TOP
|
特許
|
意匠
|
商標
特許ウォッチ
Twitter
他の特許を見る
10個以上の画像は省略されています。
公開番号
2025144977
公報種別
公開特許公報(A)
公開日
2025-10-03
出願番号
2024044929
出願日
2024-03-21
発明の名称
有機金属錯体及び有機発光素子
出願人
キヤノン株式会社
代理人
個人
,
個人
主分類
C07F
15/00 20060101AFI20250926BHJP(有機化学)
要約
【課題】発光スペクトルにおいてFWHM及びFWQMが共に小さい有機金属錯体を提供する。
【解決手段】式(2a)で表される有機金属錯体。
<com:Image com:imageContentCategory="Drawing"> <com:ImageFormatCategory>TIFF</com:ImageFormatCategory> <com:FileName>2025144977000044.tif</com:FileName> <com:HeightMeasure com:measureUnitCode="Mm">72</com:HeightMeasure> <com:WidthMeasure com:measureUnitCode="Mm">77</com:WidthMeasure> </com:Image>
【選択図】なし
特許請求の範囲
【請求項1】
下記一般式(1)で表されることを特徴とする有機金属錯体。
ML
m
L’
n
L”
l
(1)
一般式(1)において、Mは遷移金属を表す。
L
m
、L’
n
、L”
l
は、それぞれ異なる配位子を表す。
mは1乃至3の整数、nは0乃至2の整数、lは0乃至2の整数であり、m+n+l=2または3である。
ML
m
は、下記一般式(2)で表される。
TIFF
2025144977000041.tif
72
72
一般式(2)において、R
1
は水素原子または重水素原子である。
R
2
乃至R
13
は、水素原子、重水素原子、ハロゲン原子、置換または無置換のアルキル基、置換または無置換のアリール基、置換または無置換の複素環基、置換または無置換のアミノ基、置換または無置換のアルコキシ基、置換または無置換のアリールオキシ基、置換または無置換のヘテロアリールオキシ基、置換または無置換のシリル基及びシアノ基からなる群から、それぞれ独立して選択される。
R
14
は、ハロゲン原子、置換または無置換のアルキル基、置換または無置換のアリール基、置換または無置換の複素環基、置換または無置換のアミノ基、置換または無置換のアルコキシ基、置換または無置換のアリールオキシ基、置換または無置換のヘテロアリールオキシ基、置換または無置換のシリル基及びシアノ基からなる群から、それぞれ独立して選択される。
ML’
n
は、下記一般式(3)で表され、ML”
l
は、下記一般式(4)で表される。
TIFF
2025144977000042.tif
48
121
一般式(3)及び(4)において、R
21
乃至R
28
及びR
31
乃至R
33
は、水素原子、重水素原子、ハロゲン原子、置換または無置換のアルキル基、置換または無置換のアリール基、置換または無置換の複素環基、置換アミノ基、置換または無置換のアルコキシ基及び置換または無置換のアラルキル基からなる群から、それぞれ独立に選択される。
続きを表示(約 880 文字)
【請求項2】
前記Mは、Irであることを特徴とする請求項1に記載の有機金属錯体。
【請求項3】
下記一般式(2a)で表されることを特徴とする請求項1または2に記載の有機金属錯体。
TIFF
2025144977000043.tif
72
77
【請求項4】
前記R
13
は、水素原子であり、
前記R
14
は、無置換のアルキル基、置換あるいは無置換のアリール基であることを特徴とする請求項1または2に記載の有機金属錯体。
【請求項5】
前記R
14
は、炭素原子数1以上6以下のアルキル基であることを特徴とする請求項4に記載の有機金属錯体。
【請求項6】
前記R
31
及びR
33
は、炭素原子数1以上6以下のアルキル基であり、
前記R
32
は、水素原子または炭素原子数1以上4以下のアルキル基であることを特徴とする請求項1または2に記載の有機金属錯体。
【請求項7】
溶液中におけるフォトルミネッセンススペクトルのピークトップが610nm以上650nm未満であることを特徴とする請求項1または2に記載の有機金属錯体。
【請求項8】
FWHMの計算値が50nm以下であって、かつFWQMの計算値が70nm以下であることを特徴とする請求項1または2に記載の有機金属錯体。
【請求項9】
FWHMの計算値が50nm以下かつ、波数1000cm
-1
