TOP
|
特許
|
意匠
|
商標
特許ウォッチ
Twitter
他の特許を見る
公開番号
2025140760
公報種別
公開特許公報(A)
公開日
2025-09-29
出願番号
2024040330
出願日
2024-03-14
発明の名称
重合体、感光性樹脂組成物、硬化物、表示装置用部材、及び表示装置
出願人
株式会社日本触媒
代理人
弁理士法人WisePlus
主分類
C08F
220/10 20060101AFI20250919BHJP(有機高分子化合物;その製造または化学的加工;それに基づく組成物)
要約
【課題】現像性に優れ、かつ耐熱性に優れた硬化物を与えることができる重合体、及び該重合体を含む感光性樹脂組成物を提供する。
【解決手段】重合体であって、該重合体は、下記一般式(1)で表される構成単位を該重合体の全構成単位100質量%に対して0.5~5.0質量%有し、重量平均分子量が20000以下であり、分子量分布が2.0~3.0であり、側鎖に重合性二重結合を有することを特徴とする重合体。
<com:Image com:imageContentCategory="Drawing"> <com:ImageFormatCategory>TIFF</com:ImageFormatCategory> <com:FileName>2025140760000006.tif</com:FileName> <com:HeightMeasure com:measureUnitCode="Mm">41</com:HeightMeasure> <com:WidthMeasure com:measureUnitCode="Mm">156</com:WidthMeasure> </com:Image>
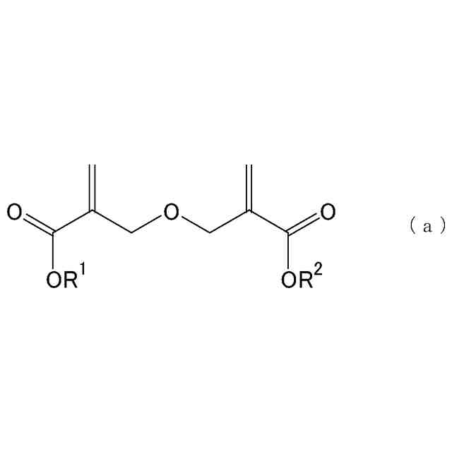
(式中、R
1
及びR
2
は、同一又は異なって、水素原子又は置換基を有していてもよい炭素数1~25の炭化水素基を表す。)
【選択図】なし
特許請求の範囲
【請求項1】
重合体であって、
該重合体は、下記一般式(1)で表される構成単位を該重合体の全構成単位100質量%に対して0.5~5.0質量%有し、
重量平均分子量が20000以下であり、分子量分布が2.0~3.0であり、
側鎖に重合性二重結合を有する
ことを特徴とする重合体。
TIFF
2025140760000005.tif
41
156
(式中、R
1
及びR
2
は、同一又は異なって、水素原子又は置換基を有していてもよい炭素数1~25の炭化水素基を表す。)
続きを表示(約 320 文字)
【請求項2】
前記重合体の酸価が20mgKOH/g以上であることを特徴とする請求項1に記載の重合体。
【請求項3】
前記重合体の重合性二重結合当量が380~5000g/当量であることを特徴とする請求項1に記載の重合体。
【請求項4】
請求項1に記載の重合体、重合性化合物、及び、光重合開始剤を含むことを特徴とする感光性樹脂組成物。
【請求項5】
請求項4に記載の感光性樹脂組成物を硬化してなる硬化物。
【請求項6】
基材上に請求項5の硬化物を有することを特徴とする表示装置用部材。
【請求項7】
請求項5に記載の硬化物を有することを特徴とする表示装置。
発明の詳細な説明
【技術分野】
【0001】
本発明は、重合体、感光性樹脂組成物、硬化物、表示装置用部材、及び表示装置に関する。詳しくは、現像性に優れ、耐熱性にも優れた硬化物を与えることができる重合体、感光性樹脂組成物と、硬化物、表示装置用部材、及び表示装置に関する。
続きを表示(約 1,300 文字)
【背景技術】
【0002】
熱や活性エネルギー線によって硬化しうる重合体は、その重合体が有する特性に応じて種々の用途に適用されている。そのような用途の例として、例えば、液晶表示装置や固体撮像素子等に用いられるカラーフィルター、インキ、印刷版、プリント配線板、半導体素子、フォトレジスト等の、各種の光学部材や電機・電子機器等の各種用途が挙げられる。
【0003】
近年では、光学部材や電機・電子機器等の小型化・薄型化・省エネルギー化が進みつつあり、それに伴って、使用される各種部材等にはより高品位な性能が要望されている。そのような要望に応えるため、各種特性により一層優れた重合体について研究が行われている。
【0004】
