TOP
|
特許
|
意匠
|
商標
特許ウォッチ
Twitter
他の特許を見る
公開番号
2025173418
公報種別
公開特許公報(A)
公開日
2025-11-27
出願番号
2024079001
出願日
2024-05-14
発明の名称
量子ドット体、量子ドット組成物及び波長変換材料並びにそれらの製造方法
出願人
信越化学工業株式会社
代理人
個人
,
個人
,
個人
主分類
C09K
11/08 20060101AFI20251119BHJP(染料;ペイント;つや出し剤;天然樹脂;接着剤;他に分類されない組成物;他に分類されない材料の応用)
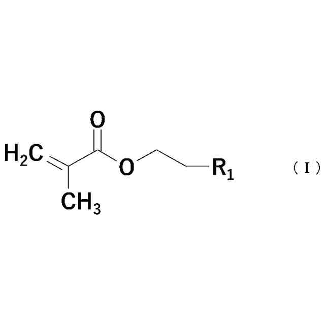
要約
【課題】高い発光効率が維持可能で、極性の高い溶媒への分散性を改善させた量子ドット体を提供することを目的とする。
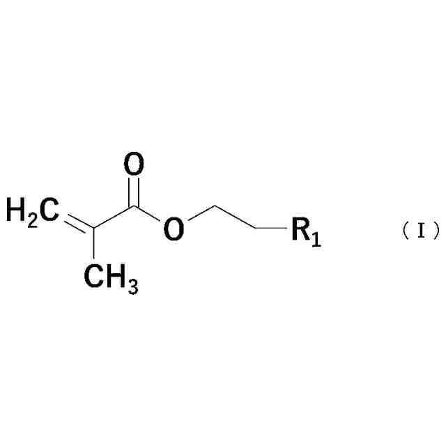
【解決手段】励起光により蛍光を発する量子ドット4を含む量子ドット体1であって、前記量子ドットは、半導体ナノ粒子のコア2と該半導体ナノ粒子のコアを覆う半導体ナノ粒子のシェル3とを含み、前記量子ドットの表面が、下記(I)式で示すメタクリロイルオキシエチル基と親水基とを有する化合物5で修飾されたものであることを特徴とする量子ドット体。
<com:Image com:imageContentCategory="Drawing"> <com:ImageFormatCategory>TIFF</com:ImageFormatCategory> <com:FileName>2025173418000008.tif</com:FileName> <com:HeightMeasure com:measureUnitCode="Mm">34</com:HeightMeasure> <com:WidthMeasure com:measureUnitCode="Mm">166</com:WidthMeasure> </com:Image>
(R
1
は親水基を表す。)
【選択図】図1
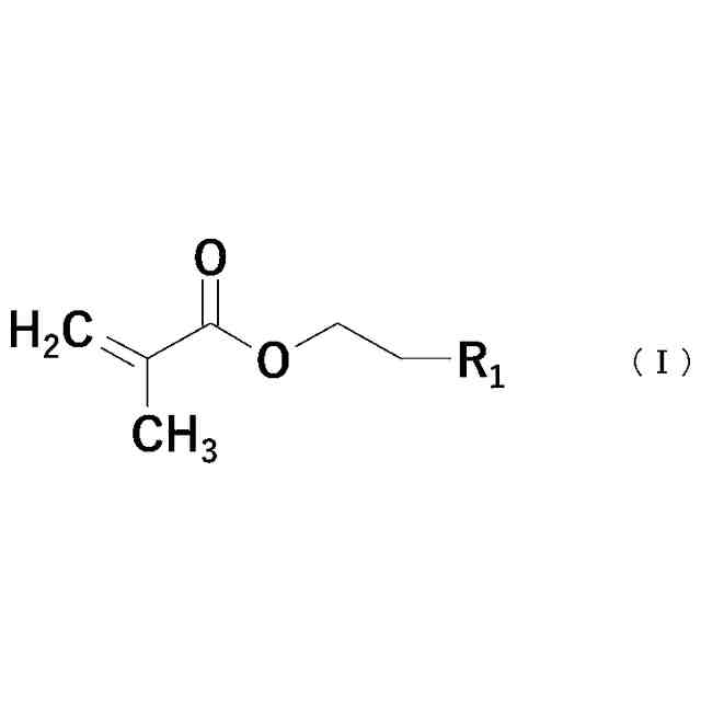
特許請求の範囲
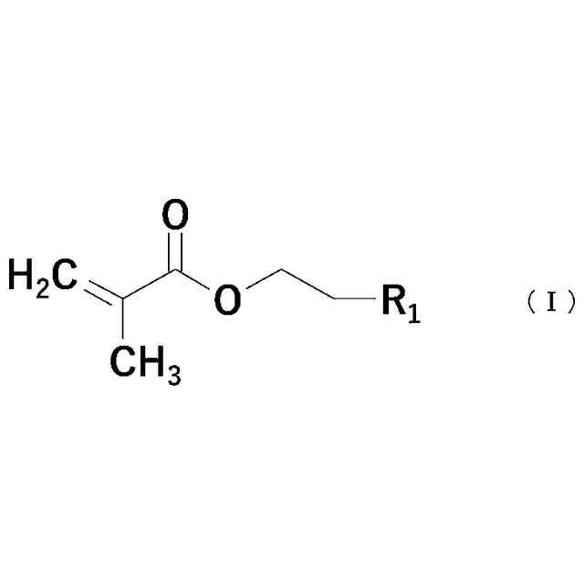
【請求項1】
励起光により蛍光を発する量子ドットを含む量子ドット体であって、
前記量子ドットは、半導体ナノ粒子のコアと該半導体ナノ粒子のコアを覆う半導体ナノ粒子のシェルとを含み、
前記量子ドットの表面が、下記(I)式で示すメタクリロイルオキシエチル基と親水基とを有する化合物で修飾されたものであることを特徴とする量子ドット体。
TIFF
2025173418000007.tif
34
166
(R
1
は親水基を表す。)
続きを表示(約 1,400 文字)
【請求項2】
前記親水基が、4級アンモニウム塩、カルボン酸塩、コハク酸塩、イソシアン酸塩、マレイン酸塩、リン酸水素塩、1,2,4-ベンゼントリカルボン酸塩、トリメリト酸無水物の塩、フタル酸塩、アセト酢酸塩及びチオクト酸塩から選択されたものであることを特徴とする請求項1に記載の量子ドット体。
【請求項3】