以上1700cm
-1
以下の領域におけるPFが5.00×10
-3
以下であることを特徴とする請求項1または2に記載の有機金属錯体。
【請求項10】
請求項1または2に記載の有機金属錯体と、溶媒とを含有することを特徴とするインク組成物。
(【請求項11】以降は省略されています)
発明の詳細な説明
【技術分野】
【0001】
本発明は、有機金属錯体及び有機発光素子に関する。
続きを表示(約 2,900 文字)
【背景技術】
【0002】
有機発光素子(以下、「有機エレクトロルミネッセンス素子」、あるいは「有機EL素子」と称する場合がある。)は、第一電極と第二電極と、これら電極間に配置される有機化合物層とを有する電子素子である。これら一対の電極から電子及び正孔を注入することにより、有機化合物層中の発光性有機化合物の励起子を生成し、この励起子が基底状態に戻る際に、有機発光素子は光を放出する。有機発光素子の最近の進歩は著しく、その特徴として、低駆動電圧、多様な発光波長、高速応答性、発光デバイスの薄型化・軽量化が可能であること等が挙げられる。
現在、有機EL素子の発光効率を向上させる試みとして、燐光発光を用いることが提案されている。燐光発光を用いた有機EL素子は、蛍光発光のものよりも理論上約4倍の発光効率向上が期待される。従って、現在までに燐光発光性の有機金属錯体の創出が盛んに行われている。イリジウム錯体は燐光発光性の有機金属錯体の代表であるが、その燐光発光スペクトルは一般的に半値全幅であるFWHM:Full Width at Half Maximum(発光スペクトル最大値の半分に対する幅)が広いことが課題であった。近年では、より高い色純度を得るためにFWQM:Full Width at Quarter Maximum(発光スペクトル最大値の4分の1に対する幅)を小さくする試みもなされている。
特許文献1にはFWHMが小さい燐光発光材料として化合物Aが、特許文献2には高電流密度領域における電流効率が改善された発光材料として化合物Bが記載されている。
【0003】
TIFF
2025144977000001.tif
61
143
【先行技術文献】
【特許文献】
【0004】
特許第6991813号公報
中国特許出願公開第103936791号明細書
【発明の概要】
【発明が解決しようとする課題】
【0005】
特許文献1に記載の化合物Aは、FWHMが小さい化合物であるが、さらなる色純度向上のためのFWQMに改善の余地があった。特許文献2に記載の化合物BにおいてはFWHM及びFWQMの改善に関する検討はされておらず、色純度に改善の余地があった。いずれの燐光材料においてもFWHMは小さくできるものの、FWQMも併せて小さくできる構造は不明確であり、FWHM及びFWQMが共に小さい発光材料の設計に課題があった。
本発明は、上記の課題に鑑みてなされたものであり、その目的は、発光スペクトルにおいてFWHM及びFWQMが共に小さい有機金属錯体を提供することである。
【課題を解決するための手段】
【0006】
下記一般式(1)で表されることを特徴とする有機金属錯体。
ML
m
L’
n
L”
l
(1)
一般式(1)において、Mは遷移金属を表す。
L
m
、L’
n
、L”
l
は、それぞれ異なる配位子を表す。
mは1乃至3の整数、nは0乃至2の整数、lは0乃至2の整数であり、m+n+l=2または3である。
ML
m
は、下記一般式(2)で表される。
【0007】
TIFF
2025144977000002.tif
72
72
一般式(2)において、R
1
は水素原子または重水素原子である。
R
2
乃至R
13
は、水素原子、重水素原子、ハロゲン原子、置換または無置換のアルキル基、置換または無置換のアリール基、置換または無置換の複素環基、置換または無置換のアミノ基、置換または無置換のアルコキシ基、置換または無置換のアリールオキシ基、置換または無置換のヘテロアリールオキシ基、置換または無置換のシリル基及びシアノ基からなる群から、それぞれ独立して選択される。
R
14
は、ハロゲン原子、置換または無置換のアルキル基、置換または無置換のアリール基、置換または無置換の複素環基、置換または無置換のアミノ基、置換または無置換のアルコキシ基、置換または無置換のアリールオキシ基、置換または無置換のヘテロアリールオキシ基、置換または無置換のシリル基及びシアノ基からなる群から、それぞれ独立して選択される。
ML’
n
は、下記一般式(3)で表され、ML”
l
は、下記一般式(4)で表される。
【0008】
TIFF
2025144977000003.tif
48
121
一般式(3)及び(4)において、R
21
乃至R
28
及びR
31
乃至R
33