各種特性に優れた重合体又は重合体組成物として、様々なものが知られている。例えば、耐熱性と透明性に優れた塗膜を形成しうる硬化性樹脂組成物として、エーテルダイマーを含む単量体成分を重合してなるポリマーと、多官能(メタ)アクリレート及び/又はエポキシ基を有する化合物からなる硬化成分とを含む硬化性樹脂組成物が知られている(特許文献1)。また、2-(ヒドロキシアルキル)アクリル酸エステルのエーテルダイマーである特定の単量体と、カルボキシル基を含有する不飽和単量体と、水酸基を含有する不飽和単量体を単量体成分として共重合してなる重合体が提案されている(特許文献2)。
【先行技術文献】
【特許文献】
【0005】
特開2004-300204号公報
特開2012-82317号公報
【発明の概要】
【発明が解決しようとする課題】
【0006】
しかしながら、エーテルダイマーをラジカル重合により環化重合して得られる重合体は、耐熱性に優れるものの、現像速度が比較的遅く、現像性が劣るという問題があった。
【0007】
本発明は、上記現状に鑑みて、現像性に優れ、かつ耐熱性に優れた硬化物を与えることができる重合体、及び該重合体を含む感光性樹脂組成物を提供することを目的とする。
【課題を解決するための手段】
【0008】
本発明者は、上記課題を解決すべく、感光性樹脂組成物に使用される重合体について種々検討したところ、特定の環構造を有する構成単位を特定範囲の割合で有し、重量平均分子量と分子量分布を特定範囲とし、側鎖に重合性二重結合を有することにより、現像性に優れ、かつ耐熱性に優れた硬化物を与えることができることを見出し、本発明を完成するに至った。
【0009】
すなわち、本発明は下記の態様を含む。
<1>重合体であって、該重合体は、下記一般式(1)で表される構成単位を該重合体の全構成単位100質量%に対して0.5~5.0質量%有し、重量平均分子量が20000以下であり、分子量分布が2.0~3.0であり、側鎖に重合性二重結合を有することを特徴とする重合体。
【0010】
TIFF
2025140760000001.tif
41
156
(【0011】以降は省略されています)
この特許をJ-PlatPat(特許庁公式サイト)で参照する
関連特許
株式会社日本触媒
ドロー溶質
1か月前
株式会社日本触媒
粘着剤組成物
1か月前
株式会社日本触媒
水分散体組成物
1か月前
株式会社日本触媒
防錆塗料用組成物
2か月前
株式会社日本触媒
スフェロイドの輸送方法
2か月前
株式会社日本触媒
スフェロイドの輸送方法
2か月前
株式会社日本触媒
(メタ)アクリレート化合物
今日
株式会社日本触媒
ドロー溶質、ドロー溶液及び水処理方法
1か月前
株式会社日本触媒
光学フィルム及びフレキシブルディスプレイ
26日前
株式会社日本触媒
二液型硬化性組成物
1か月前
株式会社日本触媒
重合体、感光性樹脂組成物、硬化物、表示装置用部材、及び表示装置
2か月前
株式会社日本触媒
記録物の製造方法及び転写物の製造方法、並びにインクジェットインク
27日前
コニシ株式会社
酢酸ビニル系ポリマーを主体とする水性エマルジョン接着剤
27日前
株式会社カネカ
断熱材
26日前
東ソー株式会社
ペレット
1か月前
ユニチカ株式会社
透明シート
3か月前
ユニチカ株式会社
透明シート
2か月前
株式会社コバヤシ
成形体
2か月前
東レ株式会社
熱硬化性樹脂組成物
3か月前
東レ株式会社
引抜成形品の製造方法
3か月前
東ソー株式会社
プラスチゾル組成物
26日前
丸住製紙株式会社
変性パルプ
2か月前
住友精化株式会社
吸水剤の製造方法
2か月前
東レ株式会社
ポリエステルフィルム
2か月前
東レ株式会社
ポリエステルフィルム
1か月前
東ソー株式会社
ゴム用接着性改質剤
1か月前
東レ株式会社
ポリオレフィン微多孔膜
4か月前
東レ株式会社
ポリプロピレンフィルム
2か月前
横浜ゴム株式会社
重荷重タイヤ
2か月前
東ソー株式会社
エチレン系重合用触媒
29日前
東ソー株式会社
樹脂組成物および蓋材
2か月前
東ソー株式会社
樹脂組成物および蓋材
2か月前
株式会社スリーボンド
硬化性樹脂組成物
2か月前
UBE株式会社
衝撃吸収材
2か月前
株式会社コバヤシ
光硬化性組成物
4か月前
アイカ工業株式会社
光硬化性樹脂組成物
2か月前
続きを見る
他の特許を見る