TOP
|
特許
|
意匠
|
商標
特許ウォッチ
Twitter
他の特許を見る
10個以上の画像は省略されています。
公開番号
2025162587
公報種別
公開特許公報(A)
公開日
2025-10-28
出願番号
2024065827
出願日
2024-04-16
発明の名称
チオファニウム塩誘導体の製造方法
出願人
株式会社トクヤマ
代理人
主分類
C07D
495/14 20060101AFI20251021BHJP(有機化学)
要約
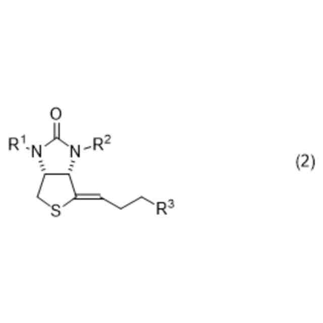
【課題】立体異性体の割合を低減し、且つ、高い転化率でビオチン誘導体を製造することができる、ビオチンの合成中間体として有用なチオファニウム塩誘導体の製造方法を提供する。
【解決手段】酸解離定数pKaが1以下の強酸を含有する溶媒中、ヒドロキシビオチン誘導体及びビニルビオチン誘導体からなる群より選ばれる少なくとも1種の誘導体と、トリアルキルシラン化合物とを0℃以上80℃以下の温度範囲で接触させて、下記式(3):
<com:Image com:imageContentCategory="Drawing"> <com:ImageFormatCategory>JPEG</com:ImageFormatCategory> <com:FileName>2025162587000025.jpg</com:FileName> <com:HeightMeasure com:measureUnitCode="Mm">42</com:HeightMeasure> <com:WidthMeasure com:measureUnitCode="Mm">97</com:WidthMeasure> </com:Image>
[式中、R
1
及びR
2
は、独立して、H、置換基を有してもよいアルキル基、置換基を有してもよいアラルキル基、又は置換基を有してもよいアリール基である。]で表されるチオファニウム塩誘導体を得る工程を含む、チオファニウム塩誘導体の製造方法とする。
【選択図】なし
特許請求の範囲
【請求項1】
酸解離定数pKaが1以下の強酸を含有する溶媒中、
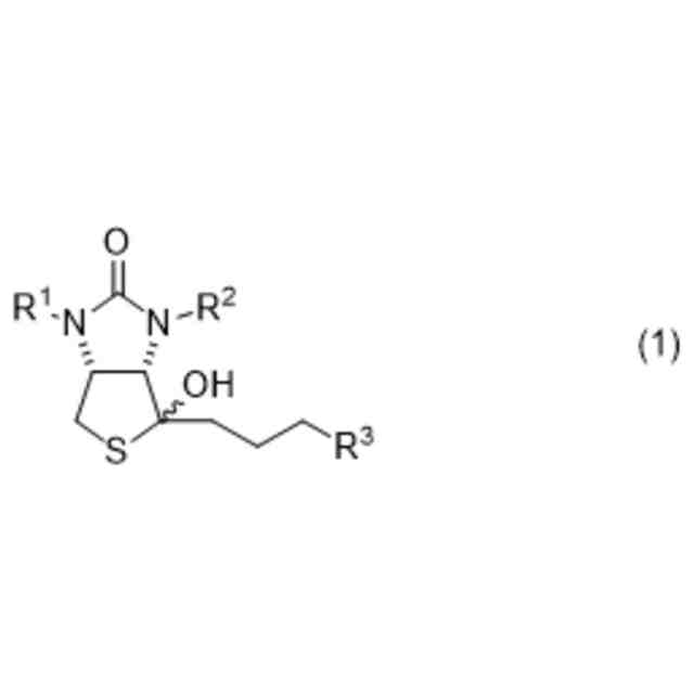
下記式(1):
JPEG
2025162587000021.jpg
38
102
[前記式(1)において、R
1
及びR
2
は、それぞれ独立して、水素原子、置換基を有してもよいアルキル基、置換基を有してもよいアラルキル基、又は置換基を有してもよいアリール基であり、
R
3
は、-OR
4
で表される1価のアルコキシ基又はハロゲノ基であり、
R
4
は、水素原子、置換基を有してもよいアルキル基、置換基を有してもよいアラルキル基、又は置換基を有してもよいアリール基である。]
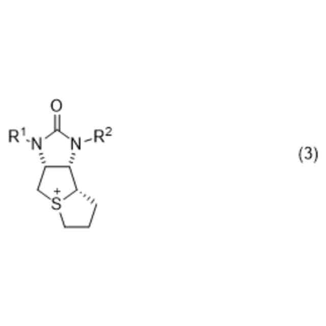
で表されるヒドロキシビオチン誘導体及び下記式(2):
JPEG
2025162587000022.jpg
35
92
[前記式(2)において、R
1
、R
2
及びR
3
は、それぞれ、前記式(1)におけるR
1
、R
2
及びR
3
と同義である。]
で表されるビニルビオチン誘導体からなる群より選ばれる少なくとも1種の誘導体と、
トリアルキルシラン化合物とを0℃以上80℃以下の温度範囲で接触させて下記式(3):
JPEG
2025162587000023.jpg
42
97
[前記式(2)において、R
1
、R
2
及びR
3
は、それぞれ、前記式(1)におけるR
1
、R
2
及びR
3
と同義である。]
で表されるチオファニウム塩誘導体を得る工程を含む、チオファニウム塩誘導体の製造方法。
続きを表示(約 760 文字)
【請求項2】
前記式(1)で表されるヒドロキシビオチン誘導体及び前記式(2)で表されるビニルビオチン誘導体とトリアルキルシラン化合物とを接触させる際に、ルイス酸をさらに接触させる、
