散されてなる水分散型フッ素系撥水撥油剤組成物が下記の特許文献1)で紹介されている。
【0003】
高級脂肪族2級アルコールのアルキレンオキサイド付加物からなる界面活性剤についてフッ素系撥水撥油剤が水に分散されてなる水分散型フッ素系撥水撥油剤組成物が下記の特許文献1で紹介されている。
【先行技術文献】
【特許文献】
【0004】
特開平6-33043号公報
特開平08-071429
特開2002-326974
特開2002-201463
【発明の概要】
【発明が解決しようとする課題】
【0005】
撥水・撥油剤の組成物の成分として長鎖アルキル(メタ)アクリレートを使用することは公知である。長鎖アルキルアクリレートは融点を持っており、アルキルの炭素数が12のアクリレートは約4℃、同様に炭素数14のアクリレートは約14℃、炭素数16のアクリレートは約17℃、炭素数18のアクリレートは約28℃である。従って、外気温により結晶が析出することになり、例えばドラム缶に充填された製品を取り出す際は、融点以上の温度で加熱する必要が有るが、融点よりも高い温度で加熱すると、この製品は重合性基を持っており、加熱により重合が開始されるとドラム内が発熱し、爆発に至る危険性もある。このことから、融点よりも20℃~30℃程度高温にしてゆっくりと時間をかけて溶解させるため取り扱いが煩雑である。
【課題を解決するための手段】
【0006】
本発明者は、鋭意検討した結果、長鎖アルキル(メタ)アクリレートに類似した構造を持ちながら、その融点を低下させることにより取扱いが容易になる化合物を見出した。新規な化合物及び其の製法等を見出した。本発明者はその知見に基づいて、本発明を完成するに至った。
【発明の効果】
【0007】
新規な化合物、其の製法又は用途等を提供した。
【図面の簡単な説明】
【0008】
図1は実施例1の2-[(1-メチルウンデシル)オキシ]エチル(メタ)アクリレートについてH-NMRを行って得られたチャートである。
【発明を実施するための形態】
【0009】
(定義)
「(メタ)アクリル」は「アクリルまたはメタクリル」を意味する。「(メタ)アクリレート」は「アクリレートまたはメタクリレート」を意味する。本明細書中の「単量体に由来する構造単位」とは、単量体が重合して形成される構造単位の意味であり、より詳細には、単量体が有する炭素-炭素二重結合が開裂して形成される構造を意味している。
【0010】
(本発明の例示)
本発明の好ましい構成は以下の(1)~(8)等において記述されるものである。
(1)下記一般式(1)で表される(メタ)アクリレート。
(【0011】以降は省略されています)
この特許をJ-PlatPat(特許庁公式サイト)で参照する
関連特許
株式会社日本触媒
ドロー溶質
1か月前
株式会社日本触媒
粘着剤組成物
1か月前
株式会社日本触媒
水分散体組成物
1か月前
株式会社日本触媒
防錆塗料用組成物
2か月前
株式会社日本触媒
スフェロイドの輸送方法
2か月前
株式会社日本触媒
スフェロイドの輸送方法
2か月前
株式会社日本触媒
(メタ)アクリレート化合物
今日
株式会社日本触媒
ドロー溶質、ドロー溶液及び水処理方法
1か月前
株式会社日本触媒
光学フィルム及びフレキシブルディスプレイ
26日前
株式会社日本触媒
二液型硬化性組成物
1か月前
株式会社日本触媒
重合体、感光性樹脂組成物、硬化物、表示装置用部材、及び表示装置
2か月前
株式会社日本触媒
記録物の製造方法及び転写物の製造方法、並びにインクジェットインク
27日前
コニシ株式会社
酢酸ビニル系ポリマーを主体とする水性エマルジョン接着剤
27日前
クミアイ化学工業株式会社
多形
1か月前
東ソー株式会社
タンパク質の発現方法
2か月前
株式会社トクヤマ
四塩化炭素の製造方法
4か月前
東ソー株式会社
炭素-窒素結合形成方法
4か月前
株式会社トクヤマ
シロキサン類の回収方法
4か月前
株式会社半導体エネルギー研究所
有機化合物
1か月前
株式会社トクヤマ
ビオチン誘導体の製造方法
4か月前
株式会社半導体エネルギー研究所
有機化合物
3か月前
株式会社日本触媒
(メタ)アクリレート化合物
今日
栗田工業株式会社
ギ酸の回収方法
1か月前
東ソー株式会社
イソシアネート化合物の製造方法
3か月前
株式会社トクヤマ
ホルムアミド化合物の製造方法
3か月前
株式会社コスモス
液状炭化水素の増産方法
3か月前
株式会社コスモス
液状炭化水素の増産方法
3か月前
株式会社トクヤマ
チオラクトン誘導体の製造方法
2か月前
株式会社トクヤマ
ベンザゼピン化合物の製造方法
3か月前
株式会社トクヤマ
チオファニウム塩誘導体の製造方法
1か月前
信越化学工業株式会社
新規化合物
4か月前
artience株式会社
四塩基酸無水物の製造方法
5か月前
株式会社トクヤマ
チオファニウム塩臭化物の製造方法
13日前
日産化学株式会社
ピラゾール化合物及び有害生物防除剤
4か月前
日産化学株式会社
ピラゾール化合物及び有害生物防除剤
5か月前
本田技研工業株式会社
CO2変換方法
2か月前
続きを見る
他の特許を見る