前記化合物が、リン酸ビス[2-(メタクリロイルオキシ)エチル]、[2-(メタクリロイルオキシ)エチル]トリメチルアンモニウムクロリド、[2-(メタクリロイルオキシ)エチル]ジメチル-(3-スルホプロピル)アンモニウムヒドロキシド、モノ-2-(メタクリロイルオキシ)エチルコハク酸、モノ[2-(メタクリロイルオキシ)エチル]マレアート、イソシアン酸2-(メタクリロイルオキシ)エチル、(2-メタクリロイルオキシエチル)トリメチルアンモニウム=ビス(トリフルオロメタンスルホニル)イミド、4-MET(4-Methacryloxyethyltrimellitic acid)、4-META(4-Methacryloxyethyl trimellitic anhydride)、フタル酸モノ-2-(メタクリロイルオキシ)エチル、ビス[2-(メタクリロイルオキシ)エチル](メチル)アンモニオ]プロパン-1-スルホン酸、アセト酢酸2-(メタクリロイルオキシ)エチル、2-[[2-(メタクリロイルオキシ)エチル]ジメチルアンモニオ]酢酸、4-[[2-(メタクリロイルオキシ)エチル]ジメチルアンモニオ]ブタン-1-スルホン酸、3-[[2-(メタクリロイルオキシ)エチル]ジメチルアンモニオ]プロピオナート、チオクト酸2-メタクリロイルオキシエチル及び[2-(メタクリロイルオキシ)エチル]トリメチルアンモニウムメチルスルファートから選択されたものであることを特徴とする請求項1に記載の量子ドット体。
【請求項4】
前記化合物が前記量子ドットに対する質量比で0.1~50質量%の範囲で含まれるものであることを特徴とする請求項1に記載の量子ドット体。
【請求項5】
前記化合物が前記量子ドットに対する質量比で0.5~30質量%の範囲で含まれるものであることを特徴とする請求項1に記載の量子ドット体。
【請求項6】
請求項1から5のいずれか一項に記載の量子ドット体が樹脂材料中に分散されたものであることを特徴とする量子ドット組成物。
【請求項7】
請求項6に記載の量子ドット組成物の硬化物を含むことを特徴とする波長変換材料。
【請求項8】
請求項1から5のいずれか一項に記載の量子ドット体の製造方法であって、
半導体ナノ粒子のコアと該半導体ナノ粒子のコアを覆う半導体ナノ粒子のシェルとを含む量子ドットを製造する量子ドット製造工程と、
前記量子ドットの表面を前記(I)式で示すメタクリロイルオキシエチル基と親水基を有する化合物で修飾する量子ドット修飾工程とを含むことを特徴とする量子ドット体の製造方法。
【請求項9】
請求項8に記載の量子ドット体の製造方法により製造された量子ドット体を樹脂材料中に分散させて量子ドット組成物を製造することを特徴とする量子ドット組成物の製造方法。
【請求項10】
請求項9に記載の量子ドット組成物の製造方法により製造された量子ドット組成物を硬化させて波長変換材料を製造することを特徴とする波長変換材料の製造方法。
発明の詳細な説明
【技術分野】
【0001】
本発明は、量子ドット体、量子ドット組成物及び波長変換材料並びにそれらの製造方法に関する。
続きを表示(約 1,900 文字)
【背景技術】
【0002】
粒子径がナノサイズの半導体粒子から成る量子ドットは、光吸収により生じた励起子がナノサイズの空間に閉じ込められることによりその半導体ナノ粒子のエネルギー準位が離散的となり、またそのバンドギャップは粒子径に依存する。このため量子ドットの蛍光発光は高効率でその発光スペクトルは先鋭化されている。また、粒子径によりバンドギャップが変化するという特性から、発光波長を制御できる特徴を有しており、固体照明やディスプレイの波長変換材料としての応用が期待される(特許文献1)。