請求項1に記載のチオファニウム塩誘導体の製造方法。
【請求項3】
前記ルイス酸が、三フッ化ホウ素ジエチルエーテル錯体、三フッ化ホウ素テトラフドロフラン錯体、三フッ化ホウ素二メタノール錯体から選択される、
請求項1又は2に記載のチオファニウム塩誘導体の製造方法。
【請求項4】
前記トリアルキルシラン化合物が、トリイソプロピルシラン、トリプロピルシラン、トリブチルシラン及びt-ブチルジメチルシランから選択される、請求項1又は2に記載のチオファニウム塩誘導体の製造方法。
【請求項5】
前記強酸が、トリフルオロ酢酸、メタンスルホン酸、及びトリフルオロメタンスルホン酸から選択される、請求項1又は2に記載のチオファニウム塩誘導体の製造方法。
【請求項6】
前記式(1)で表されるヒドロキシビオチン誘導体及び前記式(2)で表されるビニルビオチン誘導体からなる群より選ばれる少なくとも1種の誘導体と、前記トリアルキルシラン化合物とを0℃以上40℃以下の温度範囲で接触させて、下記式(5):
JPEG
2025162587000024.jpg
35
92
で表されるビオチン誘導体を得た後に、
さらに50℃以上80℃以下の温度範囲に保つことにより、該式(5)で表されるビオチン誘導体を環化して前記式(3)で表されるチオファニウム塩誘導体を得る、
請求項1又は2に記載のチオファニウム塩誘導体の製造方法。
発明の詳細な説明
【技術分野】
【0001】
本発明は、ビオチンの合成中間体として有用なチオファニウム塩誘導体の新規な製造方法に関する。
続きを表示(約 2,000 文字)
【背景技術】
【0002】
ビオチンは、種々の医薬品や食品添加物、あるいは飼料添加剤等に用いられる有用な化合物である。そのようなビオチンの製造方法として、例えば、以下のような製造方法で合成されている(特許文献1参照)。
【0003】
JPEG
2025162587000001.jpg
49
170
【0004】
即ち、前記式(I)に示すチオラクトン誘導体と3-メトキシプロピルマグネシウムクロリド(グリニャール試薬)とを反応させ、前記式(1A)に示すヒドロキシビオチン誘導体を合成する。次いで、当該ヒドロキシビオチン誘導体を脱水し、前記式(2A)に示すビニルビオチン誘導体へと変換する。さらに、得られたビニルビオチン誘導体をパラジウムやラネーニッケル触媒を用いた水素化反応に付することで前記式(5A)に示すビオチン誘導体を合成する。その後、ビオチン誘導体を環化反応に付することで前記式(3A)に示すチオファニウム塩誘導体を合成する。最後に、当該チオファニウム塩誘導体をマロン酸エステルとのカップリング及び脱保護の各工程を経てビオチンを製造する。なお、式中の「Bn」はベンジル基、「Me」はメチル基をそれぞれ表す。
【先行技術文献】
【特許文献】
【0005】
特公昭53-027279号公報
【発明の概要】
【発明が解決しようとする課題】
【0006】
上記の通り、チオラクトン誘導体からビオチンを製造するためには多段階の反応工程が必要であり、反応の効率化および反応工程を短縮することが強く望まれていた。さらに、高価な貴金属触媒を用いる必要があった。
【0007】
したがって、本発明の目的は、ビオチンの合成中間体として有用なチオファニウム塩誘導体をより効率的に製造する方法を提供することにある。
【課題を解決するための手段】
【0008】
本発明者らは、上記課題を解決すべく鋭意研究した結果、驚くべきことに、酸解離定数pKaが1以下の強酸を含む溶媒中、ヒドロキシビオチン誘導体及び/又はビニルビオチン誘導体とトリアルキルシラン化合物とを0℃以上80℃以下の温度範囲で接触させることで、還元反応と環化反応とが一挙に進行し、チオファニウム塩誘導体を1工程で合成できることを発見し、本発明を完成するに至った。なお、本方法によれば反応工程を短縮するだけでなく、立体異性体量が十分に低減された高純度のチオファニウム塩誘導体を取得することが可能となる。
【0009】