は、水素原子、重水素原子、ハロゲン原子、置換または無置換のアルキル基、置換または無置換のアリール基、置換または無置換の複素環基、置換アミノ基、置換または無置換のアルコキシ基及び置換または無置換のアラルキル基からなる群から、それぞれ独立に選択される。
【発明の効果】
【0009】
本発明によれば、発光スペクトルのFWHM及びFWQMが共に小さい有機金属錯体を提供できる。
【図面の簡単な説明】
【0010】
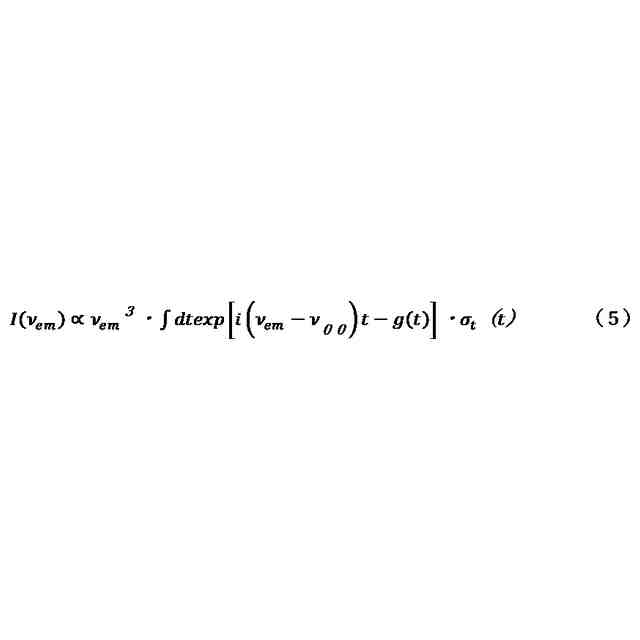
基準振動モード(i)に起因する発光スペクトルの振動プログレッションを示す図である。
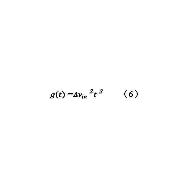
励起状態と基底状態の基準振動座標のずれを示す図である。
(a)本発明の一実施形態に係る表示装置の画素の一例を表す概略断面図である。(b)本発明の一実施形態に係る有機発光素子を用いた表示装置の一例の概略断面図である。
本発明の一実施形態に係る表示装置の一例を表す模式図である。
(a)本発明の一実施形態に係る撮像装置の一例を表す模式図である。(b)本発明の一実施形態に係る電子機器の一例を表す模式図である。
(a)本発明の一実施形態に係る表示装置の一例を表す模式図である。(b)折り曲げ可能な表示装置の一例を表す模式図である。
(a)本発明の一実施形態に係る照明装置の一例を示す模式図である。(b)本発明の一実施形態に係る車両用灯具を有する移動体の一例を示す模式図である。
(a)本発明の一実施形態に係るウェアラブルデバイスの一例を示す模式図である。(b)本発明の一実施形態に係るウェアラブルデバイスの他の例を示す模式図である。
(a)本発明の一実施形態に係る画像形成装置の一例を表す模式図である。(b)(c)本発明の一実施形態に係る画像形成装置の露光光源の一例を表す模式図である。
【発明を実施するための形態】
(【0011】以降は省略されています)
この特許をJ-PlatPat(特許庁公式サイト)で参照する
関連特許
キヤノン株式会社
記録装置
1日前
キヤノン株式会社
電気機器
1日前
キヤノン株式会社
トナーカートリッジ
1日前
キヤノン株式会社
露光ヘッド及び画像形成装置
1日前
キヤノン株式会社
露光ヘッド及び画像形成装置
1日前
キヤノン株式会社
撮影装置、撮影装置の制御方法
1日前
キヤノン株式会社
光学系及びそれを有する撮像装置
1日前
キヤノン株式会社
制御装置、制御方法およびプログラム
1日前
キヤノン株式会社
インクジェット記録装置及び記録位置調整方法
1日前
キヤノン株式会社
情報処理装置、情報処理方法およびプログラム
1日前
キヤノン株式会社
情報処理装置、情報処理方法、及びプログラム
1日前
キヤノン株式会社
制御装置、制御方法、プログラム、及び制御システム
1日前
キヤノン株式会社
情報処理装置、撮像装置、情報処理方法、及びプログラム
1日前
キヤノン株式会社
環境調整装置、処理システム、物品製造方法および管理方法
1日前
キヤノン株式会社
管理システム、画像形成装置、制御方法、並びにプログラム
1日前
キヤノン株式会社
液体吐出装置、制御方法、物品の製造方法、プログラム及び記録媒体
1日前
キヤノン株式会社
印刷サーバ、印刷システム、印刷装置、印刷制御方法及びプログラム
1日前
キヤノン株式会社
合金部材、接合体、装置、合金部材の製造方法および接合体の製造方法
1日前
キヤノン株式会社
受電装置、送電装置、受電装置が行う方法、送電装置が行う方法、およびプログラム
1日前
キヤノン株式会社
ロボットシステム、制御方法、物品の製造方法、情報処理装置、情報処理方法、プログラム及び記録媒体
1日前
クミアイ化学工業株式会社
多形
1か月前
東ソー株式会社
タンパク質の発現方法
2か月前
株式会社半導体エネルギー研究所
有機化合物
1か月前
株式会社半導体エネルギー研究所
有機化合物
4か月前
株式会社日本触媒
(メタ)アクリレート化合物
8日前
栗田工業株式会社
ギ酸の回収方法
2か月前
東ソー株式会社
イソシアネート化合物の製造方法
3か月前
株式会社トクヤマ
ホルムアミド化合物の製造方法
3か月前
株式会社コスモス
液状炭化水素の増産方法
4か月前
株式会社コスモス
液状炭化水素の増産方法
4か月前
株式会社トクヤマ
ベンザゼピン化合物の製造方法
4か月前
株式会社トクヤマ
チオラクトン誘導体の製造方法
2か月前
株式会社トクヤマ
チオファニウム塩臭化物の製造方法
21日前
株式会社トクヤマ
チオファニウム塩誘導体の製造方法
1か月前
日産化学株式会社
ピラゾール化合物及び有害生物防除剤
4か月前
三菱ケミカル株式会社
アルコールの製造方法
3か月前
続きを見る
他の特許を見る