【先行技術文献】
【特許文献】
【0003】
特開2012-022028号公報
国際公開第2011/081037号
特表2010-523557号公報
【発明の概要】
【発明が解決しようとする課題】
【0004】
優れた蛍光発光特性を示す量子ドットとして、CdやPbを含む量子ドットが挙げられる。しかしながら、CdやPbは人体、環境に対しての毒性が高いために、欧州連合のRoHS指令を始めとして、世界各地でその使用の制限が検討されつつある。そのため、これらの毒性元素を含まない量子ドットが検討されている。
【0005】
また、量子ドットは、粒子径がナノメートルサイズと小さいため、比表面積が大きく、表面エネルギーが高く表面活性であることから、不安定化しやすい。このため、量子ドット表面のダングリングボンドや酸化反応などにより表面欠陥が生じ易く、これが蛍光発光特性の劣化の原因となる。現在得られている量子ドットはこのような安定性に関する問題を有し、熱や湿度、光励起などにより発光特性の劣化を引き起こすことが知られている。
【0006】
これらの劣化を防ぐために、合成後の量子ドット表面にはリガンドと呼ばれる有機または無機配位子が配位している。このリガンドが配位し欠陥が不動態化されることで蛍光発光効率の劣化を抑制させることができる。
【0007】
また、量子ドットを波長変換材料として用いる実装方法として、ディスプレイ等に用いるカラーフィルターへの応用が提案されている。量子ドットをカラーフィルターへ応用する際には、そのパターニング方法に適した量子ドット表面状態を形成することが重要になる。現在、カラーフィルターは顔料を含有する感光性樹脂組成物をガラス基板上に塗布し、溶媒を乾燥させた後、UV照射でマスク露光し、アルカリ現像により未硬化部分を除去することにより色のパターンを形成し、この工程を繰り返すことで、青、赤、緑のパターンを形成するフォトリソグラフィー法が主に実用化されている。このフォトリソグラフィー法には、未硬化部分が無駄になってしまうことから、原料のロスが大きく、工程も煩雑で高価な装置を使用するなど、問題も多い。
【0008】
そのため、近年ではインクジェット方式の検討も行われている。インクジェット方式であれば、原料のロスはなく、大型化や大面積化についても高価な装置を導入することなく作製が可能など、コストの面で競争力がある。しかしながら、微細なノズルを作る技術が難しく、さらにノズルが小さくなると根詰まりや吐出が不安定になるなどの問題もあり、微細化には実績のあるフォトリソグラフィー、コスト競争力のあるインクジェットの両方の検討が行われている。
【0009】
これらのフォトリソグラフィー、インクジェットのいずれでも高濃度かつ高分散に量子ドットを含有する樹脂組成物を作製することが課題となる。樹脂組成物は一部を除き、プロピレングリコールモノメチルエーテルアセタート(PGMEA)やプロピレングリコールモノメチルエーテル(PGME)等の極性を持った溶剤に量子ドットが分散されている。しかし量子ドットは基本的に疎水性で、これら溶媒やレジン材料には分散しにくく、凝集してしまうため、高濃度かつ高分散に量子ドットを含有する感光性樹脂組成物を作製することが難しい。
【0010】