すなわち、本発明は、以下の発明を包含する。
【0010】
[1]
酸解離定数pKaが1以下の強酸を含有する溶媒中、
下記式(1):
JPEG
2025162587000002.jpg
38
102
[前記式(1)において、R
1
及びR
2
は、それぞれ独立して、水素原子、置換基を有してもよいアルキル基、置換基を有してもよいアラルキル基、又は置換基を有してもよいアリール基であり、
R
3
は、-OR
4
で表される1価のアルコキシ基又はハロゲノ基であり、
R
4
は、水素原子、置換基を有してもよいアルキル基、置換基を有してもよいアラルキル基、又は置換基を有してもよいアリール基である。]
で表されるヒドロキシビオチン誘導体及び下記式(2):
JPEG
2025162587000003.jpg
35
92
[前記式(2)において、R
1
、R
2
及びR
3
は、それぞれ、前記式(1)におけるR
1
、R
2
及びR
3
と同義である。]
で表されるビニルビオチン誘導体からなる群より選ばれる少なくとも1種の誘導体と、トリアルキルシラン化合物とを0℃以上80℃以下の温度範囲で接触させて下記式(3):
JPEG
2025162587000004.jpg
42
97
[前記式(2)において、R
1
、R
2
及びR
3
は、それぞれ、前記式(1)におけるR
1
、R
2
及びR
3
と同義である。]
で表されるチオファニウム塩誘導体を得る工程を含む、チオファニウム塩誘導体の製造方法:
(【0011】以降は省略されています)
この特許をJ-PlatPat(特許庁公式サイト)で参照する
関連特許
クミアイ化学工業株式会社
多形
23日前
東ソー株式会社
タンパク質の発現方法
2か月前
株式会社トクヤマ
四塩化炭素の製造方法
4か月前
東ソー株式会社
炭素-窒素結合形成方法
4か月前
株式会社トクヤマ
シロキサン類の回収方法
4か月前
株式会社半導体エネルギー研究所
有機化合物
3か月前
株式会社半導体エネルギー研究所
有機化合物
23日前
株式会社トクヤマ
ビオチン誘導体の製造方法
4か月前
栗田工業株式会社
ギ酸の回収方法
1か月前
株式会社コスモス
液状炭化水素の増産方法
3か月前
株式会社トクヤマ
ホルムアミド化合物の製造方法
3か月前
株式会社コスモス
液状炭化水素の増産方法
3か月前
株式会社トクヤマ
ベンザゼピン化合物の製造方法
3か月前
株式会社トクヤマ
チオラクトン誘導体の製造方法
1か月前
東ソー株式会社
イソシアネート化合物の製造方法
2か月前
信越化学工業株式会社
新規化合物
4か月前
株式会社トクヤマ
チオファニウム塩誘導体の製造方法
25日前
株式会社トクヤマ
チオファニウム塩臭化物の製造方法
2日前
artience株式会社
四塩基酸無水物の製造方法
4か月前
日産化学株式会社
ピラゾール化合物及び有害生物防除剤
4か月前
日産化学株式会社
ピラゾール化合物及び有害生物防除剤
4か月前
本田技研工業株式会社
CO2変換方法
1か月前
大阪瓦斯株式会社
メタン製造システム
1か月前
国立大学法人東京農工大学
深共晶溶媒
3か月前
株式会社トクヤマ
サフィナミド若しくはその塩の製造方法
4か月前
三菱ケミカル株式会社
アルコールの製造方法
2か月前
東ソー株式会社
免疫グロブリン結合性タンパク質の保存溶液
4か月前
キヤノン株式会社
有機化合物及び有機発光素子
1か月前
JNC株式会社
有機ケイ素化合物およびこれを用いた重合体
2か月前
株式会社トクヤマ
アシル化ベンゼン誘導体の酸塩の製造方法
3か月前
東ソー株式会社
免疫グロブリン結合性タンパク質の製造方法
2か月前
JNC株式会社
有機ケイ素化合物およびこれを用いた重合体
3か月前
旭化成株式会社
トリオキサンの製造方法
4か月前
キヤノン株式会社
有機化合物及び有機発光素子
5か月前
個人
IL-17産生誘導能を有する化合物及びその用途
1か月前
キヤノン株式会社
有機金属錯体及び有機発光素子
1か月前
続きを見る
他の特許を見る