これまで量子ドットを極性溶媒に分散させるために様々な検討が行われている。例えば、特許文献2では、半導体ナノ粒子表面に金属アルコキシドを段階的に反応させてシリカガラス層を堆積させることで、半導体ナノ粒子をシリカガラスに分散させた複合体を製造しており、複合体の水中への分散を可能にしている。しかしながら、この製造方法で得られた複合体では、量子ドットの発光効率が大きく減少してしまう問題があった。
(【0011】以降は省略されています)
特許ウォッチbot のツイートを見る
この特許をJ-PlatPat(特許庁公式サイト)で参照する
関連特許
信越化学工業株式会社
化粧料
1か月前
信越化学工業株式会社
電磁波遮蔽部材
1か月前
信越化学工業株式会社
炭化金属被覆材料
8日前
信越化学工業株式会社
硬化性樹脂組成物
今日
信越化学工業株式会社
熱軟化性熱伝導性組成物
今日
信越化学工業株式会社
レジストパターン形成方法
1か月前
信越化学工業株式会社
光ファイバ母材の製造方法
28日前
信越化学工業株式会社
レジストパターン形成方法
1か月前
信越化学工業株式会社
複合基板およびその製造方法
1か月前
信越化学工業株式会社
非晶質固体分散体を含む複合物
1か月前
信越化学工業株式会社
ガラスクロス及びその製造方法
今日
信越化学工業株式会社
オルガノポリシロキサンを含む冷媒
13日前
信越化学工業株式会社
オルガノポリシロキサンを含む冷媒
13日前
信越化学工業株式会社
オルガノポリシロキサンを含む冷媒
13日前
信越化学工業株式会社
光ファイバ用多孔質母材の製造装置
28日前
信越化学工業株式会社
レジスト組成物及びパターン形成方法
1か月前
信越化学工業株式会社
レジスト組成物及びパターン形成方法
1か月前
信越化学工業株式会社
レジスト組成物及びパターン形成方法
1か月前
信越化学工業株式会社
パターン形成方法およびレジスト材料
1か月前
信越化学工業株式会社
レジスト組成物及びパターン形成方法
1か月前
信越化学工業株式会社
酸化物単結晶複合基板およびその製造方法
1か月前
信越化学工業株式会社
熱伝導性シリコーン組成物及びその硬化物
28日前
信越化学工業株式会社
熱伝導性シリコーン組成物及びその硬化物
15日前
信越化学工業株式会社
室温硬化性オルガノポリシロキサン組成物
1か月前
信越化学工業株式会社
シロキサン変性ポリエステル樹脂及びその硬化物
1か月前
信越化学工業株式会社
熱伝導性シリコーン組成物、硬化物及び製造方法
1か月前
信越化学工業株式会社
超音波カップリング材複合膜及び超音波検査方法
7日前
信越化学工業株式会社
ファラデー回転子及び光アイソレータの製造方法
1か月前
信越化学工業株式会社
オルガノポリシロキサン及びこれを含有する化粧料
20日前
信越化学工業株式会社
含窒素多官能オルガノキシシラン化合物の製造方法
15日前
信越化学工業株式会社
熱伝導性シリコーン接着剤組成物及び熱伝導性複合体
1か月前
信越化学工業株式会社
付加硬化型シリコーン粘着剤組成物およびその硬化物
今日
信越化学工業株式会社
型取り用シリコーンゴム組成物およびシリコーンゴム型
1か月前
信越化学工業株式会社
キーパッド作製用シリコーンゴム組成物及びキーパッド
29日前
信越化学工業株式会社
積層構造
1か月前
信越化学工業株式会社
スタンパ
1か月前
続きを見る
他の特許を見る